Next Article in Journal
High Specific Capacitance of Polyaniline/Mesoporous Manganese Dioxide Composite Using KI-H2SO4 Electrolyte
Previous Article in Journal
A Design-Oriented Combined Model (7 MPa to 190 MPa) for FRP-Confined Circular Short Columns
Previous Article in Special Issue
Synthesis of Hyperbranched Poly(ε-caprolactone) Containing Terminal Azobenzene Structure via Combined Ring-Opening Polymerization and “Click” Chemistry
 
 
Font Type:
Arial Georgia Verdana
Font Size:
Aa Aa Aa
Line Spacing:
Column Width:
Background:
Article

The Effect of Allylic Sulfide-Mediated IrreversibleAddition-Fragment Chain Transfer on the EmulsionPolymerization Kinetics of Styrene

Laboratory of Printing & Packaging Material and Technology, Beijing Institute of Graphic Communication,Daxing District, Beijing 102600, China
*
Author to whom correspondence should be addressed.
Polymers 2015, 7(10), 1918-1938; https://doi.org/10.3390/polym7101490
Submission received: 28 February 2015 / Revised: 31 August 2015 / Accepted: 14 September 2015 / Published: 29 September 2015
(This article belongs to the Special Issue Precision Polymer Synthesis)

Abstract

:
The effect of the irreversible addition-fragment chain transfer agent, butyl(2-phenylallyl)sulfane (BPAS), on the course of the emulsion polymerization of styrene and on the product molecular weight was investigated. The emulsion polymerizations were performed using various amounts of sodium dodecyl sulfate (SDS) as the surfactant and potassium peroxodisulfate (KPS) as the initiator. The relationships between the rates of polymerization ( R p ) and the number of particles per volume ( N c ) with respect to the concentrations of KPS, SDS, and BPAS were found to be R p [ K P S ] 0.29 , N c [ K P S ] 0.26 , R p [ S D S ] 0.68 , N c [ S D S ] 0.72 , and R p [ B P A S ] 0.73 . The obtained relationships can be attributed to the exit of the leaving group radicals on BPAS from the polymer particles. The experimental values of the average number of radicals per particle ( n _ ) were strongly dependent on the BPAS concentration and were in good agreement with the theoretical values ( n _ t h e o ) from model calculations. The number-average molecular weight ( M n _ ) can be controlled by BPAS over nearly the entire conversion range, which is also in agreement with the mathematical model. In addition, the transfer rate coefficient ( k t r ) of BPAS can be estimated as 326 L/mol/s at 70 °C. Moreover, similar good results were found for the tested redox reactions at 30 °C.

Graphical Abstract

1. Introduction

Chain transfer agents (CTAs) are typically used in emulsion polymerization to control the product molecular weight, especially in the manufacture of synthetic rubber [1]. Mercaptans have been widely utilized in radical emulsion polymerization production, due to their high efficiency for molecular weight regulation [2]. However, the use of mercaptans as CTAs results in odors that workers and customers often find undesirable. Hence, their use should be reduced for environmental reasons [3]. In addition, the mercaptans used in commercial applications are typically complex mixtures of hundreds of similar compounds having boiling points within a narrow range. The chain transfer activity of different mercaptans with these mixtures can vary substantially. To further complicate the situation, the distribution of various mercaptans can also vary substantially between the lots of material obtained from commercial sources. Therefore, it is crucial to seek new compounds to serve as molecular weight regulators to replace the conventional malodorous mercaptans in emulsion polymerization systems for academic and industrial application [4].
In recent years, controlled radical polymerization (CRP) has attracted attention because of its potential to control polymers with a well-defined structure and molecular weight. From an industrial perspective, the development of effective methods to conduct CRP in emulsion systems is extremely desirable because the method is directly applicable without significant modification of the current procedures [5]. Among various methods for CRP, reversible addition-fragmentation chain transfer (RAFT) polymerization has been an effective method to synthesize a wide variety of functional monomers with controlled molecular weight and narrow molecular weight dispersion [6]. However, RAFT technologies used in emulsion polymerizations are more complicated and more challenging than are those in homogeneous bulk or solution systems, because of the intrinsic kinetics of emulsion polymerization. For example, mass transport, which occurs from droplets through the aqueous phase to the polymerization loci, generates new radicals during polymerization, forming uncontrolled polymers. In addition, the departure of short radicals from micelles or polymeric particles leads to a reduction in the polymerization rate. Failure to control these issues results in a variety of problems, including loss of controlled molecular weight, colloidal stability, and the formation of intractable oil layers [7]. Therefore, these disadvantages hinder the application of these technologies in emulsion polymerization.
Irreversible addition-fragmentation chain transfer (AFCT) agents are predecessors to RAFT agents and have appeared as potential candidates for the replacement of mercaptans in radical polymerization since they were first reported by Rizzardo et al. in the 1980s [8,9]. The basic structures of these irreversible AFCT agents are presented in Scheme 1 and the mechanisms of irreversible AFCT in polymerization are shown in Scheme 2. In the schemes, C=X is a reactive double bond, and Z is a group selected to provide the transfer agent with an appropriate reactivity with respect to the chain radicals. A is typically CH2 and R is a radical leaving group. A propagating radical reacts with the unsaturated double bond on a CTA via an addition step. The intermediate produced is relatively unstable and is prone to fragmentation, which is typically called β-scission. According to reports [10,11], in the fragmentation step, a new radical is generated that can reinitiate polymerization. As a result, a growing radical chain is deactivated and a new chain is initiated. In this mechanism, the rate constant for chain transfer ( k t r ) is defined by the rate constant for addition ( k a d d ) and a partition coefficient ( φ ) (Equations (1) and (2)).
k t r = k a d d k β k a d d + k β = k a d d φ
φ = k β k a d d + k β
The chain transfer constant ( C t r ) is defined in terms of k t r and the propagation rate constant ( k p ) in the usual way ( C t r = k t r / k p ). In this mechanism, the value of k t r can be adjusted by changing the Z groups. Thus, the C t r for a specific vinyl monomer can be easily optimized. In the past two decades, many irreversible AFCT agents have been reported in studies or in patents [12,13,14,15,16,17]. The C t r values of these CTAs for various monomers from the literature have been reviewed by Rizzardo [10], Yamada [11], and Yagci et al. [18]. Among these CTAs, some of the allyl CTAs do not have objectionable odors, in contrast to mercaptans. In addition, they can also regulate the molecular weight, and the polymerization rate is not decelerated when used in bulk and solution polymerization. Especially, compared with the mechanism of RAFT agents, the reversible process of chain transfer is more difficult for mercaptans. Therefore, the polymerization kinetics for allyl CTAs used in an emulsion system may be similar to that of the mercaptans presented in emulsion polymerization. From an industrial perspective, allyl CTAs may potentially substitute mercaptans and can be applied to the emulsion polymerization of styrene as efficient molecular weight regulators without requiring significant modification of current industrial facilities.
Scheme 1. The chemical structure of the irreversible addition-fragmentation chain transfer (AFCT) agent.
Scheme 1. The chemical structure of the irreversible addition-fragmentation chain transfer (AFCT) agent.
Polymers 07 01490 g013
Scheme 2. Mechanisms for irreversible AFCT
Scheme 2. Mechanisms for irreversible AFCT
Polymers 07 01490 g014
The emulsion polymerization mediated by CTAs is more complicated and more challenging than that in homogeneous bulk and solution systems. Not only the molecular weight but also the rate of polymerization (Rp) are influenced by the addition of the CTAs. In principle, the desorption of radicals from the polymer particles would contribute to a significant decrease in the average number of radicals per particle ( n ¯ ) and Rp. The desorption rate coefficient (kdT) expression (Equation (12)), which was reported by Nomura and coworkers [19], shows that with an increase in the amount of chain transfer agents charged the rate of polymerization per particle decreases progressively. These effects can be enhanced using a chain transfer agent with higher values of the chain transfer constant and solubility in water. However, the CTA with a high Ctr could decrease the rate of polymerization in an emulsion system. Whereas, the CTA with a very low Ctr would obtain a decreased efficiency for molecular weight control and should be added in a higher concentration to the polymerization reaction. This could also result in an increase in the kdT and a decrease in the Rp. However, sufficient water solubility for CTAs is crucial for emulsion polymerization. The CTA starts the reaction in monomer droplets, and if it is highly hydrophobic and unable to be efficiently transported via the aqueous phase to growing particles, then the molecular weight regulation efficiency will decrease. Thus, a good balance between water solubility and monomer solubility of the CTA is required [20]. In our previous study [21], a similar conclusion was obtained in which ethyl α-p-toluenesulfonyl-methacrylate with a higher Ctr significantly reduced the Rp. Meanwhile, 2,3-dichloropropene with a lower Ctr had a slight effect on the Rp. However, its efficiency for molecular weight control is low. Butyl(2-phenylallyl)sulfane with a moderate Ctr for styrene (Ctr = 0.68 at 60 °C) as a CTA in emulsion polymerization provides the best balance between the conflicting tendencies of the Rp and the efficiency for molecular weight control. However, to the best of our knowledge, the influence of various parameters on the emulsion polymerization kinetics in the presence of irreversible AFCT agents has not been studied in detail.
This study presents an example for evaluating the effect of an irreversible AFCT agent, butyl(2-phenylallyl)sulfane (BPAS, Scheme 3) on the emulsion polymerization of styrene. An early study using CTAs with relatively low transfer constants in emulsion polymerization found no change in rate or particle size distribution [22]. Therefore, BPAS was chosen due to its suitable Ctr for styrene and its solubility in water. This implies that the BPAS used in this emulsion polymerization could clearly and explicitly be employed to study the degree of radical desorption from a chain transfer group and to simulate the numerical modeling of the number average molecular weight. The influence of BPAS, surfactant and initiator concentration on the polymerization kinetics and the number-average molecular weight was investigated. In addition, the efficiency of molecular weight control in the presence of BPAS at room temperature was studied in emulsion polymerization of styrene by a redox initiation system.
Scheme 3. The chemical structure of butyl(2-phenylallyl)sulfane (BPAS).
Scheme 3. The chemical structure of butyl(2-phenylallyl)sulfane (BPAS).
Polymers 07 01490 g015

2. Experimental Section

2.1. Materials

Butyl(2-phenylallyl)sulfanewas prepared as described in a previous study [12]. It was synthesized from α-(bromomethyl)styrene and butane-1-thiol in methanol at room temperature. After removal of the solvent, the residue was chromatographed on silica gel (petroleum spirit) to obtain the pure product (yield: 88%). δH (400 MHz, CDCl3, δ, ppm): 0.89 (t, 3H), 1.34–1.56 (m, 4H), 2.46 (t, 2H), 3.58 (s, 2H), 5.2 (s, 1H), 5.4 (s, 1H), 7.2–7.5 (m, 5H).
Styrene (polymerization grade, Yanshan Petrochemical Co., Beijing, China) was dried over anhydrous magnesium sulfate, distilled under reduced pressure and stored in brown glass bottles at –15 °C. Sodium dodecyl sulfate (SDS, Beijing Chemical Reagent, Beijing, China), hydroquinone (Beijing Chemical Reagent), methanol (Beijing Chemical Reagent), potassium peroxodisulfate (KPS, Beijing Chemical Reagent), sodium bicarbonate (NaHCO3, Beijing Chemical Reagent), p-menthane hydroperoxide (PMH, Nanning Chemical Reagent, Nanning, China) and tetraethylenepentamine (TEPA, Tianjin Chemical Reagent, Tianjin, China) were used as received. Distilled deionized water (DDW) was used as the continuous phase of the emulsion.

2.2. Polymerization of Styrene

The styrene emulsion polymerizations were performed in a 500-mL four-neck round-bottom flask equipped with a mechanical stirrer, a condenser, and a thermometer. SDS, NaHCO3, and DDW were mixed with mechanical stirring under nitrogen protection to form the aqueous phase. Styrene containing the various required amounts of BPAS was added to the aqueous phase. Table 1 presents the formulations used in the emulsion polymerizations. The mixture was emulsified for 15 min and heated to the reaction temperature of 70 °C. Then, a water solution containing KPS was added to the mixture to start the polymerization. The polymerization was performed with mechanical stirring at 200 rpm under a nitrogen (N2) atmosphere at 70 °C for 5 h. Different concentrations of emulsifier (runs 2–6), initiator (runs 3, 7, 8 and 11) and BPAS (runs 9–13) were added to the polymerization. In runs 14 and 15, the emulsion polymerization of styrene was performed at room temperature (30 °C) via a redox initiation system to investigate the efficiency of BPAS for molecular weight control at a low temperature.
Table 1. Formulations used in the emulsion polymerizations.
Table 1. Formulations used in the emulsion polymerizations.
RunWater (g)Styrene (g)[Styrene]/[BPAS] a[SDS] CMC b[KPS] (mol/L)PMH (g)TEPA (g)NaHCO3 (g)
118060-1.50.0009--0.02
2180602500.80.0045--0.02
3180602501.50.0045--0.02
41806025030.0045--0.02
51806025060.0045--0.02
618060250100.0045--0.02
7180602501.50.009--0.02
8180602501.50.015--0.02
9180607501.50.0009--0.02
10180605001.50.0009--0.02
11180602501.50.0009--0.02
12180601661.50.0009--0.02
13180601001.50.0009--0.02
14180605001.5-0.20.09-
15180602501.5-0.20.09-
The reaction temperature for run 1 to 13 is 70 °C; the reaction temperature for runs 14 and 15 is 30 °C. a The concentration ratio is the molar ratio; b The critical micelle concentration (CMC) of SDS is 6 × 10−3 M and the values in this column are multiples of the CMC.

2.3. Characterization

Monomer conversion was obtained gravimetrically. Samples were withdrawn during the reaction and polymerization was stopped with hydroquinone solution. The number-average molecular weight and molecular weight distributions of polystyrene (PS) were measured by gel permeation chromatography (GPC) on a Tosoh HLC 8320 GPC (column: TSK-Gel SuperHZM-M × 2, TOSOH, Tokyo, Japan) with tetrahydrofuran (Beijing Chemical Reagent) as the eluent (40 °C) at a flowrate of 0.35 mL/min. Narrow PS standards were used to generate the calibration curve. 1HNMR spectra were recorded on a Bruker AV400 MHz NMR spectrometer (Bruker Corporation, Karlsruhe, Germany). CDCl3 was used as the solvent. The number-average particle diameter of polymer particle (dp) measurements were obtained using a Malvern ZETASIZER Nano (Malvern Instruments Ltd., Wallasey, UK) at 25 °C. All latex dispersions were diluted to 500 times with DDW and were filtered through 0.45 μm filters before the measurement. For each measurement the obtained number-average particle size data were averaged over three individual runs. JSM 6700 F scanning electron microscopy (SEM) (JEOL, Tokyo, Japan) was used to characterize the morphology of the particles. SEM images were obtained using the PS samples coated with a thin layer of gold, to a depth of approximately 20 nm, under vacuum.

3. Results and Discussion

3.1. Theories for Evaluating the Kinetics of Emulsion Polymerization

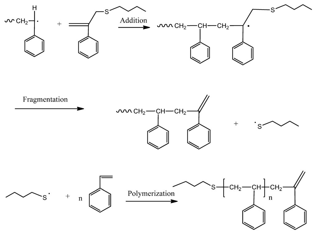
According to the literature [8,12], BPAS as a CTA used in bulk and solution polymerization does not impede the polymerization kinetics. This means that addition and fragmentation are rapid and irreversible, and with respect to propagation, the polymerization kinetics differ only slightly from those seen in polymerization with conventional chain transfer, such as mercaptans. According to the irreversible AFCT mechanism mentioned in the introduction section, the mechanisms for polymerization of styrene in the presence of BPAS are shown in Scheme 4.
Scheme 4. Mechanisms of the polymerization of styrene in the presence of BPAS as the chain transfer agent (CTA).
Scheme 4. Mechanisms of the polymerization of styrene in the presence of BPAS as the chain transfer agent (CTA).
Polymers 07 01490 g016
It should be noted that the polymers with end group structure 1 (Scheme 2) are macromonomers and have utility as chain transfer agents. This means that with the irreversible AFCT agent, transfer is not completely irreversible because the end group formed is a transfer agent. According to the literature [23], the styrene macromonomers as chain transfer agents are temperature-dependent for the transfer reaction. For the polymerizations of styrene in the presence of the styrene macromonomer at 80 °C, there was no significant variation in the molecular weight of the polystyrene formed with macromonomer concentration. Thus, if the reaction temperature is lower than 80 °C, then the reversible reaction can be neglected in the kinetics calculation. However, the polymerization reactions at the time of high monomer conversion will generate more macromonomers. As the concentration of macromonomer increases, the probability of the chain transfer reaction by macromonomers will increase. This reaction may form graft polymers or copolymers, leading to a broader molecular weight distribution of the final polymer product.
The classical Smith–Ewart Theory assumes that emulsion polymerization occurs inside the polymer particles and suggests the relationships between the rate of polymerization (Rp), the number of particles per volume (Nc), and the average number of radicals per particle ( n ¯ ) [24]. The role of BPAS should be evaluated by these three parameters to understand its influence on the course of the emulsion polymerization of styrene. According to the classical theory, emulsion polymerization is divided into three stages. Interval I stage starts with radicals entering micelles to form growing particles, and is followed by Interval II stage. During Interval II, no new particle is formed; therefore, Nc is a constant. The Rp in a conventional emulsion polymerization during Interval II is given by Equation (3):
R p = k p C p N c N A n ¯
where kp is the rate constant for propagation, Cp is the concentration of monomer in the particle during Interval II, and NA is Avogadro’s number. Nc can be calculated from the number-average diameter of polymer particle (dp) during Interval II by Equation (4):
N c = [ m 0 x / ρ 4 3 π ( d p / 2 ) 3 w p ] / v total
where m0 is the initial mass of the monomer, ρ is the density of polystyrene (1062 g/L) , x is the monomer conversion, and wp is the polymer mass fraction of latex particles during Interval II. If the sample was obtained at the end of Interval II, then x should equal wp. The parameter vtotal is the total volume of the emulsion (0.18 L in this system). The value of Rp can be calculated from the slopes of the curves of the monomer conversion versus reaction time and the initial molar concentration of the monomer. If dp is a narrow particle size distribution (PSD) and is collected at approximately the end of Interval II, then the observed average number of radicals per particle ( n ¯ o b s d ) is derived using Equation (5):
n ¯ o b s d = R p N A k p C p N c
The theoretical value of the average number of radicals per particle ( n ¯ t h e o ) can be calculated by a semi-empirical expression in zero-one emulsion polymerizations, in which termination is not rate-determining [25]. The adsorption of the chain-transferred radical from a polymer particle and the entry of a radical into a particle are considered to be balanced, and radical termination in the aqueous phase can be neglected. When the desorption of monomer-derived radicals occurs, with the associated rate constant monomeric radical desorption from the polymer particles (kdM), the semi-empirical expression for calculating n ¯ t h e o , given in Equation (6), provides an approximate relationship between n ¯ t h e o and kdM using the ratio of radical production and the rate constants of bimolecular termination in the polymer particles as a parameter ( α w ):
n ¯ t h e o = 1 2 { ( α w + α w m ) 2 + 2 ( α w + α w m ) 1 / 2 ( α w + α w m ) } + ( 1 4 + α w 2 ) 1 / 2 1 2
α w = ρ i V p ( k t , p N A ) N c  and  m = k d M V p ( k t , p N A )
ρ i = 2 f k d [ I ] N A 8
This equation converges to a limiting value of n ¯ t h e o = 0.5, when m << α w , and α w << 1. Here, ρ i is the rate of radical production in the aqueous phase, and f is the initiator efficiency. The Maxwell–Morrison Model predicts f well for styrene emulsions, with the efficiency term f = [ ( 2 k d [ I ] k t , a q ) 0.5 ( k p , a q C w ) + 1 ] ( 1 z ) [26], where k t , a q (= 4 × 109 L/M/s) and k p , a q (estimated as 4 k p ) are the termination and propagation rate coefficients for aqueous phase radicals, respectively, Cw is the monomer concentration in the aqueous phase (taken as 4.3 × 10−3 M ) [27], and z is the critical degree of polymerization for irreversible entry of a radical into a particle (z = 2 fits most data well) [28]. The parameter k d is the rate constant of initiator decomposition, [ I ] is the initiator concentration, V p is the volume of a polymer particle, k t , p is the termination rate constant in the polymer particles, and k d M is the rate constant for monomeric radical desorption from the polymer particles, given by Equation (9):
k d M = 12 D w δ m d M d p 2 k t r , M k p
where ktr,M is the rate constant for chain transfer to monomer; mdM is the partition coefficient of a monomer between particles and aqueous phase (chosen to be the same as that for a styrene monomer = [styrene]p/[styrene]aq); Dw is the diffusion coefficient of a monomer radical in the aqueous phase; and δ is the ratio of the water-side mass transfer resistance and the overall mass transfer resistance for a radical desorbed from the polymer particles. These values can be estimated with Equation (10):
δ = ( 1 + D w m d M D p ) 1  with  D p = k B T 3 πη 0 d p
where k B , T , η 0 , D p , and d p are the Boltzmann constant, the reaction temperature, the viscosity inside a polymer particle, the diffusion coefficient of a radical in a polymer particle, and the number-average particle diameter, respectively. D p is calculated for a polymeric radical based on viscosity and is difficult to use, because it is unlikely that the internal viscosity is measured and because viscosity will change with conversion. If monomeric radicals can be assumed to generally diffuse as fast as the monomer, then through most of the reaction, D m o n (diffusion coefficients of monomer) is not much less than D w . Because k d M is large, δ is approximately unity. Therefore, the above calculation for D m o n can replace that of D p . Scheren [29] estimated the change in diffusion coefficients of monomer ( D m o n ) with the weight fraction polymer (wp) in an emulsion polymerization from measured diffusion coefficients of species of similar size and structure to styrene, to give the following expression for the diffusion of monomers: D m o n = 3.373 × 10−7 – 5.2894 × 10−7wp − 1.2645 × 10−7wp2 + 3.3429 × 10−7wp3 (in dm2·s−1, up to wp = 0.82). Therefore, the Equation (10) calculation for D m o n replaces that of Dp and is estimated using Equation (11):
δ = ( 1 + D m o n m d M D p ) 1
The numerical values of the used constants are collected in Table 2.
Table 2. Numerical values of constants used in the calculation for n ¯ t h e o .
Table 2. Numerical values of constants used in the calculation for n ¯ t h e o .
ConstantUnitValueReference
k p L/mol/s480[30]
k t , p L/mol/s7 × 107[31]
C p mol/s5.6[24]
k d s−15.8 × 10−6[31]
m d M or m d I -1,629[31]
D w or D w dm2/s1.50 × 10−7[32]
ρ P S g/L1,062[24]
ρ S t g/L905[24]
k t r , M / k p -0.000116[30]
According to the rate coefficient for radical desorption from the particles, the rate of desorption coefficient k d T is given by Equation (12) when the transfer reaction to the chain transfer agents dominates [19]:
k d T = 12 D w δ m d T d p 2 C t r k p k p , R [ T ] p [ M ] p
where [ T ] p , [ M ] p and k p , R are the concentrations of CTA, the monomer in polymer particles, and the rate for a radical leaving group (the R group mentioned in the introduction section) added to the styrene coefficient (this case is RS•, where R is the butyl group), respectively. BPAS itself has a similar structure to styrene, and it must be sparingly soluble in the aqueous phase, based on the efficient transport of BPAS through the aqueous phase from monomer droplets throughout the polymerization reactions. Therefore, it might be assumed that RS• can still efficiently desorb from the latex particle, and because the first monomer addition step is fast, the addition of the adduct radical RSM• to styrene ( k p , R M ) might be the important step competing with desorption. If it is assumed that the first step is sufficiently fast, because of very reactive sulfur-centered radicals, then the approximate value of the competition term would be C t r k p k p , R M [ T ] p [ M ] p . The value of k p , R M has not been measured, but typical values for this reaction can be assumed similar to that of a monomeric radical, i.e., with values of approximately k p , R M = 4 k p . Thus, the k p , R value in Equation (12) requires that the appropriate k p value is close to 4 k p . D w is the diffusion coefficient of a CTA radical in the water phase (chosen to be the same as that for a styrene monomer radical in the water phase), and m d T is the partition coefficient of a CTA radical between particles and the aqueous phase (also chosen to be the same as that for a styrene monomer = [styrene]p/[styrene]aq). In this case, the average number of radicals per particle n ¯ t h e o can be expressed by the following equation when radical desorption is substantial:
n ¯ t h e o = 1 2 [ C + ( C 2 + 2 C ) 1 / 2 ] , C = ρ i k d T N c
This equation also requires that αw << 1. Note that later (Table 3), it is shown that αw << 1.
Table 3. Global results.
Table 3. Global results.
RunRp a (10−4 mol/L/s)dp (nm)Nc b (1018/L) C t r [ T ] p [ M ] p c α w (-) k d T (s−1)m (-) n ¯ o b s d n ¯ t h e o f
16.7776.71.330.000116 d5.38 × 10−60.131e1.49 × 10−50.1140.091
22.6974.11.470.00091.42 × 10−50.2711.15 × 10−40.0410.106
33.6558.33.030.00163.37 × 10−60.7802.01 × 10−40.0270.047
45.5346.26.080.00138.34 × 10−71.0081.61 × 10−40.0200.029
57.6840.29.230.00123.62 × 10−71.2291.46 × 10−40.0180.022
614.532.717.10.00161.05 × 10−72.4781.91× 10−40.0180.011
75.1155.43.530.00154.09 × 10−60.8091.88 × 10−40.0320.053
85.6252.74.090.00163.34 × 10−61.0151.99 × 10−40.0280.051
96.4966.32.060.000472.24 × 10−60.1765.92 × 10−50.0710.065
105.1365.82.110.00072.14 × 10−60.2678.88 × 10−50.0540.053
112.6264.82.200.00131.96 × 10−60.5121.65 × 10−40.0370.026
122.3361.32.600.0021.40 × 10−60.8812.53 × 10−40.0200.027
131.5060.12.350.00331.24 × 10−61.5134.16 × 10−40.0140.020
a The rate, Rp, was calculated from the slope of the conversion time history (Figure 1) at 10%–40% conversion; b The number of particles per unit volume Nc was calculated from dp measured by dynamic light scattering using a Malvern ZETASIZER Nano at 25 °C; c Calculated by molecular weight distribution analysis (Figure 2); d The value should be Ktr,M/kp of styrene which was obtained in Polymer Handbook [30]; e The value should be KdM for the polymerization of styrene, which was calculated using Equation (9); f Calculated with Equation (6) for run 1 and Equation (13) for runs 2–13.
The values of C t r [ T ] p [ M ] p can be calculated by molecular weight distribution (MWD) analysis [33]. The instantaneous number molecular weight distribution Pinst(MW) can be thought of as the MWD of the polymer that is formed over an infinitesimally small time interval. Instantaneous number MWDs collected over finite time intervals are more properly “pseudo-instantaneous” number MWDs. Clay and Gilbert developed a model describing the instantaneous number MWD for zero-one (Equation (14)) and pseudo-bulk (Equation (15)) emulsion polymerization systems. The instantaneous number MWD can be modeled by a single exponential for zero-one and pseudo-bulk systems, as follows:
P i n s t ( M W ) = exp ( k t r , M [ M ] p + k t r [ T ] p + ρ k p [ M ] p M W M 0 )  (zero-one)
lim M W P i n s t ( M W ) = exp ( k t r , M [ M ] p + k t r [ T ] p + ( < k t , p > n / N A V p ) k p [ M ] p M W M 0 )  (pseudo-bulk)
where MW is the polymer molecular weight, ρ is the pseudo-first-order entry rate coefficient per polymer particle, and M 0 is the monomer molecular weight.
If the transfer event is the dominant chain-stopping event (i.e., k t r [ T ] p >> ρ, k t r , M [ M ] p , < k t , p > n ¯ / N A V p ), then Equations (14) and (15) simplify to the following form:
P i n s t ( M W ) = exp ( k t r [ T ] p k p [ M ] p M W M 0 )
Therefore, a plot of ln [ P i n s t ( M W ) ] vs. MW should yield a straight line with a slope equal to ( C t r [ T ] p [ M ] p M 0 ). Thus, from the instantaneous number MWDs, which were measured by GPC traces, it is possible to determine the values of C t r [ T ] p [ M ] p . If samples were obtained at the beginning of interval II, preferably over a small conversion interval (10%–15%), then the values of C t r [ T ] p [ M ] p could be used in Equations (12) and (18).
Figure 1. Conversion-time histories for the butyl(2-phenylallyl)sulfane (BPAS) mediated emulsion polymerization. Reaction temperature: 70 °C.
Figure 1. Conversion-time histories for the butyl(2-phenylallyl)sulfane (BPAS) mediated emulsion polymerization. Reaction temperature: 70 °C.
Polymers 07 01490 g001
Figure 2. Typical number molecular weight distribution plotted as lnP(MW) vs. MW. The region used was to determine the slope, which was subsequently used to determine the initial values of C t r [ T ] p [ M ] p and [ T ] p [ M ] p , the polystyrene samples were obtained at the beginning of interval II (10%–15% monomer conversion).
Figure 2. Typical number molecular weight distribution plotted as lnP(MW) vs. MW. The region used was to determine the slope, which was subsequently used to determine the initial values of C t r [ T ] p [ M ] p and [ T ] p [ M ] p , the polystyrene samples were obtained at the beginning of interval II (10%–15% monomer conversion).
Polymers 07 01490 g002

3.2. Influence of Surfactant and Initiator Concentration with BPAS on the Rate of Polymerization

Figure 1 depicts the typical monomer conversion as a function of reaction time in the presence of BPAS with a varying amount of surfactant and initiator, and Table 3 lists the values of Rp which were measured by the slope of every run in Figure 1. Meanwhile, the SEM photographs of PS spheres and the number-average diameter distribution of a latex particle with and without BPAS are shown in Figure 3 and Figure 4, respectively. These figures show that a higher concentration of surfactant or initiator increases Rp when the amount of BPAS is constant (runs 2–8). As the surfactant or initiator concentration increases, more polymer particles are formed, resulting in higher rates of polymerization. As shown in Figure 3 and Figure 4, the particle size distribution (PSD) is narrow and monodispersed, indicating that the treatment of the kinetics is valid because many of the equations are highly sensitive to particle size. A log–log plot of either Rp or Nc and the concentration of the surfactant or initiator should be constructed to evaluate the influences of the amounts of SDS or KPS on the Rp and Nc in the presence of BPAS. As shown in the results in Figure 5, the relationship of Rp and Nc with the concentration of SDS was estimated as R p [ S D S ] 0.68 and N c [ S D S ] 0.72 , respectively. Figure 6 shows the effect of the concentration of KPS on Rp and Nc ( R p [ K P S ] 0.29 and N c [ K P S ] 0.26 ). According to Smith–Ewart’s Theory, relationships among Rp, Nc, [SDS], and [KPS] should be R p [ S D S ] 0.6 , N c [ S D S ] 0.6 , R p [ K P S ] 0.4 and N c [ K P S ] 0.4 . Nomura et al. [19] demonstrated that as the radical desorption from the particles increased, aided by chain transfer agents, the emulsifier dependence exponent for the number of polymer particles formed increased from 0.6 to 1.0, and the initiator dependence exponent decreased from 0.4 to 0. In addition, the sum of these exponents always equals unity, which is shown in Equation (17):
N c [ S ] 0 Z [ I ] 0 1 Z
where [ S ] 0 and [ I ] 0 are the initial surfactant and initiator concentrations, respectively. The value of z satisfies the inequality 0.6 ≤ z ≤ 1.0 and increases with an increase in radical desorption from the particles. The obtained results are in good agreement with the sum of the dependence exponents. Because styrene is a hydrophobic monomer, the mechanism for particle formation is normally expected via the entry of micelles. The major contribution to the radical desorption is most likely from the departure of the leaving group on the BPAS from the particles, which terminate with radicals in either the water phase or through re-entering particles that terminate with growing polymer chains. When runs are compared at the same BPAS concentration and with a lower initiator concentration, the average diameter from run 11 was higher than that in run 3. This alludes to the fact that the nucleation mechanisms are different for both sets of experiments at low and high initiator concentrations. The evidence suggests that the exiting process increases the nucleation rate, but if the aqueous phase radical concentration is high, which is manifested by a high initiator concentration, then the increased entry rate dominates over re-entry with the possibility of termination of the exited radicals in the aqueous phase. Thus, the fate of desorbed radicals is termination in water. This becomes the dominant process at this high initiator concentration. At a low initiator concentration, the leaving group may have a lower rate of entry, which would result in a longer nucleation period, and larger polymer particles. Consequently, the dependence exponents among Rp, Nc, [SDS], and [KPS] are different from the predictions by the classical theory.
Figure 3. Scanning electron microscope (SEM) photographs of PS spheres prepared by emulsion polymerization at the end of the reaction: (a) run1 and (b) run 11.
Figure 3. Scanning electron microscope (SEM) photographs of PS spheres prepared by emulsion polymerization at the end of the reaction: (a) run1 and (b) run 11.
Polymers 07 01490 g003
Figure 4. Number-average diameter distribution of a latex particle during Interval II at 60% monomer conversion.
Figure 4. Number-average diameter distribution of a latex particle during Interval II at 60% monomer conversion.
Polymers 07 01490 g004
Figure 5. Relationship of Rp and Nc as a function of the surfactant (sodium dodecyl sulfate (SDS)).
Figure 5. Relationship of Rp and Nc as a function of the surfactant (sodium dodecyl sulfate (SDS)).
Polymers 07 01490 g005
Figure 6. Relationship of Rp and Nc as a function of the initiator (potassium peroxodisulfate (KPS)).
Figure 6. Relationship of Rp and Nc as a function of the initiator (potassium peroxodisulfate (KPS)).
Polymers 07 01490 g006

3.3. Analysis of the Rate of Emulsion Polymerization

To further evaluate the desorption of radicals from the particles in the presence of BPAS in the emulsion polymerization of styrene, the relationships among Rp, Nc, and n ¯ should be considered because n ¯ and Nc directly control Rp. From the presented results, it is evident that the presence of BPAS affects the course of the emulsion polymerization (Figure 1). The rates of polymerization in the presence of BPAS are lower than without BPAS. Additionally, the particle number can be affected by the exit of the leaving group on the BPAS from polymer particles. The rate of polymerization and the particle number are directly related to the average number of radicals per particle. The values of the observed average number of radicals per particle n ¯ o b s d ) were calculated from Equation (5). The theoretical values of the average number of radicals ( n ¯ t h e o ) were calculated from Equation (6) for run 1, considering only the desorption of radicals formed by transfer to the monomer. Meanwhile, the n ¯ t h e o values for runs 2–13 were calculated from Equation (13), when the transfer reaction to chain transfer agents dominates. The similar n ¯ o b s d and n ¯ t h e o values (Table 3) indicate that the emulsion polymerization of styrene in the presence and absence of BPAS can be described using the classical theoretical emulsion polymerization framework. This also implies that BPAS as CTA has a significant kinetic influence inside latex particles. Complete re-entry and minimal re-escape is the primary fate of desorbed radicals, as previously mentioned.
Styrene is classified as a Smith–Ewart Case 1 monomer. Case 1 occurs when α w << 1 and only a small fraction of polymer particles will contain a radical because the probability of radical desorption is higher than radical entry. Typically, Case 1 behavior is observed for small particles, as demonstrated in Table 3. Figure 7 presents the “Ugelstad-plots” that compare the n ¯ o b s d with the theoretical lines for m = 0, m = 10−4, m = 10−3 and m = 102. For the emulsion polymerizations in the absence of BPAS, the ratio of radical desorption and radical termination, m given in Equation (7), equals 10−4, which implies a small contribution of radical desorption.
When BPAS is added to the reaction system with a ratio of 1:250 of BPAS to styrene, the values of n ¯ o b s d decrease 2–5 times, indicating that the desorption of the leaving group radicals from BPAS results in a decrease in n ¯ . The results are those for a situation in which the polymerization displays a very pronounced Case 1 behavior; consequently, n ¯ displays a strong dependency on the particle size. For the given experimental conditions, m = 10−3, which implies an increase in the radical desorption from the polymer particles. The particle size dependency of n ¯ originates from the fact that the rate coefficient of radical desorption, k d T is inversely proportional to the particle size squared, given in Equation (12). These low values for n ¯ in the presence of BPAS explain the large difference between the rates of polymerization with and without BPAS.
In styrene emulsion polymerization, n ¯ is strongly influenced by the presence of BPAS (Table 3). As shown in Figure 8, Rp decreases upon increasing the concentration of BPAS. The relationship of Rp with the amounts of BPAS was estimated as R p [ B P A S ] 0.73 , and there was no effect on Nc (Table 3, runs 9–13) with a constant concentration of surfactant and initiator. As BPAS is consumed during the reaction, it is refreshed from monomer droplets during Interval II. Thus, BPAS remains towards the end of the reaction, which would lead to lower molecular weights. These results are illustrated in the following section. Figure 9 also presents the relationship between n ¯ o b s d and α w with a varying concentration of BPAS. A decrease of n ¯ o b s d as the concentration of BPAS increase implies that the desorption of radicals dramatically increases with a high BPAS concentration. The increased desorption originates from the fact that the rate coefficient of radical desorption k d T , is proportional to the concentration of the CTA. As the BPAS concentration increases, the chain-transferred radical concentration inside the particle increases.
Figure 7. Relationship between the average number of radicals per particle and α w (runs 1–8 and 11 in Table 3. The values for n ¯ were obtained from n ¯ o b s d ). The experimental values of α w were calculated by Equation (7). ■ run 1; ○ varying initiator concentration, [BPAS]/[styrene] = 1:250; ▲ varying surfactant concentration, [BPAS]/[styrene] = 1:250. (---) Theoretical lines were generated by Equation (6) for m = 0, m = 10−4, m = 10−3 and m = 102.
Figure 7. Relationship between the average number of radicals per particle and α w (runs 1–8 and 11 in Table 3. The values for n ¯ were obtained from n ¯ o b s d ). The experimental values of α w were calculated by Equation (7). ■ run 1; ○ varying initiator concentration, [BPAS]/[styrene] = 1:250; ▲ varying surfactant concentration, [BPAS]/[styrene] = 1:250. (---) Theoretical lines were generated by Equation (6) for m = 0, m = 10−4, m = 10−3 and m = 102.
Polymers 07 01490 g007
Figure 8. Relationship of Rp and Nc as a function of BPAS concentration.
Figure 8. Relationship of Rp and Nc as a function of BPAS concentration.
Polymers 07 01490 g008
Figure 9. Relationship between the average number of radicals per particle and α w (runs 9–13, in Table 3. The values for n ¯ were obtained from n ¯ o b s d ) The experimental values of α w were calculated by Equation (7). ■ run 1; ○ varying BPAS concentration. (---) Theoretical lines were generated by Equation (6) for m = 0, m = 10−4, m = 10−3 and m = 102.
Figure 9. Relationship between the average number of radicals per particle and α w (runs 9–13, in Table 3. The values for n ¯ were obtained from n ¯ o b s d ) The experimental values of α w were calculated by Equation (7). ■ run 1; ○ varying BPAS concentration. (---) Theoretical lines were generated by Equation (6) for m = 0, m = 10−4, m = 10−3 and m = 102.
Polymers 07 01490 g009

3.4. Influence of the BPAS Concentration on the Number-Average Molecular Weight ( M ¯ n ) of Polystyrene

Figure 10 presents the number-average molecular weight ( M ¯ n ) for various BPAS concentrations at a constant concentration of initiator and surfactant. Table 4 lists the results of M ¯ n at the final conversion. It can be seen that an increase of the BPAS concentrations leads to a decrease of M ¯ n , and in the runs containing BPAS, M ¯ n remains relatively constant over the entire conversion range. The concentrations of initiator and surfactant did not affect M ¯ n when the amount of BPAS was the same (runs 2–8). The evolution of the molecular weight distributions throughout run 11 (Figure 11) becomes broader at the end of the polymerization. This is primarily due to the BPAS consumed during the reaction and then refreshed from monomer droplets during interval II. Thus, BPAS remained towards the end of the reaction, leading to lower molecular weight polymer. The probability of the chain transfer reaction by macromonomers will increase. This reaction may form graft polymers or copolymers. This also may result in a broader molecular weight distribution.
The equation derived by Tobolsky [34] was used to predict the M ¯ n of polystyrene by using CTAs. The equation is as follows:
M _ n = M 0 [ M ] p [ T ] p x 1 ( 1 x ) C t r
where [M]p/[T]p is the initial molar ratio between monomer and CTA in the polymer particles and x is a fractional conversion. This equation considers the change of the concentrations of monomer and CTA compared with the Mayo Equation.
Figure 10. Evolution of M ¯ n for various concentrations of BPAS. ■ run 10; ▲ run 11; ▼ run 12; the solid curve is the theoretical curve calculated from Equation (18).
Figure 10. Evolution of M ¯ n for various concentrations of BPAS. ■ run 10; ▲ run 11; ▼ run 12; the solid curve is the theoretical curve calculated from Equation (18).
Polymers 07 01490 g010
Table 4. The results of the number-average molecular weight in the final conversion, and the initial values of the ratio between CTAs and the monomer in a polymer particle.
Table 4. The results of the number-average molecular weight in the final conversion, and the initial values of the ratio between CTAs and the monomer in a polymer particle.
Run[Styrene]/[CTA] [ T ] p [ M ] p a M ¯ n C t r
1--7.05 × 105-
22500.00134.89 × 104-
32500.00235.31 × 104-
42500.00194.79 × 104-
52500.00184.96 × 104-
62500.00234.76 × 104-
72500.00224.78 × 104-
82500.00234.73 × 1040.68
97500.00071.36 × 105-
105000.00119.81 × 104-
112500.00194.98 × 104-
121660.00293.67 × 104-
131000.00492.15 × 104-
145000.00128.11 × 104-
152500.00195.24 × 104-
a The initial values of the ratio between CTAs and the monomer in a polymer particle was calculated for the slope in Figure 5 and Equation (16).
Figure 11. Evolution of molecular weight distributions during run 11.
Figure 11. Evolution of molecular weight distributions during run 11.
Polymers 07 01490 g011
Figure 10 also presents a comparison of the effect of BPAS on M ¯ n predicted by Equation (18) with that observed experimentally. Styrene solution polymerization experiments with BPAS were reported by Rizzardo and provided valuable raw data for C t r = 0.68 at 60 °C. It is evident that the experimentally obtained M ¯ n and theoretical outcomes using 0.68 for C t r are in good agreement over the entire conversion range in Figure 10. The Ctr of irreversible AFCT agents is defined in the typical manner C t r = k t r / k p ); thus, the transfer rate coefficient ( k t r ) of BPAS can be estimated as 326 L/mol/s at 70 °C for styrene ( k p = 480 L/mol/s at 70 °C for styrene). The agreement between the theoretical values for M ¯ n and the experimentally obtained values implies that the ratio of monomer and CTA remains generally constant throughout the reaction, and the transport is most likely efficient. This can also be achieved in Interval II because [M]p is constant; therefore, if a small amount of CTA is consumed, then [M]p/[T]p will also be generally constant until Interval III starts. At that stage, a significant amount of polymer is already formed; thus, the effects of small deviations at higher conversions will be difficult to observe, but a broader MWD at the end of the polymerization can be seen.
Because some synthetic rubbers are typically produced at low temperatures, the emulsion polymerization of styrene was also performed at room temperature using a redox initiation system to investigate the efficiency of BPAS for molecular weight control (runs 14 and 15). According to the results shown in Figure 12 and Table 4, the evolution of M ¯ n and the final obtained M ¯ n for polystyrene were the same as the runs at a relatively high temperature. However, the predictions become too high at approximately 70% conversion in Figure 12. This is around the glass transition, where propagation might become diffusion controlled. This would lead to lower molecular weights than predicted, as observed. The same final M ¯ n values were obtained between low and high temperature polymerizations, indicating that the efficiency of BPAS for molecular weight control is relatively independent of reaction temperature. Thus, BPAS shows potential for application as a molecular weight regulator in synthetic rubber production.
Figure 12. Evolution of M ¯ n for various concentrations of BPAS at room temperature. ■ run 14; ▲ run 15; the solid curve is the theoretical curve calculated from Equation (18).
Figure 12. Evolution of M ¯ n for various concentrations of BPAS at room temperature. ■ run 14; ▲ run 15; the solid curve is the theoretical curve calculated from Equation (18).
Polymers 07 01490 g012

4. Conclusions

The kinetics of the styrene emulsion polymerization in the presence of BPAS based on the irreversible AFCT mechanism was investigated. The findings of this study enhance the fundamental understanding of the influence of an irreversible AFCT agent on the course of the emulsion polymerization and the control of the molecular weight. In the case of this polymerization system, relationships were observed between R p and N c with respect to increasing the amount of KPS, SDS, and BPAS. ( R p [ K P S ] 0.29 , N c [ K P S ] 0.26 , R p [ S D S ] 0.68 , N c [ S D S ] 0.72 and R p [ B P A S ] 0.73 ). It was demonstrated that the emulsifier dependence exponent for the number of polymer particles produced increased and the initiator dependence exponent decreased, as the radical desorption from the particles increased when the polymerization systems were in the presence of BPAS. The experimental values for n ¯ were in good agreement with the theoretical values obtained from the semi-empirical expression as reported by Ugelstad and Nomura. This result can be explained theoretically in terms of the desorption of chain transferred radicals from the polymer particles.
The number-average molecular weight ( M ¯ n ) can be controlled by BPAS over nearly the entire conversion range and is in good agreement with the theoretical values. The transfer rate coefficient ( k t r ) of BPAS can be estimated as 326 L/mol/s at 70 °C. Meanwhile, BPAS can also be used at lower temperatures for molecular weight control, and its efficiency may be relatively independent of reaction temperature. Therefore, BPAS may become a candidate for the substitution of the conventional mercaptans with objectionable odors and shows potential for application in emulsion-polymerization products, such as the synthesis of butadiene-styrene rubber.

Acknowledgments

This work was supported by the Beijing Municipal Education Commission (CIT&TCD20140320 and IDHT20130520), the Scientific Research Common Program of Beijing Municipal Commission of Education (KM201510015003) and the Plan Project of Beijing College Students’ Scientific Research (08150114/044).

Author Contributions

Li An, Jialing Pu and Zhongxiao Li conceived and designed the experiments; Zhihui Di and Biaobiao Yu performed the experiments; Li An and Zhongxiao Li analyzed the data; Li An wrote the paper.

Conflicts of Interest

The authors declare no conflict of interest.

References

  1. Vacavek, V. Regulation of molecular weight of styrene-butadiene rubber. III. Choice of regulator from the homologous series of aliphatic mercaptans. J. Appl. Polym. Sci. 1967, 11, 1903–1914. [Google Scholar] [CrossRef]
  2. Dietrich, B.K.; Pryor, W.A.; Wu, S.J. Chain transfer constants of mercaptans in the emulsion polymerization of styrene. J. Appl. Polym. Sci. 1988, 36, 1129–1141. [Google Scholar] [CrossRef]
  3. Seno, T.; Seno, M.; Kobayashi, M.; Kohno, T.; Tanaka, H. Radical polymerization of vinyl monomers in the presence of ethyl α-benzene- and α-p-toluenesulfonylmethylacrylates. Eur. Polym. J. 1995, 31, 29–34. [Google Scholar]
  4. Destarac, M. Controlled radical polymerization: Industrial stakes, obstacles and achievements. Macromol. React. Eng. 2010, 4, 165–179. [Google Scholar] [CrossRef]
  5. Oh, J.K. Recent advances in controlled/living radical polymerization in emulsion and dispersion. J. Polym. Sci. A Polym. Chem. 2008, 46, 6983–7001. [Google Scholar] [CrossRef]
  6. Moad, G.; Rizzardo, E.; Thang, S.H. Living radical polymerization by the RAFT process. Aust. J. Chem. 2005, 58, 379–410. [Google Scholar] [CrossRef]
  7. Cunningham, M.F. Controlled/living radical polymerization in aqueous dispersed systems. Prog. Polym. Sci. 2008, 33, 365–398. [Google Scholar] [CrossRef]
  8. Meijs, G.F.; Rizzardo, E.; Thang, S.H. Preparation of controlled-molecular-weight, olefin-terminated polymers by free radical methods. Chain transfer using allylic sulfides. Macromolecules 1988, 21, 3122–3124. [Google Scholar]
  9. Meijs, G.F.; Rizzardo, E. Chain transfer by an addition-fragmentation mechanism. The use of α-benzyloxystyrene for the preparation of low-molecular-weight poly(methyl methacrylate) and polystyrene. Die Makromolekul. Chem. Rapid Commun. 1988, 9, 547–551. [Google Scholar] [CrossRef]
  10. Moad, G.; Rizzardo, E.; Thang, S.H. Radical addition-fragmentation chemistry in polymer synthesis. Polymer 2008, 49, 1079–1131. [Google Scholar] [CrossRef]
  11. Yamada, B.; Zetterlund, P.B.; Sato, E. Utility of propenyl groups in free radical polymerization: Effects of steric hindrance on formation and reaction behavior as versatile intermediates. Prog. Polym. Sci. 2006, 31, 835–877. [Google Scholar] [CrossRef]
  12. Meijs, G.F.; Rizzardo, E.; Thang, S.H. Chain transfer activity of some activated allylic compounds. Polym. Bull. 1990, 24, 501–505. [Google Scholar] [CrossRef]
  13. Meijs, G.F.; Rizzardo, E. Thiohydroxamic esters. Polym. Bull. 1991, 26, 291–295. [Google Scholar] [CrossRef]
  14. Meijs, G.F.; Rizzardo, E.; Le, T.P.T. New chain transfer agents for free radical polymerizations. Polym. Int. 1991, 26, 239–244. [Google Scholar] [CrossRef]
  15. Meijs, G.F.; Morton, T.C.; Rizzardo, E.; Thang, S.H. The use of substituted allylic sulfides to prepare end-functional polymers of controlled molecular weight by free-radical polymerization. Macromolecules 1991, 24, 3689–3695. [Google Scholar] [CrossRef]
  16. Reghunadhan Nair, C.P.; Chaumont, P.; Charmot, D. Diene-functional macromonomers by a single-step free radical addition-fragmentation reaction. Syntheses and kinetics. J. Polym. Sci. A 1995, 33, 2773–2783. [Google Scholar] [CrossRef]
  17. Jiang, S.; Viehe, H.G.; Oger, N.; Charmot, D. New chain transfer agents for radical polymerization based on the addition-fragmentation mechanism. Macromol. Chem. Phys. 1995, 196, 2349–2360. [Google Scholar] [CrossRef]
  18. Yagci, Y.; Reetz, I. Addition-fragmentation reactions in polymer chemistry. React. Funct. Polym. 1999, 42, 255–264. [Google Scholar] [CrossRef]
  19. Nomura, M.; Minamino, Y.; Fujita, K.; Harada, M. The role of chain transfer agents in the emulsion polymerization of styrene. J. Polym. Sci. 1982, 20, 1261–1270. [Google Scholar] [CrossRef]
  20. Nomura, M.; Suzuki, H.; Tokunaga, H.; Fujita, K. Mass transfer effects in emulsion polymerization systems. I. Diffusional behavior of chain transfer agents in the emulsion polymerization of styrene. J. Appl. Polym. Sci. 1994, 51, 21–31. [Google Scholar] [CrossRef]
  21. An, L.; Gao, C.; Yan, X.; Fu, Z.; Yang, W.; Shi, Y. Emulsion polymerization of styrene using irreversible addition–fragmentation chain transfer agents: Effect on the course of the polymerization and molecular weight. Colloid Polym. Sci. 2012, 290, 719–729. [Google Scholar] [CrossRef]
  22. Monteiro, M.J.; de Barbeyrac, J. Free-radical polymerization of styrene in emulsion using a reversible addition-ragmentation chain transfer agent with a low transfer constant: Effect on rate, particle size, and molecular weight. Macromolecules 2001, 34, 4416–4423. [Google Scholar] [CrossRef]
  23. Chiefari, J.; Jeffery, J.; Krstina, J.; Moad, C.L.; Moad, G.; Postma, A.; Rizzardo, E.S.; Thang, H. Binary copolymerization with catalytic chain transfer. A method for synthesizing macromonomers based on monosubstituted monomers. Macromolecules 2005, 38, 9037–9054. [Google Scholar] [CrossRef]
  24. Monteiro, M.J.; Adamy, M.M.; Leeuwen, B.J.; van Herk, A.M.; Destarac, M. A “living” radical ab initio emulsion polymerization of styrene using a fluorinated xanthate agent. Macromolecules 2005, 38, 1538–1541. [Google Scholar] [CrossRef]
  25. Suzuki, S.; Kikuchi, K.; Suzuki, A.; Nomura, M.; Okaya, T. Effect of chain transfer agents on the kinetics and mechanism of particle nucleation in the emulsion polymerization of vinyl pivalate. Colloid Polym. Sci. 2007, 285, 523–534. [Google Scholar] [CrossRef]
  26. Maxwell, I.A.; Morrison, B.R.; Napper, D.H.; Gilbert, R.G. Entry of free radicals into latex particles in emulsion polymerization. Macromolecules 1991, 24, 1629–1640. [Google Scholar] [CrossRef]
  27. Lane, W.H. Determination of solubility of styrene in water and of water in styrene. Ind. Eng. Chem. Anal. Ed. 1946, 18, 295–296. [Google Scholar] [CrossRef]
  28. Gilbert, R.G. Emulsion Polymerization: A Mechanistic Approach; Academic Press: London, UK, 1995; Volume 41, p. 352. [Google Scholar]
  29. Scheren, P.A.G.M.; Russell, G.T.; Sangster, D.F.; Gilbert, R.G.; German, A.L. Chain-length-dependent termination rate processes in free-radical polymerizations. 3. Styrene polymerizations with and without added inert diluent as an experimental test of model. Macromolecules 1995, 28, 3637–3649. [Google Scholar] [CrossRef]
  30. Brandrup, J.; Immergut, E.H.; Grulke, E.A. Polymer Handbook; Wiley: New York, NY, USA, 1999. [Google Scholar]
  31. Mendoza, J.; de la Cal, J.C.; Asua, J.M. Kinetics of the styrene emulsion polymerization using n-dodecyl mercaptan as chain-transfer agent. J. Polym. Sci. A 2000, 38, 4490–4505. [Google Scholar] [CrossRef]
  32. Prescott, S.W.; Ballard, M.J.; Rizzardo, E.; Gilbert, R.G. Radical loss in RAFT-mediated emulsion polymerizations. Macromolecule. 2005, 38, 4901–4912. [Google Scholar] [CrossRef]
  33. Cunningham, M.F.; Ma, J.W. Calculating molecular weight distributions in emulsion polymerization under conditions of diffusion limited chain transfer. J. Appl. Polym. Sci. 2000, 78, 217–227. [Google Scholar] [CrossRef]
  34. Mark, H.F.; Tobolsky, A.V. Polymer Science and Materials; Wiley Interscience: New York, NY, USA, 1971. [Google Scholar]

Share and Cite

MDPI and ACS Style

An, L.; Di, Z.; Yu, B.; Pu, J.; Li, Z. The Effect of Allylic Sulfide-Mediated IrreversibleAddition-Fragment Chain Transfer on the EmulsionPolymerization Kinetics of Styrene. Polymers 2015, 7, 1918-1938. https://doi.org/10.3390/polym7101490

AMA Style

An L, Di Z, Yu B, Pu J, Li Z. The Effect of Allylic Sulfide-Mediated IrreversibleAddition-Fragment Chain Transfer on the EmulsionPolymerization Kinetics of Styrene. Polymers. 2015; 7(10):1918-1938. https://doi.org/10.3390/polym7101490

Chicago/Turabian Style

An, Li, Zhihui Di, Biaobiao Yu, Jialing Pu, and Zhongxiao Li. 2015. "The Effect of Allylic Sulfide-Mediated IrreversibleAddition-Fragment Chain Transfer on the EmulsionPolymerization Kinetics of Styrene" Polymers 7, no. 10: 1918-1938. https://doi.org/10.3390/polym7101490

APA Style

An, L., Di, Z., Yu, B., Pu, J., & Li, Z. (2015). The Effect of Allylic Sulfide-Mediated IrreversibleAddition-Fragment Chain Transfer on the EmulsionPolymerization Kinetics of Styrene. Polymers, 7(10), 1918-1938. https://doi.org/10.3390/polym7101490

Article Metrics

Back to TopTop