Efficient Hydrogen Production via Photodehydrogenation of Ammonia Borane Using Embedded CdO/ZnO Nanoparticles in Polyurethane Nanofibers
Abstract
1. Introduction
2. Experimental
2.1. Photocatalyst Preparation
2.2. Photocatalytic NPs Doped PU NFs
2.3. Photohydrolysis H2 Production from AB
2.4. Photocatalyst Characterization
3. Results and Discussion
3.1. Morphological Characterization
3.2. Phase Analysis
3.3. Optical Properties
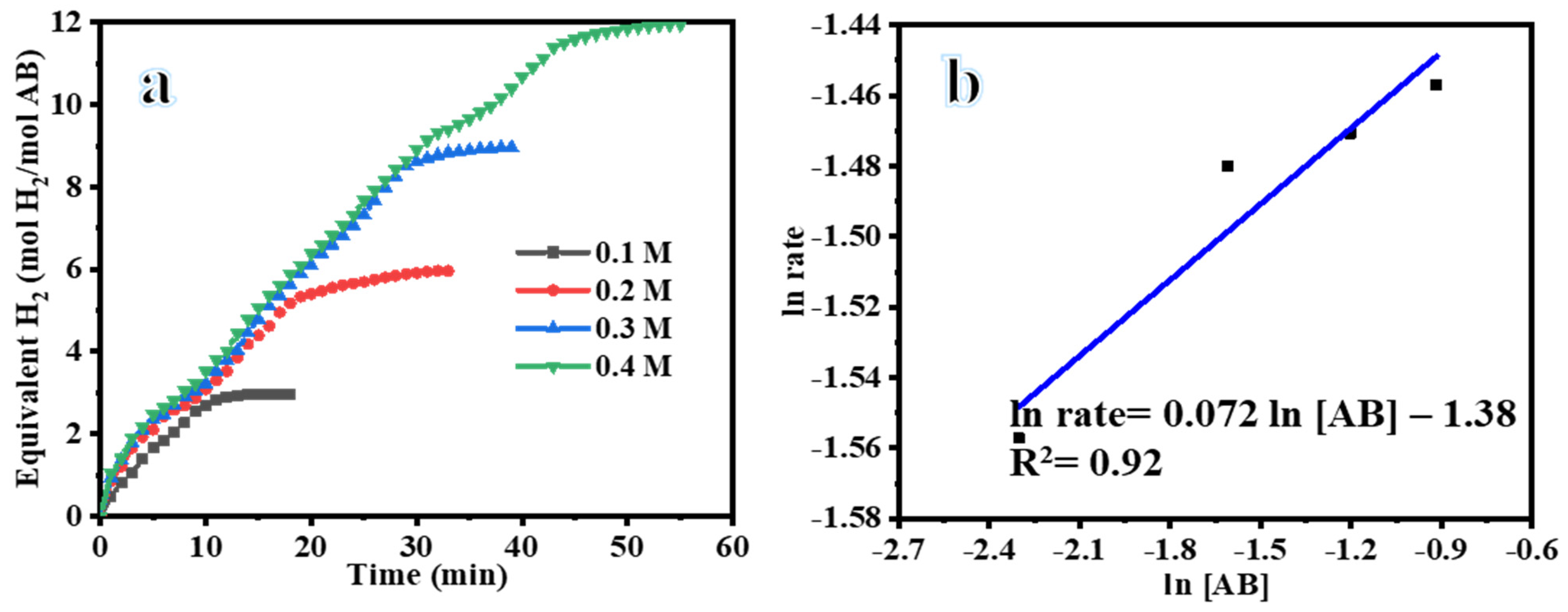
3.4. Photohydrolysis of AB
4. Effect of Light Intensity
5. Reusability Test
6. Conclusions
Author Contributions
Funding
Institutional Review Board Statement
Data Availability Statement
Acknowledgments
Conflicts of Interest
References
- Zohuri, B. Navigating the global energy landscape balancing growth, demand, and sustainability. J. Mater. Sci. Appl. Eng. 2023, 2, 1–7. [Google Scholar]
- Dincer, I. Energy and environmental impacts: Present and future perspectives. Energy Sources 1998, 20, 427–453. [Google Scholar] [CrossRef]
- Laimon, M.; Yusaf, T. Towards energy freedom: Exploring sustainable solutions for energy independence and self-sufficiency using integrated renewable energy-driven hydrogen system. Renew. Energy 2024, 222, 119948. [Google Scholar] [CrossRef]
- Le, T.T.; Sharma, P.; Bora, B.J.; Tran, V.D.; Truong, T.H.; Le, H.C.; Nguyen, P.Q.P. Fueling the future: A comprehensive review of hydrogen energy systems and their challenges. Int. J. Hydrogen Energy 2024, 54, 791–816. [Google Scholar] [CrossRef]
- Jain, R.; Panwar, N.L.; Agarwal, C.; Guta, T. A comprehensive review on unleashing the power of hydrogen: Revolutionizing energy systems for a sustainable future. Environ. Sci. Pollut. Res. 2024, 1–31. [Google Scholar] [CrossRef] [PubMed]
- Qureshi, F.; Yusuf, M.; Ibrahim, H.; Kamyab, H.; Chelliapan, S.; Pham, C.Q.; Vo, D.-V.N. Contemporary avenues of the Hydrogen industry: Opportunities and challenges in the eco-friendly approach. Environ. Res. 2023, 229, 115963. [Google Scholar] [CrossRef] [PubMed]
- Yousef, A.; Barakat, N.A.; Kim, H.Y. Electrospun Cu-doped titania nanofibers for photocatalytic hydrolysis of ammonia borane. Appl. Catal. A Gen. 2013, 467, 98–106. [Google Scholar] [CrossRef]
- Li, X.; Zhang, J.; Liu, J.; Wang, S.; Song, Y.; Zhang, J. Design strategies for shape-controlled nanocatalysts for efficient dehydrogenation of ammonia borane: A review. J. Alloys Compd. 2023, 961, 171001. [Google Scholar] [CrossRef]
- Liu, D.; Zhou, C.; Yang, Z.; Wang, G.; Kong, C.; Liu, B. Recent progress in porous catalysts for dehydrogenation of ammonia borane. Mater. Chem. Front. 2023, 7, 4339–4371. [Google Scholar] [CrossRef]
- Yousef, A.; Barakat, N.A.M.; Khalil, K.A.; Unnithan, A.R.; Panthi, G.; Pant, B.; Kim, H.Y. Photocatalytic release of hydrogen from ammonia borane-complex using Ni(0)-doped TiO2/C electrospun nanofibers. Colloids Surf. A Physicochem. Eng. Asp. 2012, 410, 59–65. [Google Scholar] [CrossRef]
- Simagina, V.I.; Komova, O.V.; Ozerova, A.M.; Netskina, O.V.; Odegova, G.V.; Kayl, N.L.; Filippov, T.N. TiO2-based photocatalysts for controllable hydrogen evolution from ammonia borane. Catal. Today 2021, 379, 149–158. [Google Scholar] [CrossRef]
- Song, J.; Wu, F.; Lu, Y.; Zhang, X.; Li, Z. CeVO4/CeO2 heterostructure-supported Co nanoparticles for photocatalytic H2 production from ammonia borane under visible light. ACS Appl. Nano Mater. 2021, 4, 4800–4809. [Google Scholar] [CrossRef]
- Gao, M.; Yu, Y.; Yang, W.; Li, J.; Xu, S.; Feng, M.; Li, H. Ni nanoparticles supported on graphitic carbon nitride as visible light catalysts for hydrolytic dehydrogenation of ammonia borane. Nanoscale 2019, 11, 3506–3513. [Google Scholar] [CrossRef]
- Etafo, N.O.; Bamidele, M.O.; Bamisaye, A.; Alli, Y.A. Revolutionizing photocatalysis: Unveiling efficient alternatives to titanium (IV) oxide and zinc oxide for comprehensive environmental remediation. J. Water Process Eng. 2024, 62, 105369. [Google Scholar] [CrossRef]
- Bhapkar, A.R.; Bhame, S. A review on ZnO and its modifications for photocatalytic degradation of prominent textile effluents: Synthesis, mechanisms, and future directions. J. Environ. Chem. Eng. 2024, 12, 112553. [Google Scholar] [CrossRef]
- Zheng, A.L.T.; Abdullah, C.A.C.; Chung, E.L.T.; Andou, Y. Recent progress in visible light-doped ZnO photocatalyst for pollution control. Int. J. Environ. Sci. Technol. 2023, 20, 5753–5772. [Google Scholar] [CrossRef]
- Yousef, A.; Barakat, N.A.; Amna, T.; Unnithan, A.R.; Al-Deyab, S.S.; Kim, H.Y. Influence of CdO-doping on the photoluminescence properties of ZnO nanofibers: Effective visible light photocatalyst for waste water treatment. J. Lumin. 2012, 132, 1668–1677. [Google Scholar] [CrossRef]
- Pritha, P.; Kishore, G.; Xavier, S.; Paularokiadoss, F.; Bhakiaraj, D.; Periandy, S.; Bouzid, G.; Ayachi, S. Sunlight-activated dye degradation of ZnO/CdO-decorated graphene oxide and its antibacterial activity. Mater. Chem. Phys. 2024, 326, 129829. [Google Scholar] [CrossRef]
- Saravanan, R.; Gracia, F.; Khan, M.M.; Poornima, V.; Gupta, V.K.; Narayanan, V.; Stephen, A. ZnO/CdO nanocomposites for textile effluent degradation and electrochemical detection. J. Mol. Liq. 2015, 209, 374–380. [Google Scholar] [CrossRef]
- Mosquera, E.; del Pozo, I.; Morel, M. Structure and red shift of optical band gap in CdO–ZnO nanocomposite synthesized by the sol gel method. J. Solid State Chem. 2013, 206, 265–271. [Google Scholar] [CrossRef]
- Kowsari, E.; Abdpour, S. Investigation performance of rod-like ZnO/CdO composites, synthesized in ionic liquid medium as photocatalytic for degradation of air pollutants (SO2 and NOX). Optik 2016, 127, 11567–11576. [Google Scholar] [CrossRef]
- Liu, M.; Zhou, L.; Luo, X.; Wan, C.; Xu, L. Recent advances in noble metal catalysts for hydrogen production from ammonia borane. Catalysts 2020, 10, 788. [Google Scholar] [CrossRef]
- Guan, S.; Liu, Y.; Zhang, H.; Shen, R.; Wen, H.; Kang, N.; Zhou, J.; Liu, B.; Fan, Y.; Jiang, J. Recent advances and perspectives on supported catalysts for heterogeneous hydrogen production from ammonia borane. Adv. Sci. 2023, 10, 2300726. [Google Scholar] [CrossRef]
- Yousef, A.; Barakat, N.A.M.; Al-Deyab, S.S.; Nirmala, R.; Pant, B.; Kim, H.Y. Encapsulation of CdO/ZnO NPs in PU electrospun nanofibers as novel strategy for effective immobilization of the photocatalysts. Colloids Surf. A Physicochem. Eng. Asp. 2012, 401, 8–16. [Google Scholar] [CrossRef]
- Wang, J.; Fan, S.; Xia, Y.; Yang, C.; Komarneni, S. Room-temperature gas sensors based on ZnO nanorod/Au hybrids: Visible-light-modulated dual selectivity to NO2 and NH3. J. Hazard. Mater. 2020, 381, 120919. [Google Scholar] [CrossRef]
- Chastain, J.; King, R.C., Jr. Handbook of X-Ray Photoelectron Spectroscopy; Perkin-Elmer Corporation: Waltham, MA, USA, 1992; Volume 40, p. 221. [Google Scholar]
- Khallaf, H.; Chen, C.-T.; Chang, L.-B.; Lupan, O.; Dutta, A.; Heinrich, H.; Shenouda, A.; Chow, L. Investigation of chemical bath deposition of CdO thin films using three different complexing agents. Appl. Surf. Sci. 2011, 257, 9237–9242. [Google Scholar] [CrossRef]
- Li, C.-H.; Hsu, C.-W.; Lu, S.-Y. TiO2 nanocrystals decorated Z-schemed core-shell CdS-CdO nanorod arrays as high efficiency anodes for photoelectrochemical hydrogen generation. J. Colloid Interface Sci. 2018, 521, 216–225. [Google Scholar] [CrossRef]
- Bai, S.; Sun, X.; Han, N.; Shu, X.; Pan, J.; Guo, H.; Liu, S.; Feng, Y.; Luo, R.; Li, D. rGO modified nanoplate-assembled ZnO/CdO junction for detection of NO2. J. Hazard. Mater. 2020, 394, 121832. [Google Scholar] [CrossRef] [PubMed]
- Bai, S.; Fu, H.; Zhao, Y.; Tian, K.; Luo, R.; Li, D.; Chen, A. On the construction of hollow nanofibers of ZnO-SnO2 heterojunctions to enhance the NO2 sensing properties. Sens. Actuators B Chem. 2018, 266, 692–702. [Google Scholar] [CrossRef]
- Gao, X.; Ma, C.; Ma, W.; Chen, R.; Liu, Y.; Liu, Z.; Zhu, Z.; Huo, P.; Yan, Y. Novel RGO and Concave Cube Cu2O Co-Modified BiVO4 Nanosheets with Enhanced Photocatalytic and Surface Adsorption Performances of Tetracycline. Nano 2019, 14, 1950015. [Google Scholar] [CrossRef]
- Kumar, N.; Srivastava, A. Faster photoresponse, enhanced photosensitivity and photoluminescence in nanocrystalline ZnO films suitably doped by Cd. J. Alloys Compd. 2017, 706, 438–446. [Google Scholar] [CrossRef]
- Bai, L.N.; Zheng, B.J.; Lian, J.S.; Jiang, Q. First-principles calculations of Cd-doped ZnO thin films deposited by pulse laser deposition. Solid State Sci. 2012, 14, 698–704. [Google Scholar] [CrossRef]
- Jacob, A.A.; Balakrishnan, L.; Meher, S.R.; Shambavi, K.; Alex, Z.C. Structural, optical and photodetection characteristics of Cd alloyed ZnO thin film by spin coating. J. Alloys Compd. 2017, 695, 3753–3759. [Google Scholar] [CrossRef]
- Babar, U.D.; Garad, N.M.; Mohite, A.A.; Babar, B.M.; Shelke, H.D.; Kamble, P.D.; Pawar, U.T. Study the photovoltaic performance of pure and Cd-doped ZnO nanoparticles prepared by reflux method. Mater. Today Proc. 2021, 43, 2780–2785. [Google Scholar] [CrossRef]
- Rajput, J.K.; Pathak, T.K.; Kumar, V.; Swart, H.C.; Purohit, L.P. CdO: ZnO nanocomposite thin films for oxygen gas sensing at low temperature. Mater. Sci. Eng. B 2018, 228, 241–248. [Google Scholar] [CrossRef]
- Sui, Y.R.; Wu, Y.J.; Song, Y.P.; Lv, S.Q.; Yao, B.; Meng, X.W.; Xiao, L. A study on structural formation and optical properties of Zn1−xCdxO thin films synthesized by the DC and RF reactive magnetron co-sputtering. J. Alloys Compd. 2016, 678, 383–388. [Google Scholar] [CrossRef]
- Chen, S.; Li, Q.; Ferguson, I.; Lin, T.; Wan, L.; Feng, Z.C.; Zhu, L.; Ye, Z. Spectroscopic ellipsometry studies on ZnCdO thin films with different Cd concentrations grown by pulsed laser deposition. Appl. Surf. Sci. 2017, 421, 383–388. [Google Scholar] [CrossRef]
- Bharath, S.P.; Bangera, K.V.; Shivakumar, G.K. Properties of CdxZn1−xO thin films and their enhanced gas sensing performance. J. Alloys Compd. 2017, 720, 39–46. [Google Scholar] [CrossRef]
- Saravanan, R.; Shankar, H.; Prakash, T.; Narayanan, V.; Stephen, A. ZnO/CdO composite nanorods for photocatalytic degradation of methylene blue under visible light. Mater. Chem. Phys. 2011, 125, 277–280. [Google Scholar] [CrossRef]
- Reddy, C.V.; Babu, B.; Shim, J. Synthesis, optical properties and efficient photocatalytic activity of CdO/ZnO hybrid nanocomposite. J. Phys. Chem. Solids 2018, 112, 20–28. [Google Scholar] [CrossRef]
- Samadi, M.; Pourjavadi, A.; Moshfegh, A.Z. Role of CdO addition on the growth and photocatalytic activity of electrospun ZnO nanofibers: UV vs. visible light. Appl. Surf. Sci. 2014, 298, 147–154. [Google Scholar] [CrossRef]
- Vu, T.T.; Rodil, A.B.; Marbán, G.; Valdés-Solís, T. Nanostructured stainless steel wire mesh-supported CdxZn1−xO: A stable photocatalyst under visible and ultraviolet irradiation. J. Environ. Chem. Eng. 2014, 2, 1612–1620. [Google Scholar] [CrossRef]
- Kumar, P.S.; Selvakumar, M.; Bhagabati, P.; Bharathi, B.; Karuthapandian, S.; Balakumar, S. CdO/ZnO nanohybrids: Facile synthesis and morphologically enhanced photocatalytic performance. RSC Adv. 2014, 4, 32977–32986. [Google Scholar] [CrossRef]
- Yang, L.; Cao, N.; Du, C.; Dai, H.; Hu, K.; Luo, W.; Cheng, G. Graphene supported cobalt(0) nanoparticles for hydrolysis of ammonia borane. Mater. Lett. 2014, 115, 113–116. [Google Scholar] [CrossRef]
- Yang, K.; Yao, Q.; Huang, W.; Chen, X.; Lu, Z.-H. Enhanced catalytic activity of NiM (M = Cr, Mo, W) nanoparticles for hydrogen evolution from ammonia borane and hydrazine borane. Int. J. Hydrogen Energy 2017, 42, 6840–6850. [Google Scholar] [CrossRef]
- Bulut, A.; Yurderi, M.; Ertas, İ.E.; Celebi, M.; Kaya, M.; Zahmakiran, M. Carbon dispersed copper-cobalt alloy nanoparticles: A cost-effective heterogeneous catalyst with exceptional performance in the hydrolytic dehydrogenation of ammonia-borane. Appl. Catal. B Environ. 2016, 180, 121–129. [Google Scholar] [CrossRef]
- Feng, W.; Yang, L.; Cao, N.; Du, C.; Dai, H.; Luo, W.; Cheng, G. In situ facile synthesis of bimetallic CoNi catalyst supported on graphene for hydrolytic dehydrogenation of amine borane. Int. J. Hydrogen Energy 2014, 39, 3371–3380. [Google Scholar] [CrossRef]
- Du, Y.; Cao, N.; Yang, L.; Luo, W.; Cheng, G. One-step synthesis of magnetically recyclable rGO supported Cu@ Co core–shell nanoparticles: Highly efficient catalysts for hydrolytic dehydrogenation of ammonia borane and methylamine borane. New J. Chem. 2013, 37, 3035–3042. [Google Scholar] [CrossRef]
- Song, F.Z.; Zhu, Q.L.; Yang, X.C.; Xu, Q. Monodispersed CuCo nanoparticles supported on diamine-functionalized graphene as a non-noble metal catalyst for hydrolytic dehydrogenation of ammonia borane. ChemNanoMat 2016, 2, 942–945. [Google Scholar] [CrossRef]
- Zhao, B.; Liu, J.; Zhou, L.; Long, D.; Feng, K.; Sun, X.; Zhong, J. Probing the electronic structure of M-graphene oxide (M = Ni, Co, NiCo) catalysts for hydrolytic dehydrogenation of ammonia borane. Appl. Surf. Sci. 2016, 362, 79–85. [Google Scholar] [CrossRef]
- Zhang, J.; Chen, C.; Yan, W.; Duan, F.; Zhang, B.; Gao, Z.; Qin, Y. Ni nanoparticles supported on CNTs with excellent activity produced by atomic layer deposition for hydrogen generation from the hydrolysis of ammonia borane. Catal. Sci. Technol. 2016, 6, 2112–2119. [Google Scholar] [CrossRef]
- Zhao, G.; Zhong, J.; Wang, J.; Sham, T.-K.; Sun, X.; Lee, S.-T. Revealing the synergetic effects in Ni nanoparticle-carbon nanotube hybrids by scanning transmission X-ray microscopy and their application in the hydrolysis of ammonia borane. Nanoscale 2015, 7, 9715–9722. [Google Scholar] [CrossRef]
- Chen, Y.-W.; Hsu, Y.-H. Effects of reaction temperature on the photocatalytic activity of TiO2 with Pd and Cu cocatalysts. Catalysts 2021, 11, 966. [Google Scholar] [CrossRef]
- Meng, Y.; Xia, S.; Pan, G.; Xue, J.; Jiang, J.; Ni, Z. Preparation and photocatalytic activity of composite metal oxides derived from Salen-Cu (II) intercalated layered double hydroxides. Korean J. Chem. Eng. 2017, 34, 2331–2341. [Google Scholar] [CrossRef]
- Ojstršek, A.; Kleinschek, K.S.; Fakin, D. Characterization of nano-sized TiO2 suspensions for functional modification of polyester fabric. Surf. Coat. Technol. 2013, 226, 68–74. [Google Scholar] [CrossRef]
- Wei, L.; Yang, Y.; Yu, Y.-N.; Wang, X.; Liu, H.; Lu, Y.; Ma, M.; Chen, Y. Visible-light-enhanced catalytic hydrolysis of ammonia borane using RuP2 quantum dots supported by graphitic carbon nitride. Int. J. Hydrogen Energy 2021, 46, 3811–3820. [Google Scholar] [CrossRef]
- Wen, M.; Kuwahara, Y.; Mori, K.; Zhang, D.; Li, H.; Yamashita, H. Synthesis of Ce ions doped metal–organic framework for promoting catalytic H2 production from ammonia borane under visible light irradiation. J. Mater. Chem. A 2015, 3, 14134–14141. [Google Scholar] [CrossRef]













| Sample | Fabrication Method | Bandgap (eV) | Reference |
|---|---|---|---|
| 1 | Sol-gel method | 3.20 | [32] |
| 2 | Pulsed laser deposition | 2.4 | [33] |
| 3 | Sol-gel spin coating | 2.66 | [34] |
| 4 | Reflux method | 3.18 | [35] |
| 5 | Sol-gel spin coating | 2.4 | [36] |
| 6 | High-frequency reactive magnetron | 2.82 | [37] |
| 7 | Pulsed laser deposition | 2.97 | [38] |
| 8 | Spray pyrolysis method | 2.82 | [39] |
| 9 | Thermal decomposition | 2.75 | [19] |
| 10 | Vapor-to-solid mechanism | 2.99 | [40] |
| 11 | Co-precipitation technique | 2.97 | [41] |
| 12 | Electrospinning | 2.62 | [42] |
| 13 | Sacrificial template accelerated hydrolysis | 2.81 | [43] |
| 14 | Wet chemical method | 3.2 | [44] |
| 15 | Electrospinning | 2.33 | This study |
| Catalyst | TOF (min–1) | Reference |
|---|---|---|
| Co(0)@graphene | 13.80 | [45] |
| NiMo | 27.30 | [46] |
| CuCo@carbon | 45 | [47] |
| Bimetallic CoNi@graphene | 16.40 | [48] |
| Cu@Co@reduced graphene | 8.36 | [49] |
| CuCo NPs@functionalized graphene | 15.46 | [50] |
| NiCo@graphene oxide | 6.78 | [51] |
| Ni NPs supported on carbon nanotube | 26.20 | [52] |
| Ni NPs-carbon nanotube hybrid | 23.50 | [53] |
| CdO-doped ZnO@PU | 31.2 | This study |
Disclaimer/Publisher’s Note: The statements, opinions and data contained in all publications are solely those of the individual author(s) and contributor(s) and not of MDPI and/or the editor(s). MDPI and/or the editor(s) disclaim responsibility for any injury to people or property resulting from any ideas, methods, instructions or products referred to in the content. |
© 2025 by the authors. Licensee MDPI, Basel, Switzerland. This article is an open access article distributed under the terms and conditions of the Creative Commons Attribution (CC BY) license (https://creativecommons.org/licenses/by/4.0/).
Share and Cite
Qudsieh, I.Y.; Maafa, I.M.; Yousef, A.; Abutaleb, A.; Matar, S.M.; El-Halwany, M.M. Efficient Hydrogen Production via Photodehydrogenation of Ammonia Borane Using Embedded CdO/ZnO Nanoparticles in Polyurethane Nanofibers. Polymers 2025, 17, 443. https://doi.org/10.3390/polym17040443
Qudsieh IY, Maafa IM, Yousef A, Abutaleb A, Matar SM, El-Halwany MM. Efficient Hydrogen Production via Photodehydrogenation of Ammonia Borane Using Embedded CdO/ZnO Nanoparticles in Polyurethane Nanofibers. Polymers. 2025; 17(4):443. https://doi.org/10.3390/polym17040443
Chicago/Turabian StyleQudsieh, Isam Y., Ibrahim M. Maafa, Ayman Yousef, Ahmed Abutaleb, Saleh M. Matar, and M. M. El-Halwany. 2025. "Efficient Hydrogen Production via Photodehydrogenation of Ammonia Borane Using Embedded CdO/ZnO Nanoparticles in Polyurethane Nanofibers" Polymers 17, no. 4: 443. https://doi.org/10.3390/polym17040443
APA StyleQudsieh, I. Y., Maafa, I. M., Yousef, A., Abutaleb, A., Matar, S. M., & El-Halwany, M. M. (2025). Efficient Hydrogen Production via Photodehydrogenation of Ammonia Borane Using Embedded CdO/ZnO Nanoparticles in Polyurethane Nanofibers. Polymers, 17(4), 443. https://doi.org/10.3390/polym17040443

