Geotechnical Behavior of Xanthan Gum-Stabilized Clay Reinforced with Polypropylene Fibers
Abstract
1. Introduction
2. Materials and Methods
2.1. Materials
2.2. Methodology
2.2.1. Specimen Molding and Preparation
2.2.2. Program of Ultrasonic Pulse Velocity Test and UCS Test
2.2.3. Microstructural Analysis
2.2.4. Application of the Porosity-Binder Index
3. Results and Discussion
3.1. Influence of XG Content, Dry Unit Weight and Curing Time on the Strength and Stiffnes of a Stabilized Clayey Soil
3.2. Influence of XG Content, Dry Unit Weight, Curing Time, and PPF on the Strength and Stiffnes of a Stabilized Clayey Soil
3.3. Application of the Porosity/Binder Index to Predict the Strength and Stiffnes of Compacted Blends
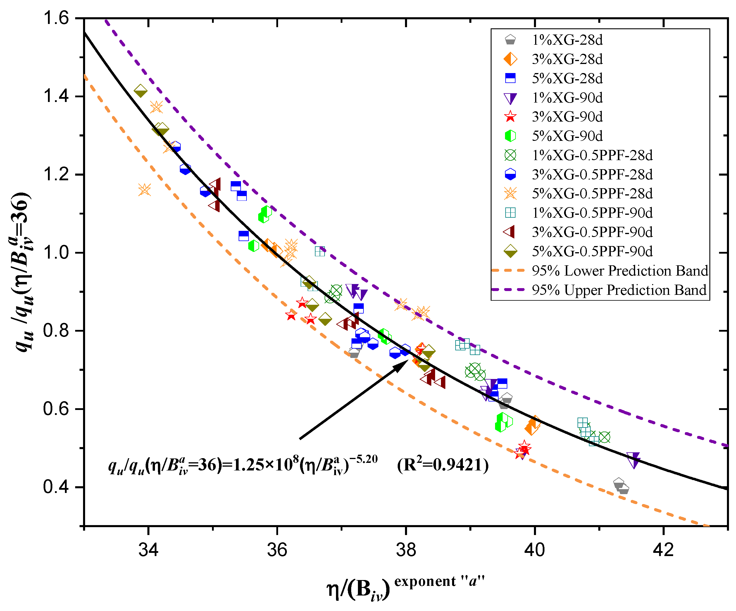
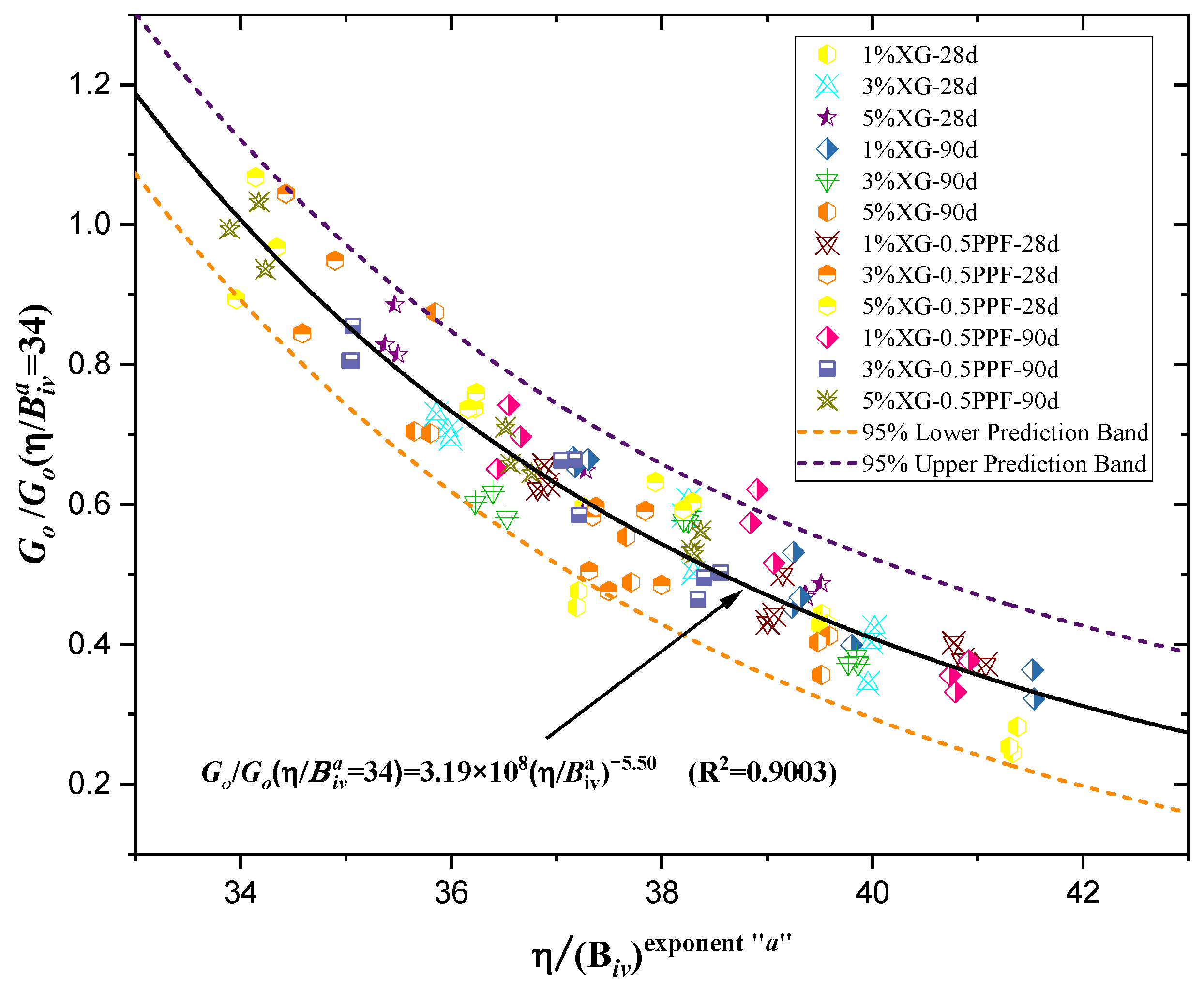
3.4. Normalization of Equations for the Strength and Stiffness of Compacted Blends
3.5. Microstructure and Microanalysis of Soil Mixtures
4. Conclusions
- XG is effective for soil stabilization due to its ability to improve cohesion and moisture retention in treated soils. However, its limited availability and relatively high cost make its use at lower percentages a more sustainable alternative. The combination with PPF presents itself as an alternative, providing adequate strength and stiffness while optimizing resources and costs.
- The results show that extending the curing time from 28 to 90 days increases strength by up to 37%, while raising the dry density from 1.65 to 1.76 g/cm3 improves this property by up to 87%. Additionally, the impact of fiber usage is highly significant; regarding strength , the minimum and maximum percentage increases observed between samples without fibers and those with fibers were 14.70% and 53.93%, respectively. For stiffness (), the minimum and maximum percentage increases were 7.06% and 63.55%, respectively. These factors are crucial for achieving optimal mechanical performance of the soil.
- The porosity/binder index , accurately models the mechanical behavior of soils stabilized with XG, even with the addition of fibers, achieving equations with reliability coefficients R2 above 0.9 for strength and over 0.8 for stiffness .
- The normalization of two equations, one for and another for , enabled the derivation of expressions that adapt to all conditions and variations in the XG and PPF percentages used in the samples. These generated determination coefficients (R2) of 0.9421 for UCS and 0.9003 for stiffness.
- In the microstructure of the soil mixture incorporating XG and PPF, a denser matrix with reduced porosity was observed due to hydrogel formation. This facilitated a more compact interface, where the fibers acted as reinforcement material, effectively distributing internal stresses and preventing brittle failures.
Author Contributions
Funding
Institutional Review Board Statement
Informed Consent Statement
Data Availability Statement
Acknowledgments
Conflicts of Interest
References
- Bagheri, P.; Gratchev, I.; Rybachuk, M. Effects of Xanthan Gum Biopolymer on Soil Mechanical Properties. Appl. Sci. 2023, 13, 887. [Google Scholar] [CrossRef]
- Singh, S.P.; Das, R. Geo-engineering properties of expansive soil treated with xanthan gum biopolymer. Geomech. Geoengin. 2020, 15, 107–122. [Google Scholar] [CrossRef]
- Chang, I.; Lee, M.; Cho, G.-C. Global CO2 Emission-Related Geotechnical Engineering Hazards and the Mission for Sustainable Geotechnical Engineering. Energies 2019, 12, 2567. [Google Scholar] [CrossRef]
- Etim, R.; Eberemu, A.; Osinubi, K. Stabilization of black cotton soil with lime and iron ore tailings admixture. Transp. Geotech. 2017, 10, 85–95. [Google Scholar] [CrossRef]
- Rahgozar, M.A.; Saberian, M.; Li, J. Soil stabilization with non-conventional eco-friendly agricultural waste materials: An experimental study. Transp. Geotech. 2018, 14, 52–60. [Google Scholar] [CrossRef]
- Afshar, A.; Jahandari, S.; Rasekh, H.; Shariati, M.; Afshar, A.; Shokrgozar, A. Corrosion resistance evaluation of rebars with various primers and coatings in concrete modified with different additives. Constr. Build. Mater. 2020, 262, 120034. [Google Scholar] [CrossRef]
- Andrew, R.M. Global CO 2 emissions from cement production. Earth Syst. Sci. Data 2018, 10, 195–217. [Google Scholar] [CrossRef]
- Khayat, N.; Nasiri, H. Study of Strength Characteristics and Micro-structure Analysis of Soil Stabilized with Wastewater and Polymer. Int. J. Pavement Res. Technol. 2024, 17, 1213–1224. [Google Scholar] [CrossRef]
- Acharya, R.; Pedarla, A.; Bheemasetti, T.V.; Puppala, A.J. Assessment of Guar Gum Biopolymer Treatment toward Mitigation of Desiccation Cracking on Slopes Built with Expansive Soils. Transp. Res. Rec. 2017, 2657, 78–88. [Google Scholar] [CrossRef]
- Uwasu, M.; Hara, K.; Yabar, H. World Cement Production and Environmental Implications. Environ. Dev. 2015, 10, 36–47. [Google Scholar] [CrossRef]
- Chang, I.; Im, J.; Cho, G.-C. Introduction of Microbial Biopolymers in Soil Treatment for Future Environmentally-Friendly and Sustainable Geotechnical Engineering. Sustainability 2016, 8, 251. [Google Scholar] [CrossRef]
- Reddy, N.G.; Rao, B.H.; Reddy, K.R. Biopolymer amendment for mitigating dispersive characteristics of red mud waste. Géotech. Lett. 2018, 8, 201–207. [Google Scholar] [CrossRef]
- Moghal, A.A.B.; Vydehi, K.V. State-of-the-art review on efficacy of xanthan gum and guar gum inclusion on the engineering behavior of soils. Innov. Infrastruct. Solut. 2021, 6, 108. [Google Scholar] [CrossRef]
- Liu, J.; Shi, B.; Jiang, H.; Huang, H.; Wang, G.; Kamai, T. Research on the stabilization treatment of clay slope topsoil by organic polymer soil stabilizer. Ing. Geol. 2011, 117, 114–120. [Google Scholar] [CrossRef]
- Rajabi, A.M.; Hosseini, A. Effect of Liquid Polyvinyl Acetate and Micronized Calcium Carbonate on Strength Parameters of Silty Sand Soil. Iran. J. Sci. Technol. Trans. Civ. Eng. 2022, 46, 385–395. [Google Scholar] [CrossRef]
- Li, J.-D.; Wang, X.; Zhang, Y.-J.; Jiang, D.-J.; Liu, D.-R.; Wang, J.-L. Study on strength characteristics and mechanism of loess stabilized by F1 ionic soil stabilizer. Arab. J. Geosci. 2021, 14, 1162. [Google Scholar] [CrossRef]
- Wattez, T.; Patapy, C.; Frouin, L.; Waligora, J.; Cyr, M. Interactions between alkali-activated ground granulated blastfurnace slag and organic matter in soil stabilization/solidification. Transp. Geotech. 2021, 26, 100412. [Google Scholar] [CrossRef]
- Mirzababaei, M.; Arulrajah, A.; Horpibulsuk, S.; Soltani, A.; Khayat, N. Stabilization of soft clay using short fibers and poly vinyl alcohol. Geotext. Geomembr. 2018, 46, 646–655. [Google Scholar] [CrossRef]
- Murphy, E.; Ginn, T. Modeling microbial processes in porous media. Hydrogeol. J. 2000, 8, 142–158. [Google Scholar] [CrossRef]
- Arun, L.; Sujatha, E.R.; Baldovino, J.A.; Nuñez de la Rosa, Y.E. Microcrystalline Cellulose—A Green Alternative to Conventional Soil Stabilizers. Polymers 2024, 16, 2043. [Google Scholar] [CrossRef]
- Ghasemzadeh, H.; Farzaneh, M. Application of novel Persian gum hydrocolloid in soil stabilization. Carbohydr. Polym. 2020, 246, 116639. [Google Scholar] [CrossRef] [PubMed]
- Vishweshwaran, M.; Sujatha, E.R.; Baldovino, J.A. Freeze-Dried β-Glucan and Poly-γ-glutamic Acid: An Efficient Stabilizer to Strengthen Subgrades of Low Compressible Fine-Grained Soils with Varying Curing Periods. Polymers 2024, 16, 1586. [Google Scholar] [CrossRef]
- Babatunde, Q.O.; Byun, Y.-H. Soil Stabilization Using Zein Biopolymer. Sustainability 2023, 15, 2075. [Google Scholar] [CrossRef]
- Mendonça, A.; Morais, P.V.; Pires, A.C.; Chung, A.P.; Oliveira, P.V. A Review on the Importance of Microbial Biopolymers Such as Xanthan Gum to Improve Soil Properties. Appl. Sci. 2021, 11, 170. [Google Scholar] [CrossRef]
- Lee, S.; Chang, I.; Chung, M.-K.; Kim, Y.; Kee, J. Geotechnical shear behavior of Xanthan Gum biopolymer treated sand from direct shear testing. Geomech. Eng. 2017, 12, 831–847. [Google Scholar] [CrossRef]
- Lee, S.; Chung, M.; Park, H.M.; Song, K.I.; Chang, I. Xanthan gum biopolymer as soil-stabilization binder for road construction using local soil in Sri Lanka. J. Mater. Civ. Eng. 2019, 31, 06019012. [Google Scholar] [CrossRef]
- Chang, I.; Im, J.; Prasidhi, A.K.; Cho, G.C. Effects of Xanthan gum biopolymer on soil strengthening. Constr. Build. Mater. 2015, 74, 65–72. [Google Scholar] [CrossRef]
- Zhang, L.; Li, Y.; Wei, X.; Liang, X.; Zhang, J.; Li, X. Unconfined Compressive Strength of Cement-Stabilized Qiantang River Silty Clay. Materials 2024, 17, 1082. [Google Scholar] [CrossRef]
- Sulaiman, H.; Taha, M.R.; Abd Rahman, N.; Mohd Taib, A. Performance of Soil Stabilized with Biopolymer Materials—Xanthan Gum and Guar Gum. Phys. Chem. Earth Parts A/B/C 2022, 128, 103276. [Google Scholar] [CrossRef]
- Chen, C.; Wu, L.; Perdjon, M.; Huang, X.; Peng, Y. The drying effect on xanthan gum biopolymer treated sandy soil shear strength. Constr. Build. Mater. 2019, 197, 271–279. [Google Scholar] [CrossRef]
- Baldovino, J.d.J.A.; Palma Calabokis, O.; Saba, M. From Bibliometric Analysis to Experimental Validation: Bibliometric and Literature Review of Four Cementing Agents in Soil Stabilization with Experimental Focus on Xanthan Gum. Sustainability 2024, 16, 5363. [Google Scholar] [CrossRef]
- Tang, C.; Shi, B.; Gao, W.; Chen, F.; Cai, Y. Strength and mechanical behavior of short polypropylene fiber reinforced and cement stabilized clayey soil. Geotext. Geomembr. 2007, 25, 194–202. [Google Scholar] [CrossRef]
- Khalid, K.W.A.A.K.; Abd Al-Kaream, W.; Fattah, M.Y.; Hameedi, M.K.H.M.K. Compressibility and strength development of soft soil by polypropylene fiber. Geomate J. 2022, 22, 91–97. [Google Scholar]
- Consoli, N.C.; da Silva Lopes, L., Jr.; Heineck, K.S. Key Parameters for the Strength Control of Lime Stabilized Soils. J. Mater. Civ. Eng. 2009, 21, 210–216. [Google Scholar] [CrossRef]
- Missoum Benziane, M.; Della, N.; Bedr, S.; Flitti, A.; Kaddour Djebbar, M.; Baizid, M. Mechanical behavior of bio-cemented silty sand. Arab. J. Geosci. 2022, 15, 577. [Google Scholar] [CrossRef]
- Chang, I.; Kwon, Y.M.; Im, J.; Cho, G.C. Soil consistency and interparticle characteristics of xanthan gum biopolymer–containing soils with pore-fluid variation. Can. Geotech. J. 2019, 56, 1206–1213. [Google Scholar] [CrossRef]
- Barani, O.R.; Barfar, P. Effect of xanthan gum biopolymer on fracture properties of clay. J. Mater. Civ. Eng. 2021, 33, 04020426. [Google Scholar] [CrossRef]
- Acuña, C.; Betancur, J.; Baldovino, J.A.; Barboza, G.; Saba, M. Analysis of Dispersivity in Marine Clays of Cartagena de Indias, Colombia. Geosciences 2023, 13, 162. [Google Scholar] [CrossRef]
- Román Martínez, C.; Nuñez de la Rosa, Y.E.; Estrada Luna, D.; Baldovino, J.A.; Jordi Bruschi, G. Strength, Stiffness, and Microstructure of Stabilized Marine Clay-Crushed Limestone Waste Blends: Insight on Characterization through Porosity-to-Cement Index. Materials 2023, 16, 4983. [Google Scholar] [CrossRef]
- ASTM D2487-11; Standard Practice for Classification of Soils for Engineering Purposes (Unified Soil Classification System). ASTM Stand. Guide. ASTM International: West Conshohocken, PA, USA, 2017; p. 11.
- ASTM D854; Standard Test Methods for Specific Gravity of Soil Solids by Water Pycnometer. ASTM International: West Conshohocken, PA, USA, 2014.
- ASTM 4318; Standard Test Methods for Liquid Limit, Plastic Limit and Plasticity Index of Soils. ASTM International: West Conshohocken, PA, USA, 2010.
- ASTM D2487; Standard Practice for Classification of Soils for Engineering Purposes (Unified Soil Classification System). ASTM International: West Conshohocken, PA, USA, 2011; pp. 1–16.
- Skempton, A.W. The Colloidal “Activity” of Clays. In Proceedings of the 3rd International Conference on Soil Mechanics, Zurich, Switzerland, 16–27 August 1953; Volume 1, pp. 57–61. [Google Scholar]
- ASTM D1557-12; Standard Test Methods for Laboratory Compaction Characteristics of Soil Using Modified Effort (56,000 ft-lbf/ft3 or 2,700 kN-m/m3). ASTM International: West Conshohocken, PA, USA, 2012.
- Ni, J.; Li, S.S.; Ma, L.; Geng, X.Y. Performance of soils enhanced with eco-friendly biopolymers in unconfined compression strength tests and fatigue loading tests. Constr. Build. Mater. 2020, 263, 120039. [Google Scholar] [CrossRef]
- Fateh, S.; Mansourkiaei, Y.; Shalchian, M.M.; Arabani, M.; Payan, M.; Ranjbar, P.Z. A Comparison of Temperature and Freeze-Thaw Effects on High-swelling and Low-swelling Soils Stabilized with Xanthan Gum. Results Eng. 2024, 25, 103719. [Google Scholar] [CrossRef]
- ASTM D1631; Standard Practice for Making and Curing Soil-Cement Compression and Flexure Test Specimens in the Laboratory. ASTM International: West Conshohocken, PA, USA, 2007.
- Baldovino, J.A.; Moreira, E.B.; Teixeira, W.; Izzo, R.L.; Rose, J.L. Effects of lime addition on geotechnical properties of sedimentary soil in Curitiba, Brazil. J. Rock Mech. Geotech. Eng. 2018, 10, 188–194. [Google Scholar] [CrossRef]
- Vergara, J.A.A.; López, L.C.S.; de la Rosa, Y.E.N.; Calabokis, O.P.; Baldovino, J.d.J.A. Analysis of Porosity–Water/Binder Index for Prediction of Strength and Stiffness of Cemented Sands: A Comparative Study. Materials 2025, 18, 268. [Google Scholar] [CrossRef]
- Baldovino, J.A.; Nuñez de la Rosa, Y.E.; Namdar, A. Sustainable Cement Stabilization of Plastic Clay Using Ground Municipal Solid Waste: Enhancing Soil Properties for Geotechnical Applications. Sustainability 2024, 16, 5195. [Google Scholar] [CrossRef]
- ASTM C597-22; Standard Test Method for Ultrasonic Pulse Velocity Through Concrete. ASTM International: West Conshohocken, PA, USA, 2022; pp. 1–4.
- ASTM D 2166-03; Standard Test Method for Unconfined Compressive Strength of Cohesive Soil 1. ASTM International: West Conshohocken, PA, USA, 2003; p. 4.
- Consoli, N.C.; Foppa, D.; Festugato, L.; Heineck, K.S. Key Parameters for Strength Control of Artificially Cemented Soils. J. Geotech. Geoenviron. Eng. 2007, 133, 197–205. [Google Scholar] [CrossRef]
- López, L.C.S.; Vergara, J.A.A.; de la Rosa, Y.E.N.; Arrieta, A.; Baldovino, J.d.J.A. Effect of Grain Size and Porosity/Binder Index on the Unconfined Compressive Strength, Stiffness and Microstructure of Cemented Colombian Sands. Materials 2024, 17, 5193. [Google Scholar] [CrossRef]
- Muñoz, Y.O.; Villota-Mora, A.J.E.; Brandão, D.L.; Orioli, M.A.; Britto, T.S.S.; Baldovino, J.A.; Izzo, R.L.d.S. Enhancing Soil–Cement Properties Using Glass Polishing Waste: Impact of Porosity and Binder Indices. Geotech. Geol. Eng. 2025, 43, 100. [Google Scholar] [CrossRef]
- Baldovino, J.J.; Izzo, R.L.; Rose, J.L.; Domingos, M.D. Strength, durability, and microstructure of geopolymers based on recycled-glass powder waste and dolomitic lime for soil stabilization. Constr. Build. Mater. 2021, 271, 121874. [Google Scholar] [CrossRef]
- Diambra, A.; Festugato, L.; Ibraim, E.; da Silva, A.P.; Consoli, N.C. Modelling tensile/compressive strength ratio of artificially cemented clean sand. Soils Found. 2018, 58, 199–211. [Google Scholar] [CrossRef]
- Scheuermann Filho, H.C.; Dias Miguel, G.; Cesar Consoli, N. Porosity/cement index over a wide range of porosities and cement contents. J. Mater. Civ. Eng. 2022, 34, 06021011. [Google Scholar] [CrossRef]
- Bozyigit, I.; Javadi, A.; Altun, S. Strength properties of xanthan gum and guar gum treated kaolin at different water contents. J. Rock Mech. Geotech. Eng. 2021, 13, 1160–1172. [Google Scholar] [CrossRef]
- Weng, Z.; Wang, L.; Liu, Q.; Pan, X.; Xu, Y.; Li, J. Improving the unconfined compressive strength of red clay by combining biopolymers with fibers. J. Renew. Mater. 2021, 9, 1503–1517. [Google Scholar] [CrossRef]
- Elseifi, M.; Dhakal, N. Lime Utilization in the Laboratory, Field, and Design of Pavement Layers (No. FHWA/LA. 16/575); Louisiana State University. Department of Civil and Environmental Engineering: Baton Rouge, LA, USA, 2017. [Google Scholar]
- Pydi, R.; Yadu, L.; Chouksey, S.K. Evaluation of Xanthan and Guar Gum for Stabilising Soil in Terms of Strength Parameters-A Review. Indian Geotech. J. 2024, 54, 1621–1643. [Google Scholar] [CrossRef]
- Yang, L.; An, L.; Yan, K.; Du, G. Cumulative Strain and Improvement Mechanisms of Soil Reinforced by Xanthan Gum Biopolymer Under Traffic Loading. Polymers 2024, 16, 3500. [Google Scholar] [CrossRef] [PubMed]
- Lang, L.; Li, J.; Chen, X.; Han, L.; Wang, P. Tensile strength behavior of cement-stabilized dredged sediment reinforced by polypropylene fiber. Front. Struct. Civ. Eng. 2024, 18, 380–392. [Google Scholar] [CrossRef]
















| Materials | SiO2 | Al2O3 | SO3 | K2O | CaO | Fe2O3 | TiO2 | LOI |
|---|---|---|---|---|---|---|---|---|
| Soil (CL) | 66 | 21.1 | 4 | 3.1 | 3 | 0.9 | 0.3 | 1.6 |
| Property of Soil | Standard/Reference | Unit | Value |
|---|---|---|---|
| The specific gravity | [41] | - | 2.8 |
| Plasticity limit, P.L. | [42] | % | 26.05 |
| Plastic index, P.I. | [42] | % | 15.95 |
| Fine Sand (0.075–0.425 mm) | [40,43] | % | 12 |
| Silt (0.002–0.075 mm) | [40,43] | % | 78 |
| Clay (<0.002 mm) | [40,43] | % | 10 |
| Mean Diameter (d50) | [40,43] | mm | 0.011 |
| Effective Diameter (d10) | [40,43] | mm | 0.0021 |
| Uniformity Coefficient Cu | [40,43] | - | 7.14 |
| Coefficient of Curvature Cc | [40,43] | - | 0.96 |
| Activity of Clay, A [A = PI/(% < 0.002 mm)] | [44] | - | 1.60 |
| USCS Classification | [40] | - | CL |
| Optimum Moisture Content | [45] | % | 18.20 |
| Maximum Dry Unit Weight | [45] | g/cm3 | 1.76 |
| Mix | Weight (%) | Curing Times (d) | Molding γd (g/cm3) | Number of Specimens | ||
|---|---|---|---|---|---|---|
| Soil | XG | PPF | ||||
| Soil–XG | 100 | 1 | - | 28, 90 | 1.65, 1.70, 1.76 | 18 |
| 100 | 3 | - | 28, 90 | 1.65, 1.70, 1.76 | 18 | |
| 100 | 5 | - | 28, 90 | 1.65, 1.70, 1.76 | 18 | |
| Soil–XG–PPF | 100 | 1 | 0.5 | 28, 90 | 1.65, 1.70, 1.76 | 18 |
| 100 | 3 | 0.5 | 28, 90 | 1.65, 1.70, 1.76 | 18 | |
| 100 | 5 | 0.5 | 28, 90 | 1.65, 1.70, 1.76 | 18 | |
| Type of Mix | Compressive Strength Equation | Coefficient R2 |
|---|---|---|
| Soil–XG 28d | ||
| Soil–XG 90d | ||
| Soil–XG–PPF 28d | ||
| Soil–XG–PPF 90d |
| Type of Mix | Stiffness Equation | Coefficient R2 |
| Soil–XG 28d | ||
| Soil–XG 90d | ||
| Soil–XG–PPF 28d | ||
| Soil–XG–PPF 90d |
| Mix | For Normalization | |||
|---|---|---|---|---|
| Soil–XG 28d | 767.94 | 2029.64 | ||
| Soil–XG 90d | 1099.88 | 2882.24 | ||
| Soil–XG–PPF 28d | 874.79 | 2251.18 | ||
| Soil–XG–PPF 90d | 1201.24 | 3145.23 | ||
Disclaimer/Publisher’s Note: The statements, opinions and data contained in all publications are solely those of the individual author(s) and contributor(s) and not of MDPI and/or the editor(s). MDPI and/or the editor(s) disclaim responsibility for any injury to people or property resulting from any ideas, methods, instructions or products referred to in the content. |
© 2025 by the authors. Licensee MDPI, Basel, Switzerland. This article is an open access article distributed under the terms and conditions of the Creative Commons Attribution (CC BY) license (https://creativecommons.org/licenses/by/4.0/).
Share and Cite
Baldovino, J.d.J.A.; de la Rosa, Y.E.N.; Calabokis, O.P.; Vergara, J.A.A.; López, L.C.S. Geotechnical Behavior of Xanthan Gum-Stabilized Clay Reinforced with Polypropylene Fibers. Polymers 2025, 17, 363. https://doi.org/10.3390/polym17030363
Baldovino JdJA, de la Rosa YEN, Calabokis OP, Vergara JAA, López LCS. Geotechnical Behavior of Xanthan Gum-Stabilized Clay Reinforced with Polypropylene Fibers. Polymers. 2025; 17(3):363. https://doi.org/10.3390/polym17030363
Chicago/Turabian StyleBaldovino, Jair de Jesús Arrieta, Yamid E. Nuñez de la Rosa, Oriana Palma Calabokis, Jesús Alberto Alcalá Vergara, and Luis Carlos Suárez López. 2025. "Geotechnical Behavior of Xanthan Gum-Stabilized Clay Reinforced with Polypropylene Fibers" Polymers 17, no. 3: 363. https://doi.org/10.3390/polym17030363
APA StyleBaldovino, J. d. J. A., de la Rosa, Y. E. N., Calabokis, O. P., Vergara, J. A. A., & López, L. C. S. (2025). Geotechnical Behavior of Xanthan Gum-Stabilized Clay Reinforced with Polypropylene Fibers. Polymers, 17(3), 363. https://doi.org/10.3390/polym17030363

