Effects of Sol–Gel Modification on the Microstructure of Nafion Membranes
Abstract
1. Introduction
2. Materials and Methods
2.1. Main Materials
2.2. Membrane Preparation
2.3. Membrane Characterization
3. Results and Discussion
3.1. Results of Membrane Modification
3.2. Water Uptake
3.3. Conductivity
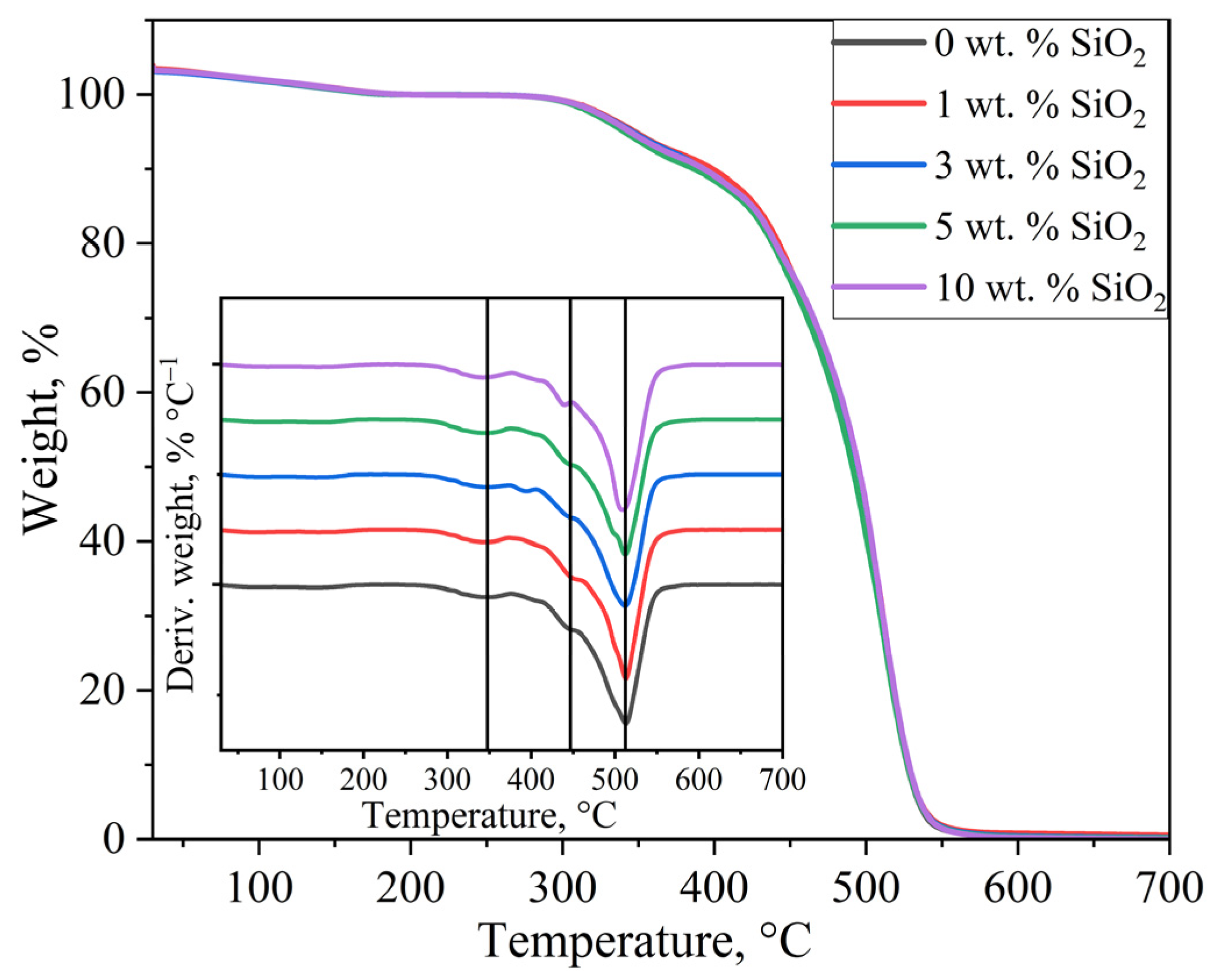
3.4. Thermogravimetric Analysis
3.5. Electron Microscopy and Energy-Dispersive X-Ray Spectroscopy
3.6. Small-Angle X-Ray Scattering
4. Conclusions
Author Contributions
Funding
Data Availability Statement
Acknowledgments
Conflicts of Interest
Abbreviations
| PEM | proton exchange membrane |
| PEMFC | proton exchange membrane fuel cell |
| SAXS | small-angle X-ray scattering |
| TEOS | tetraethyl orthosilicate |
| TGA | thermogravimetric analysis |
| DTA | differential thermal analysis |
| STEM | scanning/transmission electron microscope |
| SEM | scanning electron microscope |
| HAADF | high-angle annular dark field |
| EDX | energy-dispersive X-ray |
| ETD | Everhardt-Thornley detector |
References
- Zasypkina, A.A.; Ivanova, N.A.; Spasov, D.D.; Mensharapov, R.M.; Sinyakov, M.V.; Grigoriev, S.A. Recent Advances in the Development of Nanocarbon-Based Electrocatalytic/Electrode Materials for Proton Exchange Membrane Fuel Cells: A Review. Catalysts 2024, 14, 303. [Google Scholar] [CrossRef]
- Kim, S.; Hong, I. Effects of Humidity and Temperature on a Proton Exchange Membrane Fuel Cell (PEMFC) Stack. J. Ind. Eng. Chem. 2008, 14, 357–364. [Google Scholar] [CrossRef]
- Lee, H.; Jeong, S.; Song, J.; Kim, M.; Chu, C.; Lee, Y.; Kim, D.; Kim, M. Influence of PEMFC Degradation on Its Performance in Different Temperature and Relative Humidity Conditions. J. Mech. Sci. Technol. 2023, 37, 2095–2108. [Google Scholar] [CrossRef]
- Mensharapov, R.M.; Ivanova, N.A.; Spasov, D.D.; Bakirov, A.V.; Fateev, V.N. PEMFC Performance at Nonstandard Operating Conditions: A Review. Int. J. Hydrogen Energy 2024, 96, 664–679. [Google Scholar] [CrossRef]
- Ivanova, N.A.; Spasov, D.D.; Mensharapov, R.M.; Kukueva, E.V.; Zasypkina, A.A.; Fateev, V.N.; Grigoriev, S.A. Efficient and Stable Subzero Operation of a PEM Fuel Cell with a Composite Anode Using Hydrogen-Methanol Composition during Freeze/Thaw Cycles. Int. J. Hydrogen Energy 2023, 48, 11410–11420. [Google Scholar] [CrossRef]
- Mensharapov, R.M.; Spasov, D.D.; Ivanova, N.A.; Zasypkina, A.A.; Smirnov, S.A.; Grigoriev, S.A. Screening of Carbon-Supported Platinum Electrocatalysts Using Frumkin Adsorption Isotherms. Inorganics 2023, 11, 103. [Google Scholar] [CrossRef]
- Ivanova, N.A.; Spasov, D.D.; Grigoriev, S.A.; Kamyshinsky, R.A.; Peters, G.S.; Mensharapov, R.M.; Seregina, E.A.; Millet, P.; Fateev, V.N. On the Influence of Methanol Addition on the Performances of PEM Fuel Cells Operated at Subzero Temperatures. Int. J. Hydrogen Energy 2021, 46, 18116–18127. [Google Scholar] [CrossRef]
- Peighambardoust, S.J.; Rowshanzamir, S.; Amjadi, M. Review of the Proton Exchange Membranes for Fuel Cell Applications. Int. J. Hydrogen Energy 2010, 35, 9349–9384. [Google Scholar] [CrossRef]
- Ahmad, S.; Nawaz, T.; Ali, A.; Orhan, M.F.; Samreen, A.; Kannan, A.M. An Overview of Proton Exchange Membranes for Fuel Cells: Materials and Manufacturing. Int. J. Hydrogen Energy 2022, 47, 19086–19131. [Google Scholar] [CrossRef]
- Plazanet, M.; Sacchetti, F.; Petrillo, C.; Demé, B.; Bartolini, P.; Torre, R. Water in a Polymeric Electrolyte Membrane: Sorption/Desorption and Freezing Phenomena. J. Membr. Sci. 2014, 453, 419–424. [Google Scholar] [CrossRef]
- Yang, X.; Sun, J.; Jiang, G.; Sun, S.; Shao, Z.; Yu, H.; Duan, F.; Yang, Y. Experimental Study on Critical Membrane Water Content of Proton Exchange Membrane Fuel Cells for Cold Storage at −50 °C. Energies 2021, 14, 4520. [Google Scholar] [CrossRef]
- Hwang, S.; Lee, H.; Jeong, Y.-G.; Choi, C.; Hwang, I.; Song, S.; Nam, S.Y.; Lee, J.H.; Kim, K. Polymer Electrolyte Membranes Containing Functionalized Organic/Inorganic Composite for Polymer Electrolyte Membrane Fuel Cell Applications. Int. J. Mol. Sci. 2022, 23, 14252. [Google Scholar] [CrossRef] [PubMed]
- Ivanova, N.A.; Ivanov, B.V.; Mensharapov, R.M.; Spasov, D.D.; Sinyakov, M.V.; Nagorny, S.V.; Kazakov, E.D.; Dmitryakov, P.V.; Bakirov, A.V.; Grigoriev, S.A. Features of Electrochemical Hydrogen Pump Based on Irradiated Proton Exchange Membrane. Membranes 2023, 13, 885. [Google Scholar] [CrossRef]
- Madhav, D.; Wang, J.; Keloth, R.; Mus, J.; Buysschaert, F.; Vandeginste, V. A Review of Proton Exchange Membrane Degradation Pathways, Mechanisms, and Mitigation Strategies in a Fuel Cell. Energies 2024, 17, 998. [Google Scholar] [CrossRef]
- Rahbari, A.; Hartkamp, R.; Moultos, O.A.; Bos, A.; van den Broeke, L.J.P.; Ramdin, M.; Dubbeldam, D.; Lyulin, A.V.; Vlugt, T.J.H. Electro-Osmotic Drag and Thermodynamic Properties of Water in Hydrated Nafion Membranes from Molecular Dynamics. J. Phys. Chem. C 2022, 126, 8121–8133. [Google Scholar] [CrossRef]
- Zeng, S.; Zeng, Y.; Song, J.; Meng, Z. Insights Into the Thermal Stability and Proton Transport Mechanism of PTFE-Nafion Composite Membranes. J. Appl. Polym. Sci. 2024, 142, e56563. [Google Scholar] [CrossRef]
- Park, J.-S.; Shin, M.-S.; Kim, C.-S. Proton Exchange Membranes for Fuel Cell Operation at Low Relative Humidity and Intermediate Temperature: An Updated Review. Curr. Opin. Electrochem. 2017, 5, 43–55. [Google Scholar] [CrossRef]
- Safronova, E.Y.; Lysova, A.A.; Voropaeva, D.Y.; Yaroslavtsev, A.B. Approaches to the Modification of Perfluorosulfonic Acid Membranes. Membranes 2023, 13, 721. [Google Scholar] [CrossRef]
- Spasov, D.D.; Ivanova, N.A.; Mensharapov, R.M.; Zasypkina, A.A.; Seregina, E.A.; Grigoriev, S.A.; Fateev, V.N. Nanostructured Pt20/SiO2x/C Electrocatalysts for Water-Balance Stabilization in a Proton Exchange Membrane Fuel Cell. Nanotechnol. Rep. 2022, 17, 320–327. [Google Scholar] [CrossRef]
- Mensharapov, R.M.; Spasov, D.D.; Sinyakov, M.V.; Grineva, D.E.; Nagorny, S.V.; Chumakov, R.G.; Bakirov, A.V.; Ivanova, N.A. Carbon-Supported Pt-SiO2 Catalysts for Oxygen Reduction Reaction in Low-Temperature Range: Rotating Disk Electrode Study. Hydrogen 2025, 6, 5. [Google Scholar] [CrossRef]
- Jalani, N.H.; Dunn, K.; Datta, R. Synthesis and Characterization of Nafion®-MO2 (M = Zr, Si, Ti) Nanocomposite Membranes for Higher Temperature PEM Fuel Cells. Electrochim. Acta 2005, 51, 553–560. [Google Scholar] [CrossRef]
- Safronova, E.Y.; Korchagin, O.V.; Bogdanovskaya, V.A.; Yaroslavtsev, A.B. Chemical Stability of Hybrid Materials Based on Nafion® Membrane and Hydrated Oxides. Membr. Membr. Technol. 2022, 4, 414–422. [Google Scholar] [CrossRef]
- Segale, M.E.; Mokrani, T.; Sigwadi, R.A. Synthesis and Characterization of Enhanced Proton-Conducting Nafion® 117- Silica Composite Membranes for Fuel Cell Applications. J. Nano Res. 2024, 82, 95–116. [Google Scholar] [CrossRef]
- Yin, Y.; Liu, Y.; Wu, H.; Cao, L.; He, X.; Zhang, B.; Wang, C.; Jiang, Z. One-Pot Synthesis of Silica–Titania Binary Nanoparticles with Acid–Base Pairs via Biomimetic Mineralization to Fabricate Highly Proton-Conductive Membranes. J. Mater. Chem. A 2017, 5, 18585–18593. [Google Scholar] [CrossRef]
- Safronova, E.Y.; Yaroslavtsev, A.B. Aquivion Hybrid Membranes Modified with Hydrated Oxides MO2 (M = Si, Ti, Ce): Transport Properties and Chemical Stability. Membr. Membr. Technol. 2024, 6, 325–331. [Google Scholar] [CrossRef]
- Zhang, H.; Shen, P.K. Recent Development of Polymer Electrolyte Membranes for Fuel Cells. Chem. Rev. 2012, 112, 2780–2832. [Google Scholar] [CrossRef]
- Nicotera, I.; Coppola, L.; Rossi, C.O.; Youssry, M.; Ranieri, G.A. NMR Investigation of the Dynamics of Confined Water in Nafion-Based Electrolyte Membranes at Subfreezing Temperatures. J. Phys. Chem. B 2009, 113, 13935–13941. [Google Scholar] [CrossRef]
- Niu, J.; Zhang, S.; Li, Y.; Li, X.; Zhang, J.; Lu, S.; He, Q. Effects of Microstructure on the Retention of Proton Conductivity of Nafion/SiO2 Composite Membranes at Elevated Temperatures:An in Situ SAXS Study. Polymer 2023, 273, 125869. [Google Scholar] [CrossRef]
- Li, J.; Xu, G.; Luo, X.; Xiong, J.; Liu, Z.; Cai, W. Effect of Nano-Size of Functionalized Silica on Overall Performance of Swelling-Filling Modified Nafion Membrane for Direct Methanol Fuel Cell Application. Appl. Energy 2018, 213, 408–414. [Google Scholar] [CrossRef]
- Porozhnyy, M.V.; Shkirskaya, S.A.; Butylskii, D.Y.; Dotsenko, V.V.; Safronova, E.Y.; Yaroslavtsev, A.B.; Deabate, S.; Huguet, P.; Nikonenko, V.V. Physicochemical and Electrochemical Characterization of Nafion-Type Membranes with Embedded Silica Nanoparticles: Effect of Functionalization. Electrochim. Acta 2021, 370, 137689. [Google Scholar] [CrossRef]
- Kim, J.; Park, M.; Kim, S.; Jeon, M. Effect of Ionic Polymer Membrane with Multiwalled Carbon Nanotubes on the Mechanical Performance of Ionic Electroactive Polymer Actuators. Polymers 2020, 12, 396. [Google Scholar] [CrossRef] [PubMed]
- Xu, G.; Wu, Z.; Wei, Z.; Zhang, W.; Wu, J.; Li, Y.; Li, J.; Qu, K.; Cai, W. Non-Destructive Fabrication of Nafion/Silica Composite Membrane via Swelling-Filling Modification Strategy for High Temperature and Low Humidity PEM Fuel Cell. Renew. Energy 2020, 153, 935–939. [Google Scholar] [CrossRef]
- Xu, G.; Dong, X.; Xue, B.; Huang, J.; Wu, J.; Cai, W. Recent Approaches to Achieve High Temperature Operation of Nafion Membranes. Energies 2023, 16, 1565. [Google Scholar] [CrossRef]
- Ng, W.W.; Thiam, H.S.; Pang, Y.L.; Chong, K.C.; Lai, S.O. A State-of-Art on the Development of Nafion-Based Membrane for Performance Improvement in Direct Methanol Fuel Cells. Membranes 2022, 12, 506. [Google Scholar] [CrossRef]
- Li, J.; Fan, K.; Cai, W.; Ma, L.; Xu, G.; Xu, S.; Ma, L.; Cheng, H. An In-Situ Nano-Scale Swelling-Filling Strategy to Improve Overall Performance of Nafion Membrane for Direct Methanol Fuel Cell Application. J. Power Sources 2016, 332, 37–41. [Google Scholar] [CrossRef]
- Xu, G.; Li, S.; Li, J.; Liu, Z.; Li, Y.; Xiong, J.; Cai, W.; Qu, K.; Cheng, H. Targeted Filling of Silica in Nafion by a Modified in Situ Sol–Gel Method for Enhanced Fuel Cell Performance at Elevated Temperatures and Low Humidity. Chem. Commun. 2019, 55, 5499–5502. [Google Scholar] [CrossRef]
- Sgreccia, E.; Narducci, R.; Knauth, P.; Di Vona, M.L. Silica Containing Composite Anion Exchange Membranes by Sol–Gel Synthesis: A Short Review. Polymers 2021, 13, 1874. [Google Scholar] [CrossRef] [PubMed]
- Rahman, I.A.; Vejayakumaran, P.; Sipaut, C.S.; Ismail, J.; Bakar, M.A.; Adnan, R.; Chee, C.K. An Optimized Sol–Gel Synthesis of Stable Primary Equivalent Silica Particles. Colloids Surf. A Physicochem. Eng. Asp. 2007, 294, 102–110. [Google Scholar] [CrossRef]
- Mensharapov, R.M.; Ivanova, N.A.; Spasov, D.D.; Grigoriev, S.A.; Fateev, V.N. SAXS Investigation of the Effect of Freeze/Thaw Cycles on the Nanostructure of Nafion® Membranes. Polymers 2022, 14, 4395. [Google Scholar] [CrossRef]
- Shi, C.; Liu, T.; Chen, W.; Cui, F.; Liu, L.; Cai, Y.; Li, Y. Interaction, Structure and Tensile Property of Swollen Nafion® Membranes. Polymer 2021, 213, 123224. [Google Scholar] [CrossRef]
- Dreyfus, B.; Gebel, G.; Aldebert, P.; Pineri, M.; Escoubes, M.; Thomas, M. Distribution of the «micelles» in Hydrated Perfluorinated Ionomer Membranes from SANS Experiments. J. Phys. 1990, 51, 1341–1354. [Google Scholar] [CrossRef]
- Gebel, G.; Moore, R.B. Small-Angle Scattering Study of Short Pendant Chain Perfuorosulfonated Ionomer Membranes. Macromolecules 2000, 33, 4850–4855. [Google Scholar] [CrossRef]
- Tsao, C.-S.; Chang, H.-L.; Jeng, U.-S.; Lin, J.-M.; Lin, T.-L. SAXS Characterization of the Nafion Membrane Nanostructure Modified by Radiation Cross-Linkage. Polymer 2005, 46, 8430–8437. [Google Scholar] [CrossRef]
- Bordín, S.F.; Andrada, H.E.; Carreras, A.C.; Castellano, G.E.; Oliveira, R.G.; Josa, V.G. Nafion Membrane Channel Structure Studied by Small-Angle X-Ray Scattering and Monte Carlo Simulations. Polymer 2018, 155, 58–63. [Google Scholar] [CrossRef]
- Schmidt-Rohr, K.; Chen, Q. Parallel Cylindrical Water Nanochannels in Nafion Fuel-Cell Membranes. Nat. Mater. 2008, 7, 75–83. [Google Scholar] [CrossRef]
- Kreuer, K.; Portale, G. A Critical Revision of the Nano-Morphology of Proton Conducting Ionomers and Polyelectrolytes for Fuel Cell Applications. Adv. Funct. Mater. 2013, 23, 5390–5397. [Google Scholar] [CrossRef]
- Kusoglu, A.; Weber, A.Z. New Insights into Perfluorinated Sulfonic-Acid Ionomers. Chem. Rev. 2017, 117, 987–1104. [Google Scholar] [CrossRef]
- Gebel, G.; Lambard, J. Small-Angle Scattering Study of Water-Swollen Perfluorinated Ionomer Membranes. Macromolecules 1997, 30, 7914–7920. [Google Scholar] [CrossRef]
- Davis, E.M.; Kim, J.; Oleshko, V.P.; Page, K.A.; Soles, C.L. Uncovering the Structure of Nafion–SiO2 Hybrid Ionomer Membranes for Prospective Large-Scale Energy Storage Devices. Adv. Funct. Mater. 2015, 25, 4064–4075. [Google Scholar] [CrossRef]
- Dresch, M.A.; Matos, B.R.; Fonseca, F.C.; Santiago, E.I.; Carmo, M.; Lanfredi, A.J.C.; Balog, S. Small-Angle X-Ray and Neutron Scattering Study of Nafion-SiO2 Hybrid Membranes Prepared in Different Solvent Media. J. Power Sources 2015, 274, 560–567. [Google Scholar] [CrossRef]
- Yadav, R.; Fedkiw, P.S. Analysis of EIS Technique and Nafion 117 Conductivity as a Function of Temperature and Relative Humidity. J. Electrochem. Soc. 2012, 159, B340. [Google Scholar] [CrossRef]
- Peters, G.S.; Zakharchenko, O.A.; Konarev, P.V.; Karmazikov, Y.V.; Smirnov, M.A.; Zabelin, A.V.; Mukhamedzhanov, E.H.; Veligzhanin, A.A.; Blagov, A.E.; Kovalchuk, M.V. The Small-Angle X-Ray Scattering Beamline BioMUR at the Kurchatov Synchrotron Radiation Source. Nucl. Instrum. Methods Phys. Res. Sect. A Accel. Spectrometers Detect. Assoc. Equip. 2019, 945, 162616. [Google Scholar] [CrossRef]
- Hammersley, A.P. FIT2D: A Multi-Purpose Data Reduction, Analysis and Visualization Program. Appl. Crystallogr. 2016, 49, 646–652. [Google Scholar] [CrossRef]
- Breßler, I.; Kohlbrecher, J.; Thünemann, A.F. SASfit: A Tool for Small-Angle Scattering Data Analysis Using a Library of Analytical Expressions. Appl. Crystallogr. 2015, 48, 1587–1598. [Google Scholar] [CrossRef] [PubMed]
- Deng, Q.; Moore, R.B.; Mauritz, K.A. Nafion®/(SiO2, ORMOSIL, and Dimethylsiloxane) Hybrids Viain Situ Sol-Gel Reactions: Characterization of Fundamental Properties. J. Appl. Polym. Sci. 1998, 68, 747–763. [Google Scholar] [CrossRef]
- Lage, L.; Delgado, P.; Kawano, Y. Thermal Stability and Decomposition of Nafion® Membranes with Different Cations. J. Therm. Anal. Calorim. 2004, 75, 521–530. [Google Scholar] [CrossRef]












| Spherical Domain Model | Cylindrical Channel Model | Lamellar Cluster Model |
|---|---|---|
| Rw = 2.39 nm | Rw = 1.69 nm | dw = 2.16 nm |
| D = 4.80 nm | D = 5.29 nm | dw + dp = 4.88 nm |
| σR = 0.18 | σR = 0.20 | Δ = 0.97 nm |
| z’ = 4.1 | z’ = 2.4 | Ndiff = 12 |
| α = 1.18 | α = 1.25 | N = 14 |
| Parameters | Parameters from Work [43] | The Parameters Obtained in This Study for the SAXS Curve from the [43] | Parameters Obtained for the SAXS Curve from This Study |
|---|---|---|---|
| φw | 0.386 | 0.386 | 0.335 |
| Rw (nm) | 2.44 | 2.44 | 2.39 |
| D (nm) | 4.68 | 4.68 | 4.80 |
| σR | 0.25 | 0.21 | 0.18 |
| z’ | 4.71 | 4.77 | 4.1 |
| α | 1.16 | 1.16 | 1.18 |
| Parameters | SiO2 Content (wt.%) | ||||
|---|---|---|---|---|---|
| 0 | 1 | 3 | 5 | 10 | |
| φw | 0.335 | 0.344 | 0.370 | 0.394 | 0.409 |
| Rw (nm) | 2.39 | 2.22 | 2.00 | 1.95 | 2.08 |
| D (nm) | 4.80 | 4.43 | 3.88 | 3.72 | 3.91 |
| σR | 0.18 | 0.19 | 0.18 | 0.18 | 0.18 |
| Rmod (nm) | 2.39 | 2.39 | 2.46 | 2.52 | 2.53 |
| νmod | 0 | 0.02 | 0.09 | 0.13 | 0.35 |
Disclaimer/Publisher’s Note: The statements, opinions and data contained in all publications are solely those of the individual author(s) and contributor(s) and not of MDPI and/or the editor(s). MDPI and/or the editor(s) disclaim responsibility for any injury to people or property resulting from any ideas, methods, instructions or products referred to in the content. |
© 2025 by the authors. Licensee MDPI, Basel, Switzerland. This article is an open access article distributed under the terms and conditions of the Creative Commons Attribution (CC BY) license (https://creativecommons.org/licenses/by/4.0/).
Share and Cite
Mensharapov, R.M.; Ivanova, N.A.; Bakirov, A.V.; Semkina, A.S.; Patsaev, T.D.; Sinyakov, M.V.; Klein, O.I.; Dmitryakov, P.V.; Zhang, C.; Spasov, D.D. Effects of Sol–Gel Modification on the Microstructure of Nafion Membranes. Polymers 2025, 17, 1542. https://doi.org/10.3390/polym17111542
Mensharapov RM, Ivanova NA, Bakirov AV, Semkina AS, Patsaev TD, Sinyakov MV, Klein OI, Dmitryakov PV, Zhang C, Spasov DD. Effects of Sol–Gel Modification on the Microstructure of Nafion Membranes. Polymers. 2025; 17(11):1542. https://doi.org/10.3390/polym17111542
Chicago/Turabian StyleMensharapov, Ruslan M., Nataliya A. Ivanova, Artem V. Bakirov, Anna S. Semkina, Timofey D. Patsaev, Matvey V. Sinyakov, Olga I. Klein, Petr V. Dmitryakov, Caizhi Zhang, and Dmitry D. Spasov. 2025. "Effects of Sol–Gel Modification on the Microstructure of Nafion Membranes" Polymers 17, no. 11: 1542. https://doi.org/10.3390/polym17111542
APA StyleMensharapov, R. M., Ivanova, N. A., Bakirov, A. V., Semkina, A. S., Patsaev, T. D., Sinyakov, M. V., Klein, O. I., Dmitryakov, P. V., Zhang, C., & Spasov, D. D. (2025). Effects of Sol–Gel Modification on the Microstructure of Nafion Membranes. Polymers, 17(11), 1542. https://doi.org/10.3390/polym17111542

