Methanol-Assisted CO2 Fixation by Hydroxyl-Containing Amidine Leading to Polymeric Ionic Liquid and Cross-Linked Network Formation
Abstract
1. Introduction
2. Materials and Methods
2.1. Chemicals
2.2. Synthesis
2.2.1. Preparation of Amidine (1a–b) with/Without Methanol Removal
2.2.2. Conversion of Amidine into Polymeric Ionic Liquids (PILs)
2.2.3. Viscosity Measurements
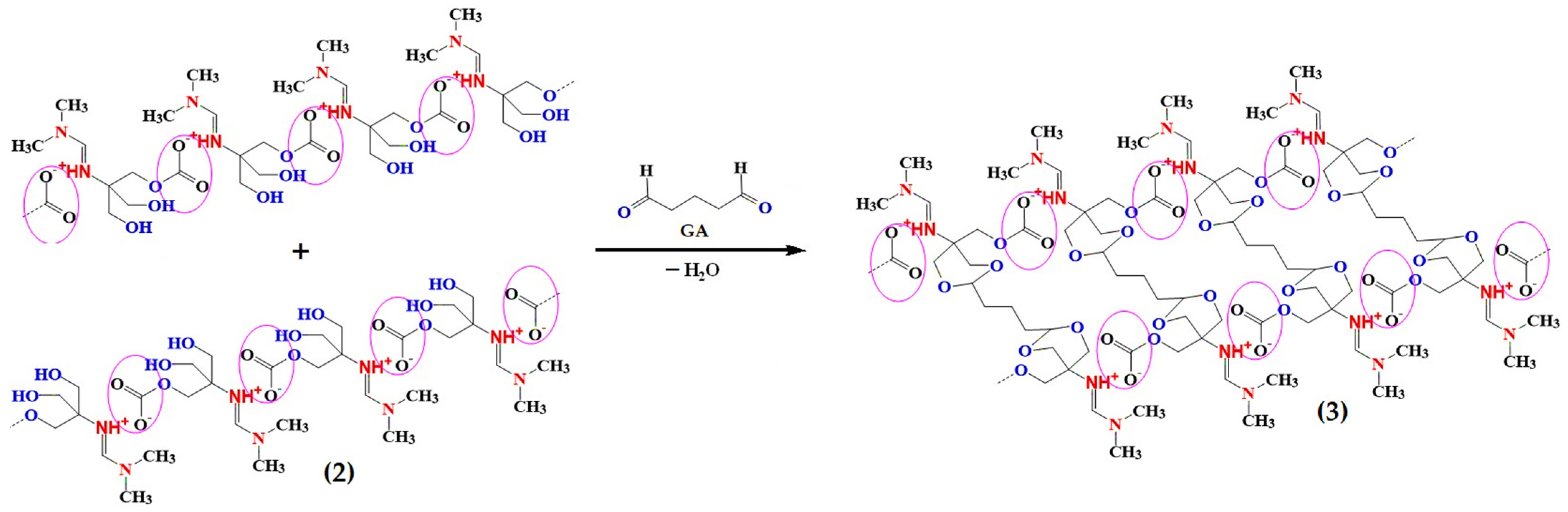
2.2.4. Preparation of Cross-Linked Ionic Polymer (CL-IP, 3)
2.3. Characterization
2.3.1. FTIR Characterization
2.3.2. Nuclear Magnetic Resonance (NMR) Spectroscopy
2.3.3. Thermogravimetric and Differential Scanning Calorimetry (TGA-DSC)
2.3.4. Scanning Electron Microscopy (SEM)
2.3.5. X-Ray Photoelectron Spectroscopy (XPS)
2.4. Computational Study
3. Results
3.1. Synthesis of Amidines (1a–b) and Their Characterization
3.2. Conversion of Amidines into Polymeric Ionic Liquids (PILs)
Spectroscopic Evidence of PIL (2) Formation
3.3. Computational Insights into Methanol-Assisted PIL Formation
3.4. Synthesis and Characterization of Cross-Linked Ionic Polymer (CL-IP)
4. Discussion
5. Conclusions and Future Perspectives
Supplementary Materials
Author Contributions
Funding
Institutional Review Board Statement
Data Availability Statement
Acknowledgments
Conflicts of Interest
References
- Matuszek, K.; Piper, S.L.; Brzęczek-Szafran, A.; Roy, B.; Saher, S.; Pringle, J.M.; MacFarlane, D.R. Unexpected Energy Applications of Ionic Liquids. Adv. Mater. 2024, 36, 2313023. [Google Scholar] [CrossRef]
- Hallett, J.P.; Welton, T. Room-Temperature Ionic Liquids: Solvents for Synthesis and Catalysis. Chem. Rev. 2011, 111, 3508–3576. [Google Scholar] [CrossRef]
- Watanabe, M.; Thomas, M.L.; Zhang, S.; Ueno, K.; Yasuda, T.; Dokko, K. Application of Ionic Liquids to Energy Storage and Conversion Materials and Devices. Chem. Rev. 2017, 117, 7190–7239. [Google Scholar] [CrossRef]
- Eshetu, G.G.; Armand, M.; Ohno, H.; Scrosati, B.; Passerini, S. Ionic Liquids as Tailored Media for the Synthesis and Processing of Energy Conversion Materials. Energy Environ. Sci. 2016, 9, 49–61. [Google Scholar] [CrossRef]
- Tan, Z.; Zhang, J.; Yang, Y.; Zhong, J.; Zhao, Y.; Teng, Y.; Han, B.; Chen, Z. Polymeric Ionic Liquid Promotes Acidic Electrocatalytic CO2 Conversion to Multicarbon Products with Ampere-Level Current on Cu. Nat. Commun. 2025, 16, 1843. [Google Scholar] [CrossRef]
- Sharma, M.; Mondal, D.; Sequeira, R.A.; Talsaniya, R.K.; Maru, D.A.; Moradiya, K.; Prasad, K. Syntheses and Characterization of Bio-Ionic Liquids Comprising Cations and Plant-Derived Carboxylic Acid Anions. J. Indian Chem. Soc. 2021, 98, 100205. [Google Scholar] [CrossRef]
- Walst, K.J.; Yunis, R.; Bayley, P.M.; MacFarlane, D.R.; Ward, C.J.; Wang, R.; Curnow, O.J. Synthesis and Physical Properties of Tris(dialkylamino)cyclopropenium Bistriflamide Ionic Liquids. RSC Adv. 2015, 5, 39565–39579. [Google Scholar] [CrossRef]
- Abu-Lebdeh, Y.; Hammami, A.; Abouimrane, A.; Armand, M. Amidinium Salts: Towards Enabling Electrochemistry in Non-Polar Media from Alkanes to Ionic Liquids. Electrochem. Commun. 2017, 81, 112–115. [Google Scholar] [CrossRef]
- Dechambenoit, P.; Ferlay, S.; Kyritsakas, N.; Hosseini, M.W. Amidinium Based Ionic Liquids. New J. Chem. 2010, 34, 1184–1199. [Google Scholar] [CrossRef]
- Yu, T.; Weiss, R.G. Syntheses of Cyclic Carbonates with Amidinium Halide Catalysts in Reusable, Reversible, Room-Temperature Ionic Liquids or Acetonitrile. Green Chem. 2012, 14, 209–216. [Google Scholar] [CrossRef]
- Sereda, O.; Clemens, N.; Heckel, T.; Wilhelm, R. Imidazolinium and Amidinium Salts as Lewis Acid Organocatalysts. Beilstein J. Org. Chem. 2012, 8, 1798–1803. [Google Scholar] [CrossRef]
- Becherini, S.; Mezzetta, A.; Chiappe, C.; Guazzelli, L. Levulinate Amidinium Protic Ionic Liquids (PILs) as Suitable Media for the Dissolution and Levulination of Cellulose. New J. Chem. 2019, 43, 4554–4561. [Google Scholar] [CrossRef]
- O’Brien, E.A.; Purslow, J.A.; Wall, B.J.; VanVeller, B. Hydrogen-Bonding Behavior of Amidines in Helical Structure. Chem. Sci. 2024, 15, 18992–18999. [Google Scholar] [CrossRef]
- Rauber, D.; Philippi, F.; Zapp, J.; Kickelbick, G.; Natter, H.; Hempelmann, R. Transport Properties of Protic and Aprotic Guanidinium Ionic Liquids. RSC Adv. 2018, 8, 41639–41650. [Google Scholar] [CrossRef]
- Lebedeva, O.; Kultin, D.; Kustov, L. Polymeric Ionic Liquids: Here, There and Everywhere. Eur. Polym. J. 2024, 203, 112657. [Google Scholar] [CrossRef]
- Haghayegh, M.S.; Azizi, N.; Shahabi, G.Y. PVP-Based Deep Eutectic Solvent Polymer: Sustainable Brønsted–Lewis Acidic Catalyst in the Synthesis of α-Aminophosphonate and Bisindole. J. Mol. Liq. 2023, 387, 122677. [Google Scholar] [CrossRef]
- Zhang, R.; Ahmed, A.; Yu, B.; Cong, H.; Shen, Y. Preparation, Application and Development of Poly(Ionic Liquid) Microspheres. J. Mol. Liq. 2022, 362, 119706. [Google Scholar] [CrossRef]
- Mohamed, A.H.; Noorhisham, N.A.; Bakar, K.; Yahaya, N.; Mohamad, S.; Kamaruzaman, S.; Osman, H. Synthesis of Imidazolium-Based Poly(Ionic Liquids) with Diverse Substituents and Their Applications in Dispersive Solid-Phase Extraction. Microchem. J. 2022, 178, 107363. [Google Scholar] [CrossRef]
- Su, X.; Niu, N.; Li, H.; Han, T.; Wang, D.; Tang, B.Z. Multicomponent Stereoselective Polymerizations toward Multifunctional Heterochain Polymers with α,β-Unsaturated Amidines. Macromolecules 2021, 54, 9906–9918. [Google Scholar] [CrossRef]
- Morselli, G.R.; Philippi, F.; Sabanay, P.H.P.; Bazito, R.C.; Costa Gomes, M.; Ando, R.A. Is the DBU–CO2 Adduct Stable in Ionic Liquid Media? Phys. Chem. Chem. Phys. 2025, 27, 8680–8683. [Google Scholar] [CrossRef]
- Jessop, P.G.; Heldebrant, D.J.; Li, X.; Eckert, C.A.; Liotta, C.L. A Reversible Ionic/Non-Ionic Switchable Solvent. Nature 2005, 436, 1102. [Google Scholar] [CrossRef]
- Heldebrant, D.J.; Yonker, C.R.; Jessop, P.G.; Phan, L. CO2-Binding Organic Liquids (CO2BOLs) for Post-Combustion CO2 Capture. Energy Procedia 2009, 1, 1187–1195. [Google Scholar] [CrossRef]
- Heldebrant, D.J.; Jessop, P.G.; Thomas, C.A.; Eckert, C.A.; Liotta, C.L. The Reaction of 1,8-Diazabicyclo[5.4.0]undec-7-ene (DBU) with Carbon Dioxide. J. Org. Chem. 2005, 70, 5335–5338. [Google Scholar] [CrossRef]
- Liu, Y.; Jessop, P.G.; Cunningham, M.; Eckert, C.A.; Liotta, C.L. Switchable Surfactants. Science 2006, 313, 958–960. [Google Scholar] [CrossRef]
- Darabi, A.; Jessop, P.G.; Cunningham, M.F. CO2-Responsive Polymeric Materials: Synthesis, Self-Assembly, and Functional Applications. Chem. Soc. Rev. 2016, 45, 4391–4436. [Google Scholar] [CrossRef] [PubMed]
- Jessop, P.G. Reversibly Switchable Surfactants and Methods of Use There of. U.S. Patent US20130087072A1, 14 September 2012. [Google Scholar]
- Irgibaeva, I.; Barashkov, N.; Aldongarov, A.; Zhapakova, A.; Eralinov, A.; Sakhno, T.; Seralin, A.; Sakhno, Y. FTIR and NMR Spectra of Polymeric Ionic Liquids—Products of Reaction between Hydroxy-Containing Amidines and Carbon Dioxide. J. CO2 Util. 2023, 77, 102594. [Google Scholar] [CrossRef]
- Irgibaeva, I.S.; Barashkov, N.N. Method for Utilizing Carbon Dioxide to Form Cross-Linked Polymeric Ionic Liquids. Patent Application No. 5836, 2020/0780.2, Bulletin No. 7, 19 February 2021. [Google Scholar]
- Frisch, M.J.; Trucks, G.W.; Schlegel, H.B.; Scuseria, G.E.; Robb, M.A.; Cheeseman, J.R.; Scalmani, G.; Barone, V.; Petersson, G.A.; Nakatsuji, H.; et al. Gaussian 16, Revision A.03; Gaussian, Inc.: Wallingford, CT, USA, 2016. [Google Scholar]
- Grimme, S.; Hansen, A.; Brandenburg, J.G.; Bannwarth, C. Dispersion-Corrected Mean-Field Electronic Structure Methods. Chem. Rev. 2016, 116, 5105–5154. [Google Scholar] [CrossRef] [PubMed]
- Panja, S.K.; Kumar, S.; Haddad, B.; Patel, A.R.; Villemin, D.; Amine, H.-M.; Bera, S.; Debdab, M. Role of Multiple Intermolecular H-Bonding Interactions in Molecular Cluster of Hydroxyl-Functionalized Imidazolium Ionic Liquid: An Experimental, Topological, and Molecular Dynamics Study. Physchem 2024, 4, 369–388. [Google Scholar] [CrossRef]
- Hansen, P.E. A Spectroscopic Overview of Intramolecular Hydrogen Bonds of NH…O,S,N Type. Molecules 2021, 26, 2409. [Google Scholar] [CrossRef]
- Buczek, A.; Rzepiela, K.; Kupka, T.; Broda, M.A. Impact of O-H···π Hydrogen Bond on IR and NMR Parameters of Cannabidiol: Theoretical and Experimental Study. Molecules 2025, 30, 2591. [Google Scholar] [CrossRef]
- Zhao, H.; Tang, S.; Xu, X.; Du, L. Hydrogen Bonding Interaction between Atmospheric Gaseous Amides and Methanol. Int. J. Mol. Sci. 2017, 18, 4. [Google Scholar] [CrossRef]
- Ben Said, R.; Kolle, J.M.; Essalah, K.; Tangour, B.; Sayari, A. A Unified Approach to CO2–Amine Reaction Mechanisms. ACS Omega 2020, 5, 26125–26133. [Google Scholar] [CrossRef]
- Barrulas, R.V.; Tinajero, C.; Ferreira, D.P.N.; Illanes-Bordomás, C.; Sans, V.; Carrott, M.R.; García-González, C.A.; Zanatta, M.; Corvo, M.C. Poly(ionic liquid)-Based Aerogels for Continuous-Flow CO2Upcycling. J. CO2 Util. 2024, 83, 102771. [Google Scholar] [CrossRef]
- Ab Rahim, A.H.; Yunus, N.M.; Bustam, M.A. Ionic Liquids Hybridization for Carbon Dioxide Capture: A Review. Molecules 2023, 28, 7091. [Google Scholar] [CrossRef] [PubMed]
- Robinson, K.; McCluskey, A.; Attalla, M.I. An ATR-FTIR Study on the Effect of Molecular Structural Variations on the CO2 Absorption Characteristics of Heterocyclic Amines, Part II. ChemPhysChem 2012, 13, 2331–2341. [Google Scholar] [CrossRef]
- Latini, G.; Signorile, M.; Crocellà, V.; Bocchini, S.; Pirri, C.F.; Bordiga, S. Unraveling the CO2 Reaction Mechanism in Bio-Based Amino-Acid Ionic Liquids by Operando ATR-IR Spectroscopy. Catal. Today 2019, 336, 148–160. [Google Scholar] [CrossRef]
- Perinu, C.; Arstad, B.; Jens, K.-J. NMR Spectroscopy Applied to Amine–CO2–H2O Systems Relevant for Post-Combustion CO2 Capture: A Review. Int. J. Greenh. Gas Control 2014, 20, 230–243. [Google Scholar] [CrossRef]
- Wang, X.; Akhmedov, N.G.; Duan, Y.; Li, B. Nuclear Magnetic Resonance Studies of CO2 Absorption and Desorption in Aqueous Sodium Salt of Alanine. Energy Fuels 2015, 29, 3780–3784. [Google Scholar] [CrossRef]
- Davran-Candan, T. DFT Modeling of CO2 Interaction with Various Aqueous Amine Structures. J. Phys. Chem. A 2014, 118, 4582–4590. [Google Scholar] [CrossRef]
- Lee, A.S.; Kitchin, J.R. Chemical and Molecular Descriptors for the Reactivity of Amines with CO2. Ind. Eng. Chem. Res. 2012, 51, 13609–13618. [Google Scholar] [CrossRef]
- Tavassoli, M.; Abedi-Firoozjah, R.; Bahramian, B.; Hashemi, M.; Noori, S.M.A.; Oladzadabbasabadi, N.; Nagdalian, A.; Jafari, S.M. Glutaraldehyde Cross-Linking for Improving the Techno-Functional Properties of Biopolymeric Food Packaging Films: A Comprehensive Review. Food Chem. 2025, 478, 143740. [Google Scholar] [CrossRef] [PubMed]
- Alavarse, A.C.; Frachini, E.C.G.; Gomes da Silva, R.L.C.; Lima, V.H.; Shavandi, A.; Petri, D.F.S. Crosslinkers for Polysaccharides and Proteins: Synthesis Conditions, Mechanisms, and Crosslinking Efficiency—A Review. Int. J. Biol. Macromol. 2022, 202, 558–596. [Google Scholar] [CrossRef] [PubMed]
- Stillahn, J.M.; Trevino, K.J.; Fisher, E.R. Deposition of Amorphous CNx Materials in BrCN Plasmas: Exploring Adhesion Behavior as an Indicator of Film Properties. ACS Appl. Mater. Interfaces 2011, 3, 1402–1410. [Google Scholar] [CrossRef] [PubMed]
- Gharahcheshmeh, M.H.; Chowdhury, K. Enhancing Capacitance of Carbon Cloth Electrodes via Highly Conformal PEDOT Coating Fabricated by the OCVD Method Utilizing SbCl5 Oxidant. Adv. Mater. Interfaces 2024, 11, 2400118. [Google Scholar] [CrossRef]
- Sebastián, D.; Nieto-Monge, M.J.; Pérez-Rodríguez, S.; Pastor, E.; Lázaro, M.J. Nitrogen Doped Ordered Mesoporous Carbon as Support of PtRu Nanoparticles for Methanol Electro-Oxidation. Energies 2018, 11, 831. [Google Scholar] [CrossRef]
- Araújo, T.; Parnell, A.J.; Bernardo, G.; Mendes, A. Cellulose-Based Carbon Membranes for Gas Separations—Unraveling Structural Parameters and Surface Chemistry for Superior Separation Performance. Carbon 2023, 204, 398–410. [Google Scholar] [CrossRef]
- Rauber, D.; Philippi, F.; Morgenstern, B.; Zapp, J.; Kuttich, B.; Kraus, T.; Welton, T.; Hempelmann, R.; Kay, C.W.M. Dynamics, Cation Conformation and Rotamers in Guanidinium Ionic Liquids with Ether Groups. J. Ionic Liq. 2023, 3, 100060. [Google Scholar] [CrossRef]
- Phan, L.; Chiu, D.; Heldebrant, D.J.; Huttenhower, H.; John, E.; Li, X.; Pollet, P.; Wang, R.; Eckert, C.A.; Liotta, C.L.; et al. Switchable Solvents Consisting of Amidine/Alcohol or Guanidine/Alcohol Mixtures. Ind. Eng. Chem. Res. 2008, 47, 539–545. [Google Scholar] [CrossRef]
- Manca, G.; Barzagli, F.; Nagy, J.; Munzarová, M.; Peruzzini, M.; Ienco, A. Unraveling the Mechanism and the Role of Hydrogen Bonds in CO2 Capture by Diluent-Free Amine Sorbents through a Combination of Experimental and Theoretical Methods. Fuel 2024, 378, 132859. [Google Scholar] [CrossRef]
- Ping, R.; He, L.; Wang, Q.; Liu, F.; Chen, H.; Yu, S.; Gao, K.; Liu, M. Unveiling the Incorporation of Dual Hydrogen-Bond-Donating Squaramide Moieties into Covalent Triazine Frameworks for Promoting Low-Concentration CO2 Fixation. Appl. Catal. B Environ. Energy 2025, 365, 124895. [Google Scholar] [CrossRef]
- Wang, P.; Wang, R. Ionic Liquid-Catalyzed CO2 Conversion for Valuable Chemicals. Molecules 2024, 29, 3805. [Google Scholar] [CrossRef]
- Liao, X.; Zeng, R.; Wang, Z.; Xiong, W.; Zhou, J.; Lin, J. Construction of Hydroxyl-Rich Hyper-Crosslinked Ionic Polymers with High Ionic Content for Efficient CO2 Conversion at Low Concentration. J. Environ. Chem. Eng. 2024, 12, 113545. [Google Scholar] [CrossRef]
- Chen, W.; Chen, M.; Jiang, B.; Lei, T.; Zhang, F.; Zhang, Z. The Improvement of Ionic Liquids on CO2 Capture with Biphasic Absorbents. Chem. Eng. J. 2024, 493, 152720. [Google Scholar] [CrossRef]
- Zulfiqar, S.; Sarwar, M.I.; Mecerreyes, D. Polymeric Ionic Liquids for CO2 Capture and Separation: Potential, Progress and Challenges. Polym. Chem. 2015, 6, 6435–6451. [Google Scholar] [CrossRef]
- Detz, H.; Butera, V. In-Depth DFT Insights into the Crucial Role of Hydrogen Bonding Network in CO2 Fixation into Propylene Oxide Promoted by Biomass-Derived Deep Eutectic Solvents. J. Mol. Liq. 2023, 380, 121737. [Google Scholar] [CrossRef]
- Wang, P.-H.; Wang, T.-L.; Lin, W.-C.; Lin, H.-Y.; Lee, M.-H.; Yang, C.-H. Crosslinked Polymer Ionic Liquid/Ionic Liquid Blends Prepared by Photopolymerization as Solid-State Electrolytes in Supercapacitors. Nanomaterials 2018, 8, 225. [Google Scholar] [CrossRef] [PubMed]
- Hsu, Y.I. Development of Functional Degradable Materials by Precise Crosslinking Design of Biobased Polymers. Polym. J. 2025, 57, 1095–1105. [Google Scholar] [CrossRef]
- Liu, Y.; Lu, X.-B. Current Challenges and Perspectives in CO2-Based Polymers. Macromolecules 2023, 56, 1759–1777. [Google Scholar] [CrossRef]













| Model | Key H-Bonds (Å) | Dipole μ (D) | EHOMO (a.u.) | ELUMO (a.u.) |
|---|---|---|---|---|
| Amidine–MeOH (1b) | Intermol. O–H···O: 1.780 and 1.784 Intramol. O–H···O: 1.986 | 4.125 | −0.2008 | +0.0346 |
| Amidine–MeOH–CO2 | O–H···O/N: 1.685–2.003 | 6.485 | −0.1878 | −0.0265 |
Disclaimer/Publisher’s Note: The statements, opinions and data contained in all publications are solely those of the individual author(s) and contributor(s) and not of MDPI and/or the editor(s). MDPI and/or the editor(s) disclaim responsibility for any injury to people or property resulting from any ideas, methods, instructions or products referred to in the content. |
© 2025 by the authors. Licensee MDPI, Basel, Switzerland. This article is an open access article distributed under the terms and conditions of the Creative Commons Attribution (CC BY) license (https://creativecommons.org/licenses/by/4.0/).
Share and Cite
Irgibaeva, I.; Barashkov, N.; Tarikhov, F.; Aldongarov, A.; Salkeeva, L.; Dzhardimalieva, G.; Tashenov, Y. Methanol-Assisted CO2 Fixation by Hydroxyl-Containing Amidine Leading to Polymeric Ionic Liquid and Cross-Linked Network Formation. Polymers 2025, 17, 3306. https://doi.org/10.3390/polym17243306
Irgibaeva I, Barashkov N, Tarikhov F, Aldongarov A, Salkeeva L, Dzhardimalieva G, Tashenov Y. Methanol-Assisted CO2 Fixation by Hydroxyl-Containing Amidine Leading to Polymeric Ionic Liquid and Cross-Linked Network Formation. Polymers. 2025; 17(24):3306. https://doi.org/10.3390/polym17243306
Chicago/Turabian StyleIrgibaeva, Irina, Nikolay Barashkov, Farkhad Tarikhov, Anuar Aldongarov, Lyazat Salkeeva, Gulzhian Dzhardimalieva, and Yerbolat Tashenov. 2025. "Methanol-Assisted CO2 Fixation by Hydroxyl-Containing Amidine Leading to Polymeric Ionic Liquid and Cross-Linked Network Formation" Polymers 17, no. 24: 3306. https://doi.org/10.3390/polym17243306
APA StyleIrgibaeva, I., Barashkov, N., Tarikhov, F., Aldongarov, A., Salkeeva, L., Dzhardimalieva, G., & Tashenov, Y. (2025). Methanol-Assisted CO2 Fixation by Hydroxyl-Containing Amidine Leading to Polymeric Ionic Liquid and Cross-Linked Network Formation. Polymers, 17(24), 3306. https://doi.org/10.3390/polym17243306

