Effect of UV Irradiation on Properties and Characteristics of Fish Gelatin-Based Film Containing Linoleic Acid and Ferrous Chloride
Abstract
1. Introduction
2. Materials and Methods
2.1. Fish Gelatin and Chemicals
2.2. Preparation of Film-Forming Solutions
2.3. Preparation of Gelatin Film Irradiated with UV
2.4. Analysis of Film Properties
2.4.1. Thickness of the Film
2.4.2. Tensile Mechanical Properties
2.4.3. Water-Vapor Permeability (WVP)
2.4.4. Color of the Film
2.4.5. Transparency Value of Film
2.5. Characterization of Selected Films
2.5.1. Scanning Electron Microscopy (SEM)
2.5.2. Fourier-Transform Infrared (FTIR) Spectroscopic Analysis
2.5.3. Thermogravimetric Analysis (TGA)
2.5.4. SDS–Polyacrylamide Gel Electrophoresis (SDS–PAGE)
2.6. Statistical Analyses
3. Results and Discussion
3.1. Properties of Fish Skin Gelatin Films with Incorporation of Linoleic Acid (LA) and Ferrous Chloride (FeCl2) as Affected by UV Irradiation
3.1.1. Thickness and Mechanical Properties
3.1.2. Water-Vapor Permeability (WVP)
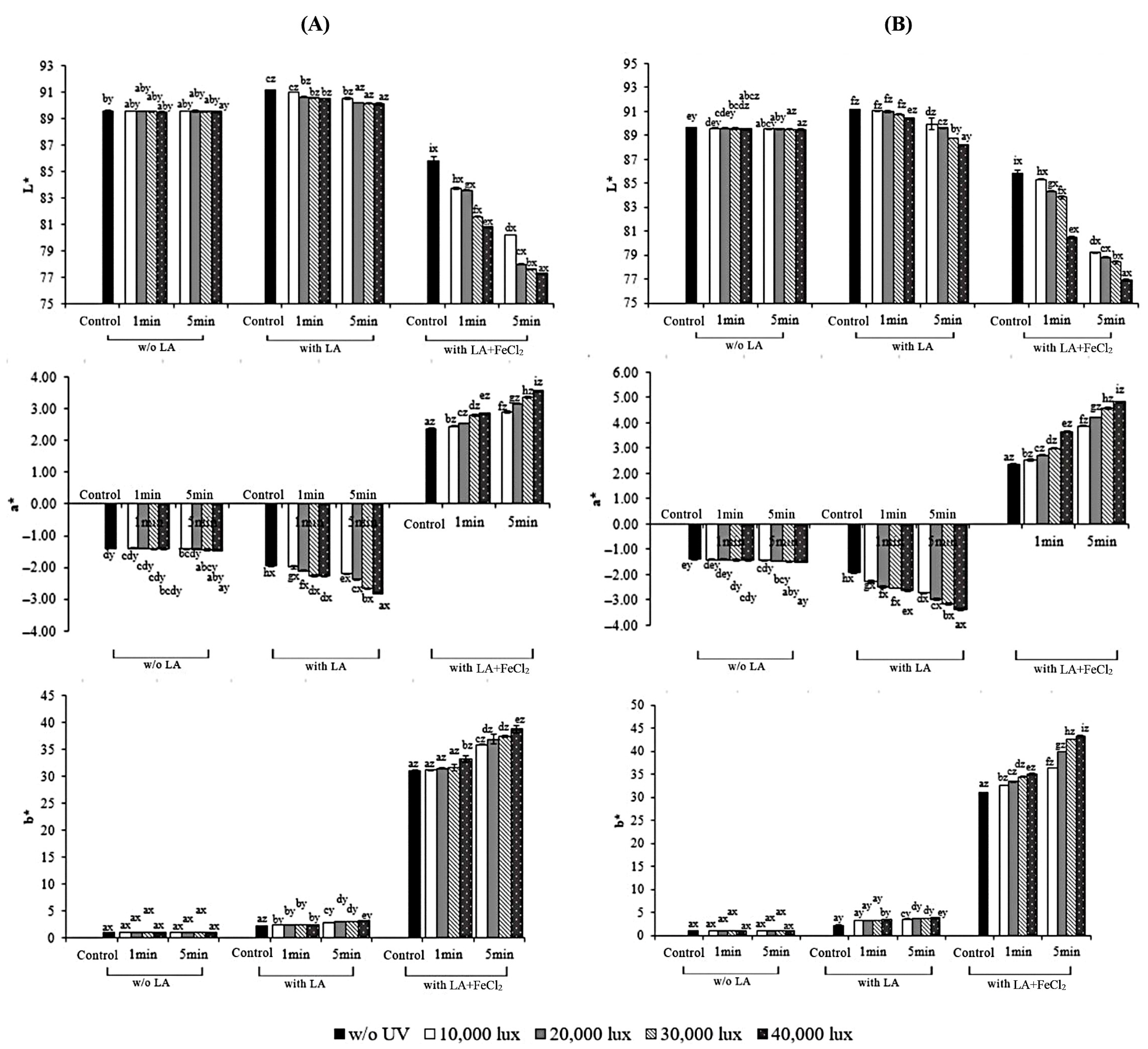
3.1.3. Appearance and Color of Films
3.1.4. Transparency Value
3.2. Characteristics of Fish Skin Gelatin Films with Incorporation of Linoleic Acid (LA) and Ferrous Chlorides (FeCl2) Subjected to UV Irradiation Under the Selected Conditions
3.2.1. Film Microstructure
3.2.2. ATR-FTIR Spectroscopy
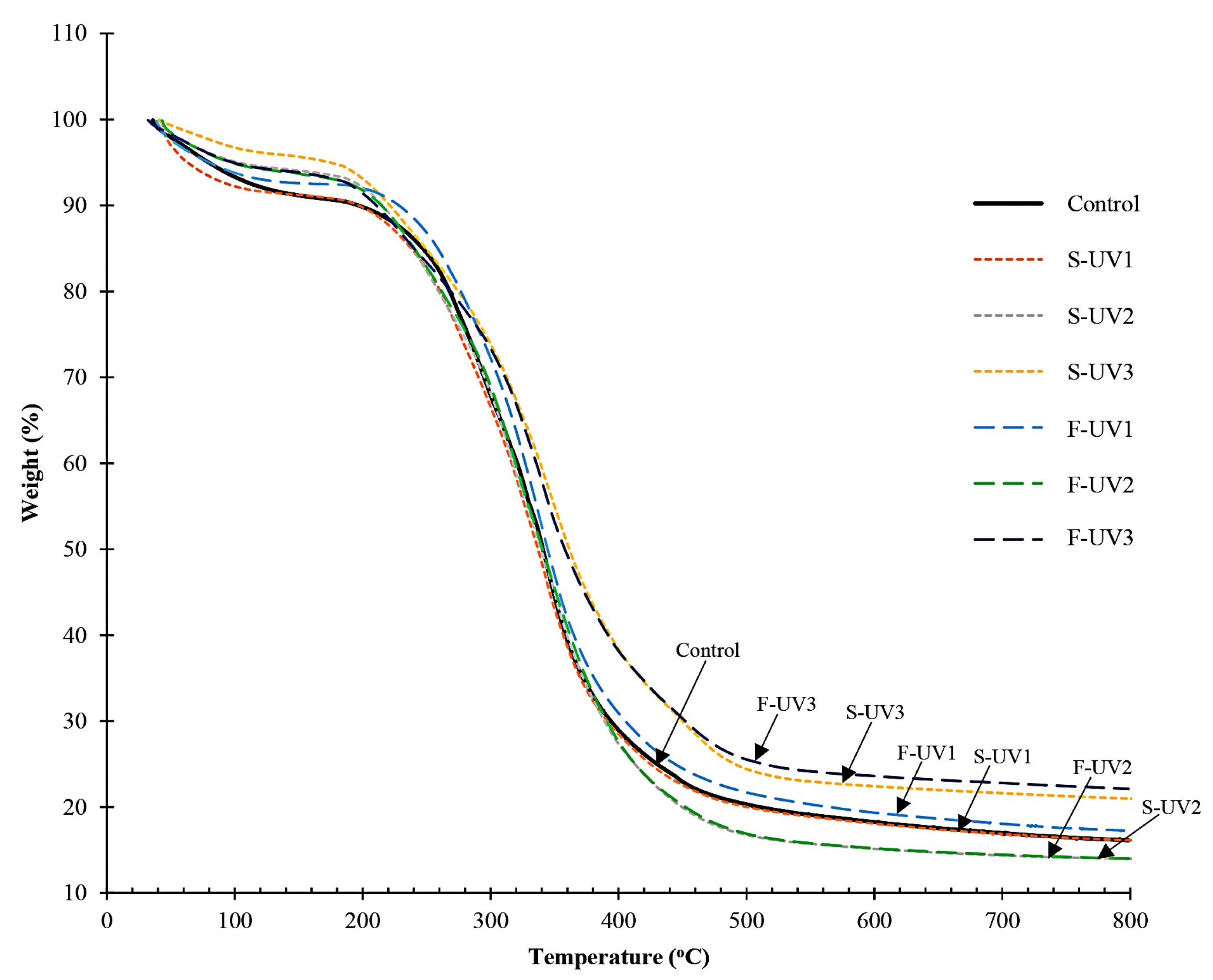
3.2.3. TGA
3.2.4. Protein Pattern
4. Conclusions
Author Contributions
Funding
Institutional Review Board Statement
Informed Consent Statement
Data Availability Statement
Acknowledgments
Conflicts of Interest
References
- Zhao, X.; Wang, Y.; Chen, X.; Yu, X.; Li, W.; Zhang, S.; Meng, X.; Zhao, Z.M.; Dong, T.; Anderson, A.; et al. Sustainable bioplastics derived from renewable natural resources for food packaging. Matter 2023, 6, 97–127. [Google Scholar] [CrossRef]
- Amin, U.; Khan, M.U.; Majeed, Y.; Rebezov, M.; Khayrullin, M.; Bobkova, E.; Shariati, M.A.; Chung, I.M.; Thiruvengadam, M. Potentials of polysaccharides, lipids and proteins in biodegradable food packaging applications. Int. J. Biol. Macromol. 2021, 183, 2184–2198. [Google Scholar] [CrossRef] [PubMed]
- Singh, S.; Habib, M.; Rao, E.S.; Kumar, Y.; Bashir, K.; Jan, S.; Jan, K. A comprehensive overview of biodegradable packaging films: Part I—Sources, additives, and preparation methods. Discov. Food 2025, 5, 41. [Google Scholar] [CrossRef]
- Said, N.S.; Howell, N.K.; Sarbon, N.M. A Review on potential use of gelatin-based film as active and smart biodegradable films for food packaging application. Food Rev. Int. 2023, 39, 1063–1085. [Google Scholar] [CrossRef]
- Chen, H.; Wu, C.; Feng, X.; He, M.; Zhu, X.; Li, Y.; Teng, F. Effects of two fatty acids on soy protein isolate/sodium alginate edible films: Structures and properties. LWT 2022, 159, 113221. [Google Scholar] [CrossRef]
- Moghadas, H.C.; Chauhan, R.; Smith, J.S. Application of plant oils asfFunctional additives in edible films and coatings for food packaging: A review. Foods 2024, 13, 997. [Google Scholar] [CrossRef] [PubMed]
- Devi, L.S.; Jaiswal, A.K.; Jaiswal, S. Lipid incorporated biopolymer based edible films and coatings in food packaging: A review. Curr. Res. Food Sci. 2024, 8, 100720. [Google Scholar] [CrossRef]
- Nor Amalini, A.; Norziah, M.H.; Khan, I.; Haafiz, M.K.M. Exploring the properties of modified fish gelatin films incorporated with different fatty acid sucrose esters. Food Packag. Shelf Life 2018, 15, 105–112. [Google Scholar] [CrossRef]
- Aewsiri, T.; Benjakul, S.; Visessanguan, W.; Wierenga, P.A.; Gruppen, H. Surface activity and molecular characteristics of cuttlefish skin gelatin modified by oxidized linoleic acid. Int. J. Biol. Macromol. 2011, 48, 650–660. [Google Scholar] [CrossRef]
- Theerawitayaart, W.; Prodpran, T.; Benjakul, S. Enhancement of hydrophobicity of fish skin gelatin via molecular modification with oxidized linoleic acid. J. Chem. 2019, 1, 5462471. [Google Scholar] [CrossRef]
- Theerawitayaart, W.; Prodpran, T.; Benjakul, S.; Sookchoo, P. Properties of films from fish gelatin prepared by molecular modification and direct addition of oxidized linoleic acid. Food Hydrocoll. 2019, 88, 291–300. [Google Scholar] [CrossRef]
- Theerawitayaart, W.; Prodpran, T.; Benjakul, S.; Nilsuwan, K.; de la Caba, K. Storage stability of fish gelatin films by molecular modification or direct incorporation of oxidized linoleic acid: Comparative studies. Food Hydrocoll. 2021, 113, 106481. [Google Scholar] [CrossRef]
- Rhim, J.W.; Gennadios, A.; Fu, D.; Weller, C.L.; Hanna, M.A. Properties of ultraviolet irradiated protein films. LWT-Food Sci. Technol. 1999, 32, 129–133. [Google Scholar] [CrossRef]
- Fathi, N.; Almasi, H.; Pirouzifard, M.K. Effect of ultraviolet radiation on morphological and physicochemical properties of sesame protein isolate based edible films. Food Hydrocoll. 2018, 85, 136–143. [Google Scholar] [CrossRef]
- Díaz, O.; Candia, D.; Cobos, Á. Effects of ultraviolet radiation on properties of films from whey protein concentrate treated before or after film formation. Food Hydrocoll. 2015, 55, 189–199. [Google Scholar] [CrossRef]
- Radomska, K.; Wolszczak, M. Influence of ionizing radiation on spontaneously formed aggregates in proteins or enzymes solutions. Pharmaceutics 2023, 15, 1367. [Google Scholar] [CrossRef] [PubMed]
- Lamp, A.; Kaltschmitt, M.; Dethloff, J. Options to improve the mechanical properties of protein-based materials. Molecules 2022, 27, 446. [Google Scholar] [CrossRef]
- De Vargas, V.H.; Marczak, L.D.F.; Flôres, S.H.; Mercali, G.D. Morphology and functional properties of gelatin-based films modified by UV radiation and bacterial cellulose nanofibers. J. Food Process Eng. 2023, 46, 14399. [Google Scholar] [CrossRef]
- Tongnuanchan, P.; Benjakul, S.; Prodpran, T. Properties and antioxidant activity of fish skin gelatin film incorporated with citrus essential oils. Food Chem. 2012, 134, 1571–1579. [Google Scholar] [CrossRef]
- ASTM D882; Standard Test Method for Tensile Properties of Thin Plastic Sheeting. ASTM: West Conshohocken, PA, USA, 2021; Volume 08.01, pp. 235–247.
- ASTM E96-80; Standard Test Methods for Water Vapor Transmission of Materials. ASTM: West Conshohocken, PA, USA, 1989; Volume 15.09, pp. 730–739.
- Shiku, Y.; Hamaguchi, P.Y.; Benjakul, S.; Visessanguan, W.; Tanaka, M. Effect of surimi quality on properties of edible films based on Alaska pollack. Food Chem. 2004, 86, 493–499. [Google Scholar] [CrossRef]
- Sobral, P.D.A.; Menegalli, F.; Hubinger, M.; Roques, M. Mechanical, water vapor barrier and thermal properties of gelatin based edible films. Food Hydrocoll. 2001, 15, 423–432. [Google Scholar] [CrossRef]
- Nuthong, P.; Benjakul, S.; Prodpran, T. Characterization of porcine plasma protein-based films as affected by pretreatment and cross-linking agents. Int. J. Biol. Macromol. 2009, 44, 143–148. [Google Scholar] [CrossRef]
- Laemmli, U.K. Cleavage of structural proteins during the assembly of the head of bacteriophage T4. Nature 1970, 227, 680. [Google Scholar] [CrossRef]
- Robinson, H.W.; Hogden, C.G. The biuret reaction in the determination of serum proteins. 1. A study of the conditions necessary for the production of a stable color which bears a quantitative relationship to the protein concentration. J. Biol. Chem. 1940, 135, 707–725. [Google Scholar] [CrossRef]
- Tongnuanchan, P.; Benjakul, S.; Prodpran, T.; Pisuchpen, S.; Osako, K. Mechanical, thermal and heat sealing properties of fish skin gelatin film containing palm oil and basil essential oil with different surfactants. Food Hydrocoll. 2016, 56, 93–107. [Google Scholar] [CrossRef]
- Nilsuwan, K.; Benjakul, S.; Prodpran, T. Emulsion stability and properties of fish gelatin-based films as affected by palm oil and surfactants. J. Sci. Food Agric. 2016, 96, 2504–2513. [Google Scholar] [CrossRef] [PubMed]
- Bhaskar, R.; Zo, S.M.; Narayanan, K.B.; Purohit, S.D.; Gupta, M.K.; Han, S.S. Recent development of protein-based biopolymers in food packaging applications: A review. Polym. Test. 2023, 124, 108097. [Google Scholar] [CrossRef]
- Limpisophon, K.; Tanaka, M.; Osako, K. Characterisation of gelatin–fatty acid emulsion films based on blue shark (Prionace glauca) skin gelatin. Food Chem. 2010, 122, 1095–1101. [Google Scholar] [CrossRef]
- Yamamoto, T.; Noma, Y.; Sakai, S.-I.; Shibata, Y. Photodegradation of perfluorooctane sulfonate by UV irradiation in water and alkaline 2-propanol. Environ. Sci. Technol. 2007, 41, 5660–5665. [Google Scholar] [CrossRef]
- Akagawa, M.; Sasaki, T.; Suyama, K. Oxidative deamination of lysine residue in plasma protein of diabetic rats: Novel mechanism via the Maillard reaction. Eur. J. Biochem. 2002, 269, 5451–5458. [Google Scholar] [CrossRef]
- Metreveli, N.; Namicheishvili, L.; Jariashvili, K.; Mrevlishvili, G.; Sionkowska, A. Mechanisms of the influence of UV irradiation on collagen and collagen-ascorbic acid solutions. Int. J. Photoenergy 2006, 2006, 76830. [Google Scholar] [CrossRef]
- Falguera, V.; Pagán, J.; Garza, S.; Garvín, A.; Ibarz, A. Ultraviolet processing of liquid food: A review-Part 1: Fundamental engineering aspects. Food Res. Int. 2011, 44, 1571–1579. [Google Scholar] [CrossRef]
- Gennadios, A.; Rhim, J.; Handa, A.; Weller, C.; Hanna, M. Ultraviolet radiation affects physical and molecular properties of soy protein films. J. Food Sci. 1998, 63, 225–228. [Google Scholar] [CrossRef]
- Pérez-Gago, M.B.; Krochta, J.M. Lipid particle size effect on water vapor permeability and mechanical properties of whey protein/beeswax emulsion films. J. Agric. Food Chem. 2001, 49, 996–1002. [Google Scholar] [CrossRef]
- Sahraee, S.; Milani, J.M.; Ghanbarzadeh, B.; Hamishehkar, H. Effect of corn oil on physical, thermal, and antifungal properties of gelatin-based nanocomposite films containing nano chitin. LWT-Food Sci. Technol. 2017, 76, 33–39. [Google Scholar] [CrossRef]
- Decker, C.; Elzaouk, B.; Decker, D. Kinetic study of ultrafast photopolymerization reactions. J. Macromol. Sci. Pure Appl. Chem. 1996, 33, 173–190. [Google Scholar] [CrossRef]
- Garrison, W.M. Reaction mechanisms in the radiolysis of peptides, polypeptides, and proteins. Chem. Rev. 1987, 87, 381–398. [Google Scholar] [CrossRef]
- Kristo, E.; Hazizaj, A.; Corredig, M. Structural changes imposed on whey proteins by UV irradiation in a continuous UV light reactor. J. Agric. Food Chem. 2012, 60, 6204–6209. [Google Scholar] [CrossRef]
- Uchida, E.; Uyama, Y.; Ikada, Y. Surface graft polymerization of acrylamide onto poly (ethylene terephthalate) film by UV irradiation. J. Polym. Sci. A Polym. Chem. 1989, 27, 527–537. [Google Scholar] [CrossRef]
- Sabato, S.; Ouattara, B.; Yu, H.; D’aprano, G.; Le Tien, C.; Mateescu, M.; Lacroix, M. Mechanical and barrier properties of cross-linked soy and whey protein based films. J. Agric. Food Chem. 2001, 49, 1397–1403. [Google Scholar] [CrossRef]
- Yuan, Q.; Zhu, X.; Sayre, L.M. Chemical nature of stochastic generation of protein-based carbonyls: Metal-catalyzed oxidation versus modification by products of lipid oxidation. Chem. Res. Toxicol. 2007, 20, 129–139. [Google Scholar] [CrossRef] [PubMed]
- Hamaguchi, P.; Shiku, Y.; Tanaka, M. Property improvement of fish water soluble protein films by dialdehyde starch (DAS) and/or sodium dodecyl sulfate (SDS) treatments. J. Food Sci. Tech. 2003, 12, 271–282. [Google Scholar]
- Koh, E.; Ryu, D.; Surh, J. Ratio of malondialdehyde to hydroperoxides and color change as an index of thermal oxidation of linoleic acid and linolenic acid. J. Food Process. Preserv. 2015, 39, 318–326. [Google Scholar] [CrossRef]
- Masutani, E.M.; Kinoshita, C.K.; Tanaka, T.T.; Ellison, A.K.; Yoza, B.A. Increasing thermal stability of gelatin by UV-induced cross-linking with glucose. Int. J. Biomater. 2014, 2014, 979636. [Google Scholar] [CrossRef]
- Pires, C.; Ramos, C.; Teixeira, G.; Batista, I.; Mendes, R.; Nunes, L.; Marques, A. Characterization of biodegradable films prepared with hake proteins and thyme oil. J. Food Eng. 2011, 105, 422–428. [Google Scholar] [CrossRef]
- Fabra, M.J.; Talens, P.; Chiralt, A. Microstructure and optical properties of sodium caseinate films containing oleic acid–beeswax mixtures. Food Hydrocoll. 2009, 23, 676–683. [Google Scholar] [CrossRef]
- Zaman, H.U.; Khan, M.A.; Khan, R.A.; Mollah, M.; Pervin, S.; Al-Mamun, M. A comparative study between gamma and UV radiation of jute fabrics/polypropylene composites: Effect of starch. J. Reinf. Plast. Compos. 2010, 29, 1930–1939. [Google Scholar] [CrossRef]
- Muyonga, J.; Cole, C.; Duodu, K. Fourier transform infrared (FTIR) spectroscopic study of acid soluble collagen and gelatin from skins and bones of young and adult Nile perch (Lates niloticus). Food Chem. 2004, 86, 325–332. [Google Scholar] [CrossRef]
- Muik, B.; Lendl, B.; Molina-Diaz, A.; Valcarcel, M.; Ayora-Cañada, M.J. Two-dimensional correlation spectroscopy and multivariate curve resolution for the study of lipid oxidation in edible oils monitored by FTIR and FT-Raman spectroscopy. Anal. Chim. Acta 2007, 593, 54–67. [Google Scholar] [CrossRef]
- Wu, J.; Sun, X.; Guo, X.; Ge, S.; Zhang, Q. Physicochemical properties, antimicrobial activity and oil release of fish gelatin films incorporated with cinnamon essential oil. Aquac. Fish. 2017, 2, 185–192. [Google Scholar] [CrossRef]
- Wang, K.; Wang, W.; Wu, X.; Xiao, J.; Liu, Y.; Liu, A. Effect of photochemical UV/riboflavin-mediated cross-links on different properties of fish gelatin films. J. Food Process. Eng. 2017, 40, 12536. [Google Scholar] [CrossRef]
- Yamaki, T.; Asano, M.; Maekawa, Y.; Morita, Y.; Suwa, T.; Chen, J.; Tsubokawa, N.; Kobayashi, K.; Kubota, H.; Yoshida, M. Radiation grafting of styrene into crosslinked PTEE films and subsequent sulfonation for fuel cell applications. Radiat. Phys. Chem. 2003, 67, 403–407. [Google Scholar] [CrossRef]
- Wrobel, T.P.; Mateuszuk, L.; Chlopicki, S.; Malek, K.; Baranska, M. Imaging of lipids in atherosclerotic lesion in aorta from ApoE/LDLR−/− mice by FT-IR spectroscopy and Hierarchical Cluster Analysis. Analyst 2011, 136, 5247–5255. [Google Scholar] [CrossRef]
- Hoque, M.S.; Benjakul, S.; Prodpran, T. Properties of film from cuttlefish (Sepia pharaonis) skin gelatin incorporated with cinnamon, clove and star anise extracts. Food Hydrocoll. 2011, 25, 1085–1097. [Google Scholar] [CrossRef]
- Benjakul, S.; Oungbho, K.; Visessanguan, W.; Thiansilakul, Y.; Roytrakul, S. Characteristics of gelatin from the skins of bigeye snapper, Priacanthus tayenus and Priacanthus macracanthus. Food Chem. 2009, 116, 445–451. [Google Scholar] [CrossRef]
- Zaikov, G. The problems of radiation chemistry of protein molecules. In Radiation Chemistry of Biopolymers, 1st ed.; Zaikov, E.G., Sharpatyi., S.G., Eds.; CRC Press: London, UK, 2006; pp. 109–114. [Google Scholar]










| Figure 2 | LA (%) | FeCl2 (%) | ∆1 | ∆2 | ∆3 | Residue (%) | |||
|---|---|---|---|---|---|---|---|---|---|
| Td1 | ∆w1 | Td2 | ∆w2 | Td3 | ∆w3 | ||||
| Control | – | – | 56.74 | 9.20 | 246.38 | 30.44 | 334.08 | 42.15 | 18.21 |
| S-UV1 | – | – | 54.79 | 8.56 | 233.14 | 20.77 | 321.95 | 52.51 | 18.16 |
| S-UV2 | 30 | – | 50.72 | 5.71 | 205.41 | 17.30 | 344.50 | 61.29 | 15.70 |
| S-UV3 | 30 | 1.5 | 58.47 | 4.07 | 193.25 | 14.77 | 382.80 | 57.75 | 23.41 |
| F-UV1 | – | – | 54.13 | 7.35 | 243.58 | 17.65 | 316.10 | 55.71 | 19.29 |
| F-UV2 | 30 | – | 56.07 | 6.28 | 211.31 | 15.83 | 329.58 | 62.32 | 15.57 |
| F-UV3 | 30 | 1.5 | 57.03 | 5.90 | 194.45 | 12.35 | 372.27 | 57.88 | 23.87 |
Disclaimer/Publisher’s Note: The statements, opinions and data contained in all publications are solely those of the individual author(s) and contributor(s) and not of MDPI and/or the editor(s). MDPI and/or the editor(s) disclaim responsibility for any injury to people or property resulting from any ideas, methods, instructions or products referred to in the content. |
© 2025 by the authors. Licensee MDPI, Basel, Switzerland. This article is an open access article distributed under the terms and conditions of the Creative Commons Attribution (CC BY) license (https://creativecommons.org/licenses/by/4.0/).
Share and Cite
Theerawitayaart, W.; Poomithorn, K.; Nilsuwan, K.; Sookchoo, P.; Benjakul, S.; Prodpran, T. Effect of UV Irradiation on Properties and Characteristics of Fish Gelatin-Based Film Containing Linoleic Acid and Ferrous Chloride. Polymers 2025, 17, 2512. https://doi.org/10.3390/polym17182512
Theerawitayaart W, Poomithorn K, Nilsuwan K, Sookchoo P, Benjakul S, Prodpran T. Effect of UV Irradiation on Properties and Characteristics of Fish Gelatin-Based Film Containing Linoleic Acid and Ferrous Chloride. Polymers. 2025; 17(18):2512. https://doi.org/10.3390/polym17182512
Chicago/Turabian StyleTheerawitayaart, Wipawee, Kullaya Poomithorn, Krisana Nilsuwan, Ponsatit Sookchoo, Soottawat Benjakul, and Thummanoon Prodpran. 2025. "Effect of UV Irradiation on Properties and Characteristics of Fish Gelatin-Based Film Containing Linoleic Acid and Ferrous Chloride" Polymers 17, no. 18: 2512. https://doi.org/10.3390/polym17182512
APA StyleTheerawitayaart, W., Poomithorn, K., Nilsuwan, K., Sookchoo, P., Benjakul, S., & Prodpran, T. (2025). Effect of UV Irradiation on Properties and Characteristics of Fish Gelatin-Based Film Containing Linoleic Acid and Ferrous Chloride. Polymers, 17(18), 2512. https://doi.org/10.3390/polym17182512

