Processing and Characterization of Poly(lactic acid) (PLA) Films Containing Pomegranate Peel Powder
Abstract
1. Introduction
2. Materials and Methods
2.1. Materials
2.2. Processing of PLA Films
2.3. Film Characterization
3. Results and Discussion
3.1. FTIR Results
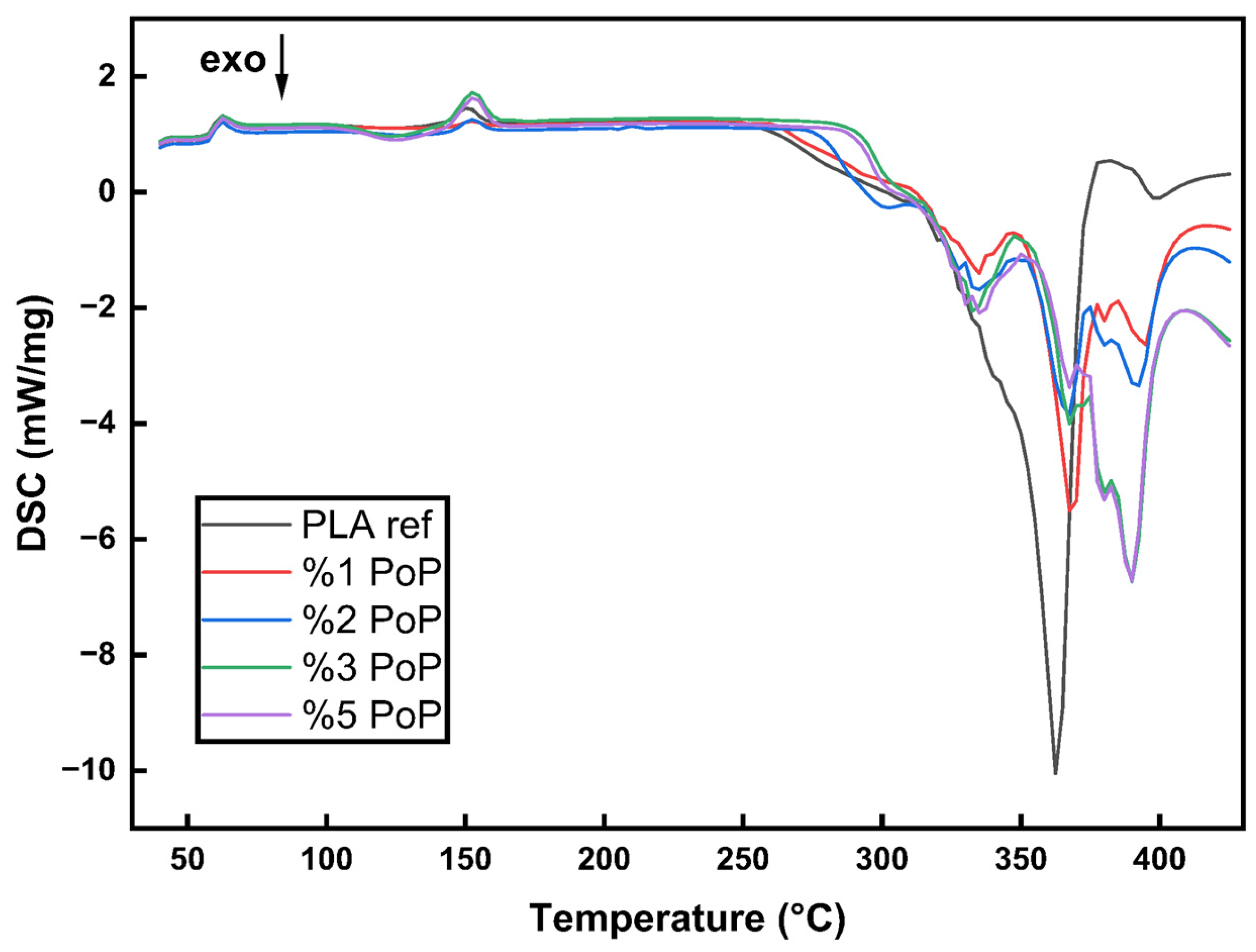
3.2. DSC Results
3.3. Tensile Test Results
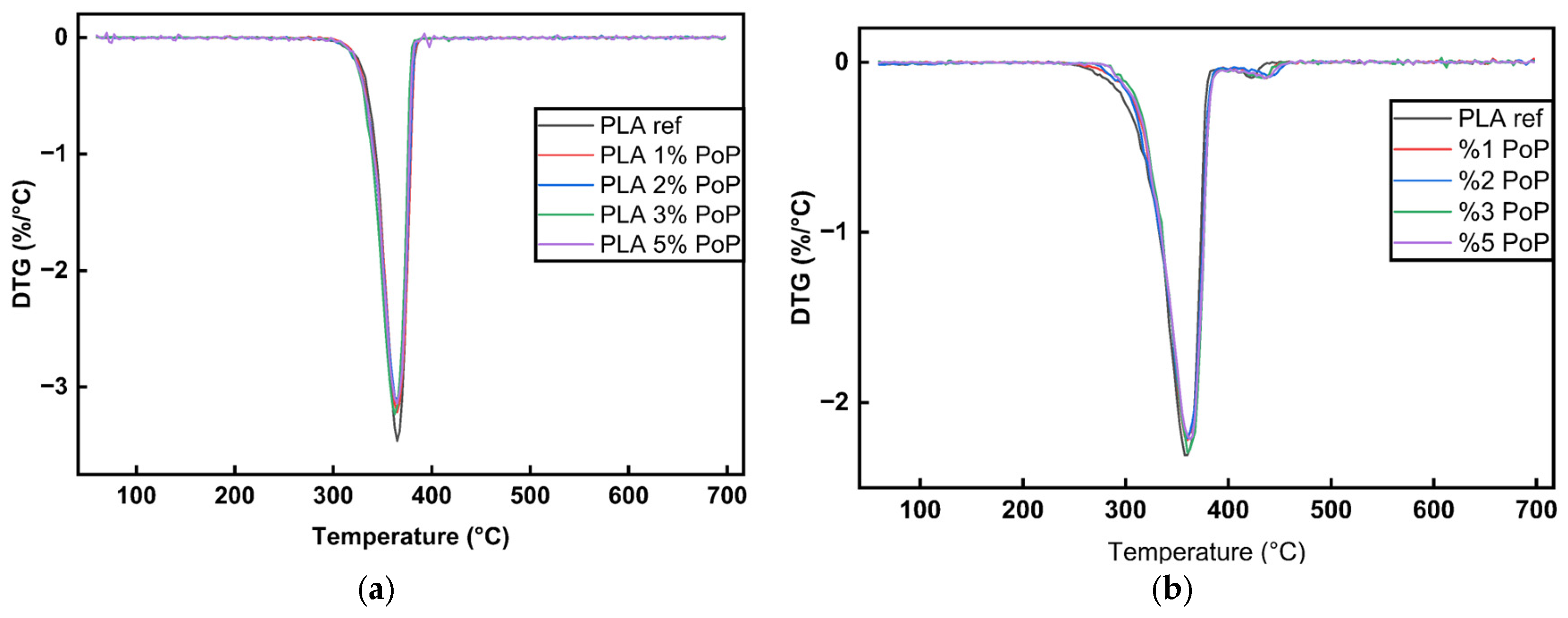
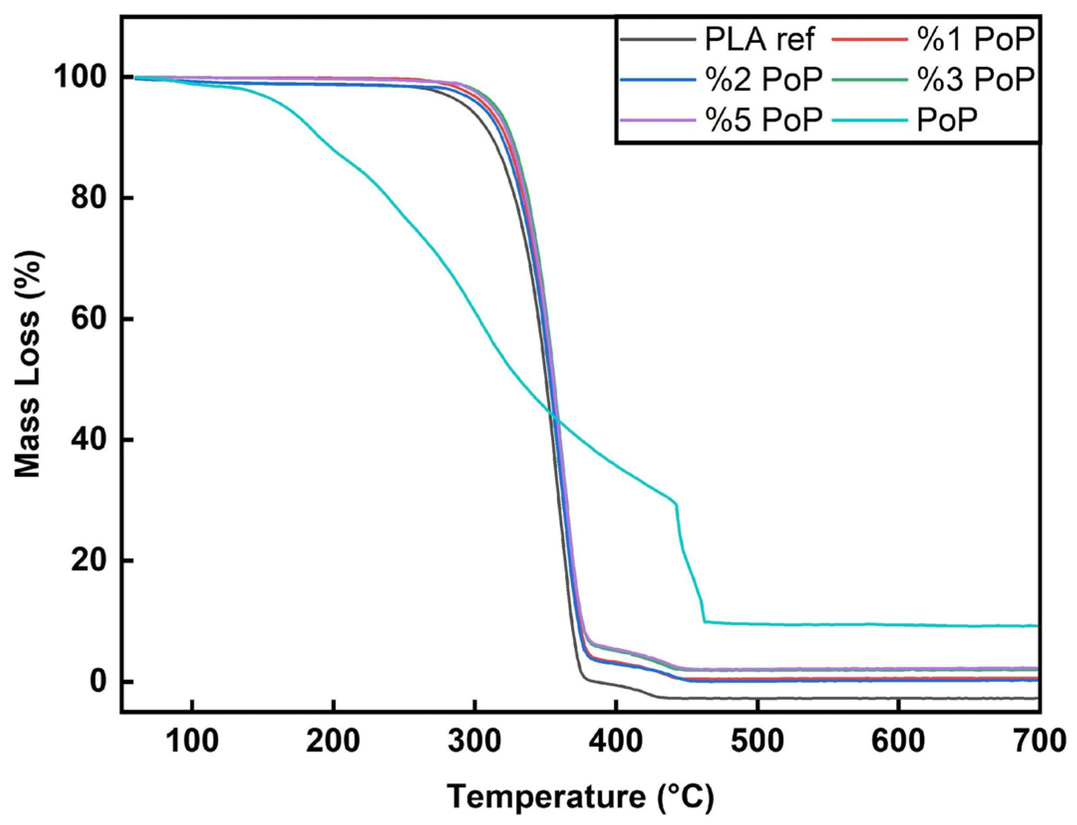
3.4. TGA N2 Results
3.5. TGA O2 Results
3.6. OIT Results
3.7. Color Results
3.8. Rheology Results
3.9. SEM Results
3.10. UV-Vis Spectroscopy Results
4. Conclusions
Author Contributions
Funding
Institutional Review Board Statement
Data Availability Statement
Acknowledgments
Conflicts of Interest
Appendix A
Appendix A.1. FTIR Spectra

| Assignment | Peak Position (cm−1) |
|---|---|
| C-H stretch | 2950–3000 |
| C=O stretch | 1750 |
| C-H stretch | 1450 |
| C-O stretch | 1100–1200 |
| C-O-C asymmetric stretch | 1150–1060 |
Appendix A.2. Rheology


Appendix A.3. DTG of TGA

| Sample | Final Residue (%) | T at 5% Mass Loss (°C) | Max T of DTG (Inflection) (1/°C) | T Onset (°C) |
|---|---|---|---|---|
| PLA ref | 0.08 | 332.5 | 341.3 | 347 |
| PLA 1% PoP | 0.66 | 332.9 | 340.2 | 345.6 |
| PLA 2% PoP | 1.28 | 330.2 | 338.6 | 344.5 |
| PLA 3% PoP | 0.85 | 330.4 | 337.8 | 342.1 |
| PLA 5% PoP | 1.55 | 330.1 | 338.5 | 343.6 |
| Sample | Final Residue (%) | T at 5% Mass Loss (°C) | Max T of DTG (Inflection) (1/°C) | T Onset (°C) |
|---|---|---|---|---|
| PLA ref | 0.35 | 304.8 | 359.1 | 328.4 |
| PLA 1% PoP | 0.65 | 306.6 | 359.3 | 330.8 |
| PLA 2% PoP | 0.28 | 307.2 | 360.3 | 329.5 |
| PLA 3% PoP | 2.01 | 313 | 359.9 | 333.9 |
| PLA 5% PoP | 2.30 | 313.9 | 360.5 | 331.9 |
Appendix A.4. DSC-Curves

Appendix A.5. Oxidation Induction Temperature Curves

Appendix A.6. Tensile Testing

References
- Van de Perre, D.; Serbruyns, L.; Coltelli, M.-B.; Gigante, V.; Aliotta, L.; Lazzeri, A.; Geerinck, R.; Verstichel, S. Tuning Biodegradation of Poly (lactic acid) (PLA) at Mild Temperature by Blending with Poly (butylene succinate-co-adipate) (PBSA) or Polycaprolactone (PCL). Materials 2024, 17, 5436. [Google Scholar] [CrossRef]
- OECD Temporary Archive. Available online: https://web-archive.oecd.org/temp/2022-08-18/622468-increased-plastic-leakage-and-greenhouse-gas-emissions.htm (accessed on 30 November 2024).
- Ge, J.; Li, H.; Liu, P.; Zhang, Z.; Ouyang, Z.; Guo, X. Review of the toxic effect of microplastics on terrestrial and aquatic plants. Sci. Total Environ. 2021, 791, 148333. [Google Scholar] [CrossRef]
- Rasal, R.M.; Janorkar, A.V.; Hirt, D.E. Poly(lactic acid) modifications. Prog. Polym. Sci. 2010, 35, 338–356. [Google Scholar] [CrossRef]
- Milovanovic, S.; Pajnik, J.; Lukic, I. Tailoring of advanced poly(lactic acid)-based materials: A review. J. Appl. Polym. Sci. 2022, 139, 51839. [Google Scholar] [CrossRef]
- Aliotta, L.; Gigante, V.; Geerinck, R.; Coltelli, M.-B.; Lazzeri, A. Micromechanical analysis and fracture mechanics of Poly(lactic acid) (PLA)/Polycaprolactone (PCL) binary blends. Polym. Test. 2023, 121, 107984. [Google Scholar] [CrossRef]
- Narancic, T.; Verstichel, S.; Reddy Chaganti, S.; Morales-Gamez, L.; Kenny, S.T.; De Wilde, B.; Babu Padamati, R.; O’Connor, K.E. Biodegradable Plastic Blends Create New Possibilities for End-of-Life Management of Plastics but They Are Not a Panacea for Plastic Pollution. Environ. Sci. Technol. 2018, 52, 10441–10452. [Google Scholar] [CrossRef] [PubMed]
- Ashori, A.; Nourbakhsh, A. Mechanical behavior of agro-residue-reinforced polypropylene composites. J. Appl. Polym. Sci. 2009, 111, 2616–2620. [Google Scholar] [CrossRef]
- Valdés, A.; Fenollar, O.; Beltrán, A.; Balart, R.; Fortunati, E.; Kenny, J.M.; Garrigós, M.C. Characterization and enzymatic degradation study of poly(ε-caprolactone)-based biocomposites from almond agricultural by-products. Polym. Degrad. Stab. 2016, 132, 181–190. [Google Scholar] [CrossRef]
- Xie, Y.; Niu, X.; Yang, J.; Fan, R.; Shi, J.; Ullah, N.; Feng, X.; Chen, L. Active biodegradable films based on the whole potato peel incorporated with bacterial cellulose and curcumin. Int. J. Biol. Macromol. 2020, 150, 480–491. [Google Scholar] [CrossRef]
- Suriyaprom, S.; Mosoni, P.; Leroy, S.; Kaewkod, T.; Desvaux, M.; Tragoolpua, Y. Antioxidants of Fruit Extracts as Antimicrobial Agents against Pathogenic Bacteria. Antioxidants 2022, 11, 602. [Google Scholar] [CrossRef]
- Gullon, B.; Pintado, M.E.; Pérez-Álvarez, J.A.; Viuda-Martos, M. Assessment of polyphenolic profile and antibacterial activity of pomegranate peel (Punica granatum) flour obtained from co-product of juice extraction. Food Control 2016, 59, 94–98. [Google Scholar] [CrossRef]
- Karakuş, E.; Ayhan, Z.; Haskaraca, G. Development and characterization of sustainable-active-edible-bio based films from orange and pomegranate peel waste for food packaging: Effects of particle size and acid/plasticizer concentrations. Food Packag. Shelf Life 2023, 37, 101092. [Google Scholar] [CrossRef]
- Shen, X.; Sun, X.; Xie, Q.; Liu, H.; Zhao, Y.; Pan, Y.; Hwang, C.-A.; Wu, V. Antimicrobial effect of blueberry (Vaccinium corymbosum L.) extracts against the growth of Listeria monocytogenes and Salmonella Enteritidis. Food Control 2014, 35, 159–165. [Google Scholar] [CrossRef]
- Wang, K.; Lim, P.N.; Tong, S.Y.; Thian, E.S. Development of grapefruit seed extract-loaded poly(ε-caprolactone)/chitosan films for antimicrobial food packaging. Food Packag. Shelf Life 2019, 22, 100396. [Google Scholar] [CrossRef]
- Abdel-Naeem, H.H.S.; Elshebrawy, H.A.; Imre, K.; Morar, A.; Herman, V.; Pașcalău, R.; Sallam, K.I. Antioxidant and Antibacterial Effect of Fruit Peel Powders in Chicken Patties. Foods 2022, 11, 301. [Google Scholar] [CrossRef]
- Rudra, S.G.; Gundewadi, G.; Sharma, R.R. 8—Natural additives with antimicrobial and flavoring potential for fresh-cut produce. In Fresh-Cut Fruits and Vegetables; Siddiqui, M.W., Ed.; Academic Press: Cambridge, MA, USA, 2020; pp. 165–182. [Google Scholar]
- Dai, L.; Li, R.; Liang, Y.; Liu, Y.; Zhang, W.; Shi, S. Development of Pomegranate Peel Extract and Nano ZnO Co-Reinforced Polylactic Acid Film for Active Food Packaging. Membranes 2022, 12, 1108. [Google Scholar] [CrossRef] [PubMed]
- Bodbodak, S.; Shahabi, N.; Mohammadi, M.; Ghorbani, M.; Pezeshki, A. Development of a Novel Antimicrobial Electrospun Nanofiber Based on Polylactic Acid/Hydroxypropyl Methylcellulose Containing Pomegranate Peel Extract for Active Food Packaging. Food Bioprocess Technol. 2021, 14, 2260–2272. [Google Scholar] [CrossRef]
- Li, Y.; Fu, J.; Xu, Y.; Ali, A.; Hussain, Z.; Duan, Q.; Liu, H.; Yu, L. Antimicrobial packaging materials of PLA/starch composites functionalized by pomegranate peel. J. Taiwan Inst. Chem. Eng. 2024, 156, 105371. [Google Scholar] [CrossRef]
- Muhammad, A.; Dayisoylu, K.S.; Pei, J.; Khan, M.R.; Salman, M.; Ahmad, R.; Ullah, H.; Noor, G.R. Compositional analysis of natural pomegranate peel powder dried by different methods and nutritional and sensory evaluation of cookies fortified with pomegranate peel powder. Front. Nutr. 2023, 10, 1118156. [Google Scholar] [CrossRef]
- Ranjitha, J.; Bhuvaneshwari, G.; Terdal, D.; Kavya, K. Nutritional composition of fresh pomegranate peel powder. Int. J. Chem. Stud. 2018, 6, 692–696. [Google Scholar]
- Çelebi, N.; Aral, N.; Taştan, Ö. Development and characterization of pomegranate peel powder and waterborne polyurethane-coated fabrics. J. Coat. Technol. Res. 2024, 21, 1805–1818. [Google Scholar] [CrossRef]
- Ain, H.B.U.; Tufail, T.; Bashir, S.; Ijaz, N.; Hussain, M.; Ikram, A.; Farooq, M.A.; Saewan, S.A. Nutritional importance and industrial uses of pomegranate peel: A critical review. Food Sci. Nutr. 2023, 11, 2589–2598. [Google Scholar] [CrossRef]
- Mohlamonyane, M.J.; Adeyemi, J.O.; Fawole, O.A. Pomegranate fruit peel: A sustainable bioresource in food preservation. Food Biosci. 2024, 62, 105532. [Google Scholar] [CrossRef]
- Hiller, B.; Rennert, M.; Nase, M. Comparison of the properties of biogenic wine by-products stabilized biocomposites compounded with a miniaturized single-screw extruder and a co-rotating twin-screw extruder. In Proceedings of the 60th ISC, Ilmenau Scientific Colloquium, Ilmenau, Germany, 4–8 September 2023. [Google Scholar] [CrossRef]
- ASTM D882-18; Standard Test Method for Tensile Properties of Thin Plastic Sheeting. ASTM International: West Conshohocken, PA, USA, 2018. Available online: https://store.astm.org/d0882-18.html (accessed on 12 December 2025).
- Pathare, P.B.; Opara, U.L.; Al-Said, F.A.-J. Colour Measurement and Analysis in Fresh and Processed Foods: A Review. Food Bioprocess Technol. 2013, 6, 36–60. [Google Scholar] [CrossRef]
- Ben-Ali, S.; Akermi, A.; Mabrouk, M.; Ouederni, A. Optimization of extraction process and chemical characterization of pomegranate peel extract. Chem. Pap. 2018, 72, 2087–2100. [Google Scholar] [CrossRef]
- Siriprom, W.; Sangwaranatee, N.; Herman; Chantarasunthon, K.; Teanchai, K.; Chamchoi, N. Characterization and analyzation of the poly (L-lactic acid) (PLA) films. Mater. Today Proc. 2018, 5, 14803–14806. [Google Scholar] [CrossRef]
- Massijaya, S.Y.; Lubis, M.A.R.; Nissa, R.C.; Nurhamiyah, Y.; Kusumaningrum, W.B.; Marlina, R.; Ningrum, R.S.; Sutiawan, J.; Hidayat, I.; Kusumah, S.S.; et al. Thermal Properties’ Enhancement of PLA-Starch-Based Polymer Composite Using Sucrose. Polymers 2024, 16, 1028. [Google Scholar] [CrossRef]
- Giani, N.; Maccaferri, E.; Benelli, T.; Bovo, M.; Torreggiani, D.; Campari, E.G.; Tassinari, P.; Giorgini, L.; Mazzocchetti, L. Valorization of Agro-Wastes as Fillers in PLA-Based Biocomposites for Increasing Sustainability in Fused Deposition Modeling Additive Manufacturing. Materials 2024, 17, 1421. [Google Scholar] [CrossRef]
- Tunçalp, M.; Seki, Y.; Altay, L.; Sarikanat, M.; İsbilir, A. Antimicrobial Performance of PLA/Pomegranate Peel Composites: Effect of Filler Content and Extrusion Parameter, Screw Speed. SPE Polym. 2025, 6, e70015. [Google Scholar] [CrossRef]
- Mu, W.; Chen, X.; Li, S.; Sun, Y.; Wang, Q.; Na, J. Mechanical Performances Analysis and Prediction of Short Plant Fiber-Reinforced PLA Composites. Polymers 2023, 15, 3222. [Google Scholar] [CrossRef]
- Wang, L.; Yong, L.X.; Loo, S.C.J. Utilizing Food Waste in 3D-Printed PLA Formulations to Achieve Sustainable and Customizable Controlled Delivery Systems. ACS Omega 2024, 9, 34140–34150. [Google Scholar] [CrossRef] [PubMed]
- Xing, D.; Wang, H.; Tao, Y.; Zhang, J.; Li, P.; Koubaa, A. 3D-printing continuous plant fiber/polylactic acid composites with lightweight and high strength. Polym. Compos. 2025, 46, 4967–4980. [Google Scholar] [CrossRef]
- Miller, K.; Reichert, C.L.; Loeffler, M.; Schmid, M. Effect of Particle Size on the Physical Properties of PLA/Potato Peel Composites. Compounds 2024, 4, 119–140. [Google Scholar] [CrossRef]
- Şen, İ.; Eroğlu, M.; Severgün, O.; Kızıl, D. Ecofriendly quince peel powder incorporated Polylactic acid biocomposite film. J. Elastomers Plast. 2024, 56, 374–391. [Google Scholar] [CrossRef]
- Lyu, J.S.; Lee, J.-S.; Han, J. Development of a biodegradable polycaprolactone film incorporated with an antimicrobial agent via an extrusion process. Sci. Rep. 2019, 9, 20236. [Google Scholar] [CrossRef]
- Oyeoka, H.C.; Ewulonu, C.M.; Nwuzor, I.C.; Obele, C.M.; Nwabanne, J.T. Packaging and degradability properties of polyvinyl alcohol/gelatin nanocomposite films filled water hyacinth cellulose nanocrystals. J. Bioresour. Bioprod. 2021, 6, 168–185. [Google Scholar] [CrossRef]
- Bo, X.-C.; Wang, D.-C.; Liu, Y.-X.; Li, M.-H. Degradable cellulose/polylactic acid facial masks with antibacterial and antioxidant action from pomegranate extract. Cellulose 2023, 30, 6959–6970. [Google Scholar] [CrossRef]
- Hashem, A.; Aniagor, C.O.; Fikry, M.; Taha, G.M.; Badawy, S.M. Characterization and adsorption of raw pomegranate peel powder for lead (II) ions removal. J. Mater. Cycles Waste Manag. 2023, 25, 2087–2100. [Google Scholar] [CrossRef]
- Nanni, A.; Messori, M. A comparative study of different winemaking by-products derived additives on oxidation stability, mechanical and thermal proprieties of polypropylene. Polym. Degrad. Stab. 2018, 149, 9–18. [Google Scholar] [CrossRef]
- Quintas, M.; Brandão, T.R.S.; Silva, C.L.M. Modelling autocatalytic behaviour of a food model system- sucrose thermal degradation at high concentrations. J. Food Eng. 2006, 78, 537–545. [Google Scholar] [CrossRef]
- Karadeniz, F.; Atalay, D.; Erge, H.S.; Kaya, S.; Işık, B.; Aslanali, O. Kinetics of 5-hydroxymethylfurfural (5-HMF) formation and colour change in date fruit fillings stored at different temperatures. J. Food Compos. Anal. 2024, 127, 105986. [Google Scholar] [CrossRef]
- Gurbanov, N.; Gadimova, N.; Osmanova, S.; Ismailov, E.; Akhundova, N. Chemical composition, thermal stability of pomegranate peel and seed powders and their application in food production. East.-Eur. J. Enterp. Technol. 2022, 6, 24–33. [Google Scholar] [CrossRef]
- Dubey, S.; Kumar, R.; KumarMondal, M. Pyrolysis kinetics and thermodynamics of pomegranate peel usingTG/DTG analysis. Biomass Convers. Biorefinery 2024, 14, 12411–12425. [Google Scholar] [CrossRef]
- Li, H.; Qu, Y.; Xu, J. Microwave-Assisted Conversion of Lignin. In Production of Biofuels and Chemicals with Microwave; Fang, Z., Smith, R.L., Jr., Qi, X., Eds.; Springer: Dordrecht, The Netherlands, 2015; pp. 61–82. [Google Scholar]
- Qureshi, W.A.; Vivekanandan, B.; Jayaprasath, J.A.; Ali, D.; Alarifi, S.; Deshmukh, K. Antimicrobial Activity and Characterization of Pomegranate Peel-Based Carbon Dots. J. Nanomater. 2021, 2021, 9096838. [Google Scholar] [CrossRef]
- Hiller, B.T.; Schübel, L.; Rennert, M.; Krieg, D.; Nase, M.; Puch, F. Study of Wine Grape Pomaces from Different Vintages Regarding Their Use as Reliable Sustainable Antioxidants in Biobased Poly(Butylene Succinate). J. Polym. Environ. 2025, 33, 963–989. [Google Scholar] [CrossRef]
- Rennert, M.; Hiller, B.T. Influence of Coffee Variety and Processing on the Properties of Parchments as Functional Bioadditives for Biobased Poly(butylene succinate) Composites. Polymers 2023, 15, 2985. [Google Scholar] [CrossRef]
- Sasimowski, E.; Grochowicz, M.; Szajnecki, Ł. Preparation and Spectroscopic, Thermal, and Mechanical Characterization of Biocomposites of Poly(butylene succinate) and Onion Peels or Durum Wheat Bran. Materials 2023, 16, 6799. [Google Scholar] [CrossRef]
- As-syirazi, A.S.; Riantoro, G.; Syahjaya, F.A.; Rahmayetty, R.; Nuryoto, N. Effect of the Addition of Orange Peel Powder on the Physical and Mechanical Properties of Polylactic Acid (PLA)/Cellulose Acetate (CA) Film Composites. J. Rekayasa Kim. Lingkung. 2023, 18, 172–181. [Google Scholar] [CrossRef]
- Raj, S.S.; Kannan, T.K.; Rajasekar, R. Influence of Prosopis Juliflora wood flour in Poly Lactic Acid—Developing a novel Bio-Wood Plastic Composite. Polímeros 2020, 30, e2020012. [Google Scholar] [CrossRef]
- Moreno, G.; Ramirez, K.; Esquivel, M.; Jimenez, G. Galia Moreno Biocomposite Films of Polylactic Acid Reinforced with Microcrystalline Cellulose from Pineapple Leaf Fibers. J. Renew. Mater. 2019, 7, 9–20. [Google Scholar] [CrossRef]
- Hiller, B.T.; Azzi, J.L.; Rennert, M. Improvement of the Thermo-Oxidative Stability of Biobased Poly(butylene succinate) (PBS) Using Biogenic Wine By-Products as Sustainable Functional Fillers. Polymers 2023, 15, 2533. [Google Scholar] [CrossRef]
- Dintcheva, N.T.; D’Anna, F. Anti-/Pro-Oxidant Behavior of Naturally Occurring Molecules in Polymers and Biopolymers: A Brief Review. ACS Sustain. Chem. Eng. 2019, 7, 12656–12670. [Google Scholar] [CrossRef]
- Dintcheva, N.T.; Arrigo, R.; Baiamonte, M.; Rizzarelli, P.; Curcuruto, G. Concentration-dependent anti-/pro-oxidant activity of natural phenolic compounds in bio-polyesters. Polym. Degrad. Stab. 2017, 142, 21–28. [Google Scholar] [CrossRef]
- Sheng, Y.-J.; Jiang, S.; Tsao, H.-K. Effects of geometrical characteristics of surface roughness on droplet wetting. J. Chem. Phys. 2007, 127, 234704. [Google Scholar] [CrossRef]
- Hao, X.; Kaschta, J.; Schubert, D.W. Viscous and elastic properties of polylactide melts filled with silica particles: Effect of particle size and concentration. Compos. Part B Eng. 2016, 89, 44–53. [Google Scholar] [CrossRef]
- Barczewski, M.; Mysiukiewicz, O. Rheological and Processing Properties of Poly(lactic acid) Composites Filled with Ground Chestnut Shell. Polym. Korea 2018, 42, 267–274. [Google Scholar] [CrossRef]
- Andrzejewski, J.; Grad, K.; Wiśniewski, W.; Szulc, J. The Use of Agricultural Waste in the Modification of Poly(lactic acid)-Based Composites Intended for 3D Printing Applications. The Use of Toughened Blend Systems to Improve Mechanical Properties. J. Compos. Sci. 2021, 5, 253. [Google Scholar] [CrossRef]
- Dorgan, J.R.; Williams, J.S.; Lewis, D.N. Melt rheology of poly(lactic acid): Entanglement and chain architecture effects. J. Rheol. 1999, 43, 1141–1155. [Google Scholar] [CrossRef]
- Velghe, I.; Buffel, B.; Vandeginste, V.; Thielemans, W.; Desplentere, F. Review on the Degradation of Poly(lactic acid) during Melt Processing. Polymers 2023, 15, 2047. [Google Scholar] [CrossRef] [PubMed]
- Jiang, N.; Li, Y.; Li, Y.; Yu, T.; Li, Y.; Li, D.; Xu, J.; Wang, C.; Shi, Y. Effect of short jute fibers on the hydrolytic degradation behavior of poly(lactic acid). Polym. Degrad. Stab. 2020, 178, 109214. [Google Scholar] [CrossRef]
- Balli, D.; Khatib, M.; Cecchi, L.; Adessi, A.; Melgarejo, P.; Nunes, C.; Coimbra, M.A.; Mulinacci, N. Pomegranate peel as a promising source of pectic polysaccharides: A multi-methodological analytical investigation. Food Chem. 2022, 397, 133550. [Google Scholar] [CrossRef] [PubMed]
- Valero, L.; Gainche, M.; Esparcieux, C.; Delor-Jestin, F.; Askanian, H. Vegetal Polyphenol Extracts as Antioxidants for the Stabilization of PLA: Toward Fully Biobased Polymer Formulation. ACS Omega 2024, 9, 7725–7736. [Google Scholar] [CrossRef] [PubMed]
- Hiller, B.T.; Wnuk, A.; Krieg, D.; Schübel, L.; Azzi, J.L.; Meins, T.; Nase, M.; Puch, F. Comparison of the stabilization efficiency of a conventional antioxidant, biobased alternatives derived from wine by-products, and their extracts in poly(butylene succinate) (PBS) and poly(lactic acid) (PLA). Polym. Degrad. Stab. 2025, 240, 111515. [Google Scholar] [CrossRef]
- Dynamic Mechanical Analysis Investigations of PLA-Based Renewable Materials: How Are They Useful? Available online: https://www.mdpi.com/1996-1944/13/22/5302 (accessed on 12 December 2025).










| Sample | Tensile Strength (MPa) | Strain at Break (ε) | Young’s Modulus (MPa) |
|---|---|---|---|
| PLA ref | 45.32 ± 5.26 a | 0.03 ± 0.003 a | 3037 ± 214 a |
| PLA 1% PoP | 47.11 ± 3.49 a | 0.02 ± 0.004 b | 3231 ± 366 a |
| PLA 2% PoP | 39.20 ± 2.36 b | 0.02 ± 0.001 c | 3130 ± 355 a |
| PLA 3% PoP | 34.85 ± 2.46 c | 0.02 ± 0.002 c | 2877 ± 172 b |
| PLA 5% PoP | 18.37 ± 1.94 d | 0.01 ± 0.001 d | 2385 ± 310 c |
| Sample | L* | a* | b* | C* | Hue° | Color Difference (ΔE) | Color |
|---|---|---|---|---|---|---|---|
| PLA ref | 98.19 ± 0.13 a | 0.06 ± 0.01 c | 0.36 ± 0.05 d | 0.36 | 81.19 | - | |
| PLA 1% PoP | 94.90 ± 0.22 b | 1.11 ± 0.06 b | 5.38 ± 0.55 c | 5.49 | 78.39 | 6.1 b | |
| PLA 2% PoP | 93.34 ± 031 c | 1.57 ± 0.12 b | 7.76 ± 0.46 b | 7.91 | 78.59 | 9.0 b | |
| PLA 3% PoP | 90.41 ± 0.95 d | 2.58 ± 0.36 a | 12.33 ± 1.43 a | 12.60 | 78.17 | 14.35 a | |
| PLA 5% PoP | 88.55 ± 0.49 e | 2.96 ± 0.30 a | 13.14 ± 1.15 a | 13.47 | 77.31 | 16.30 a |
Disclaimer/Publisher’s Note: The statements, opinions and data contained in all publications are solely those of the individual author(s) and contributor(s) and not of MDPI and/or the editor(s). MDPI and/or the editor(s) disclaim responsibility for any injury to people or property resulting from any ideas, methods, instructions or products referred to in the content. |
© 2026 by the authors. Licensee MDPI, Basel, Switzerland. This article is an open access article distributed under the terms and conditions of the Creative Commons Attribution (CC BY) license.
Share and Cite
Uslu, Ö.F.; Krieg, D.; Hiller, B.T.; Ülkü, Ö.T.; Aral, N. Processing and Characterization of Poly(lactic acid) (PLA) Films Containing Pomegranate Peel Powder. Polymers 2026, 18, 274. https://doi.org/10.3390/polym18020274
Uslu ÖF, Krieg D, Hiller BT, Ülkü ÖT, Aral N. Processing and Characterization of Poly(lactic acid) (PLA) Films Containing Pomegranate Peel Powder. Polymers. 2026; 18(2):274. https://doi.org/10.3390/polym18020274
Chicago/Turabian StyleUslu, Ömer Faruk, David Krieg, Benedikt Theodor Hiller, Özge Taştan Ülkü, and Nebahat Aral. 2026. "Processing and Characterization of Poly(lactic acid) (PLA) Films Containing Pomegranate Peel Powder" Polymers 18, no. 2: 274. https://doi.org/10.3390/polym18020274
APA StyleUslu, Ö. F., Krieg, D., Hiller, B. T., Ülkü, Ö. T., & Aral, N. (2026). Processing and Characterization of Poly(lactic acid) (PLA) Films Containing Pomegranate Peel Powder. Polymers, 18(2), 274. https://doi.org/10.3390/polym18020274

