Research on the Thermal Aging Performance of a GAP-Based Polyurethane Elastomer
Abstract
1. Introduction
2. Materials and Methods
2.1. Materials
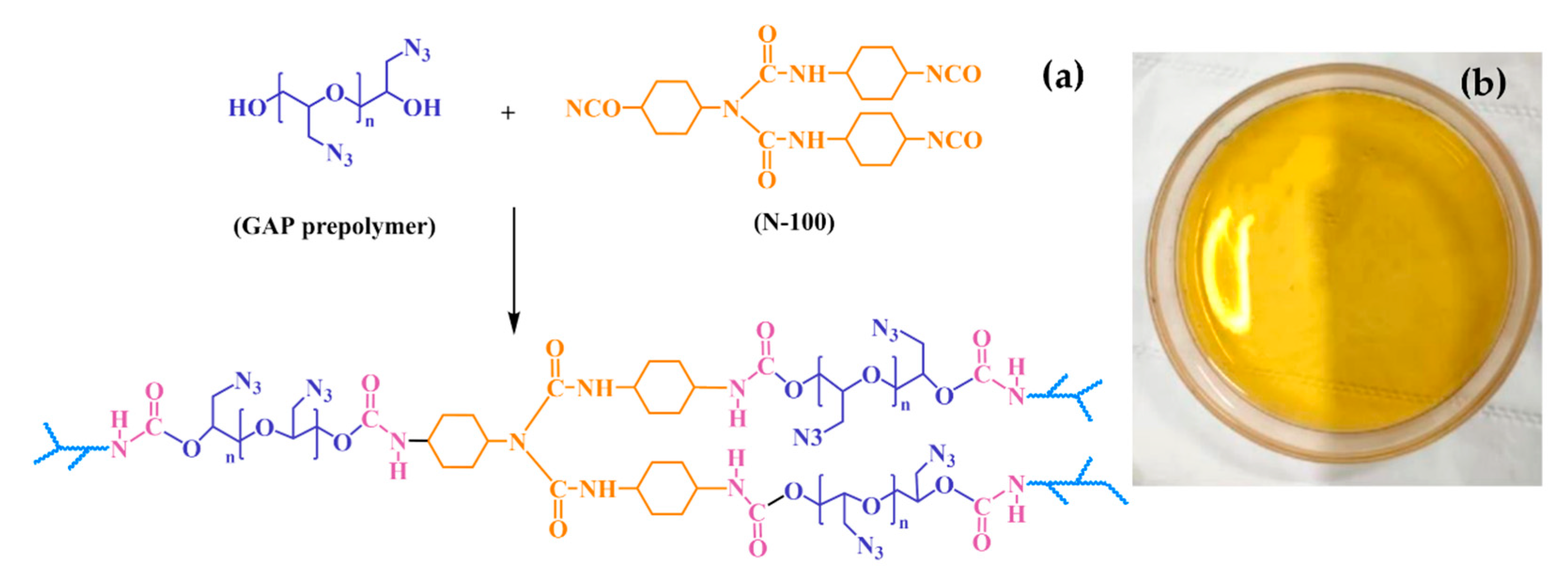
2.2. Preparation of GAP Elastomer
2.3. Methods
2.3.1. Thermal-Accelerated Aging Test
2.3.2. Mechanical Characterization
2.3.3. Thermal Characterization
2.3.4. Chemical Characterization
2.3.5. Crosslinked Network Characteristics
3. Results
3.1. The Thermal Decomposition Behavior of Unaged GAP Elastomers
3.2. Microstructure Evolution of GAP Elastomer during Aging
3.2.1. Chemical-Structure Change
- A(i)—relative absorbance;
- Aabsolute(i)—absorbance of each functional group;
- AISPR(i)—absorbance of the internal-standard reference peak (methylene);
- i—aging time.
- (1)
- Post-curing reaction.
- (2)
- Degradation chain-breaking reaction.
- (a)
- Decomposition of -N3 groups.
- (b)
- Decomposition of -NHCOO- groups.
- (c)
- Decomposition of C-O-C- groups.
3.2.2. Changes in Network Structure
- M(t)—attenuated signal;
- A—proportions of crosslinking chains;
- B—proportions of dangling chains;
- C—proportions of free chains;
- T20, T21, and T22—transverse relaxation time of these three chains;
- q—anisotropy of the crosslinking chains;
- Mrl—dipole moment below the glass-transition temperature.
3.2.3. Change in Activation Energy
- β—the heating rate (K/min−1);
- Tp—the peak temperature of the DSC curve;
- A—the pre-exponential factor;
- R—the ideal gas constant (8.314 J/mol·K);
- Ea—the activation energy (kJ/mol).
3.3. Change in Macroscopic Properties of the GAP Elastomer during Aging
3.3.1. Macro-Morphological Changes
3.3.2. Hardness Variation
3.3.3. Mechanical Property Changes
4. Conclusions
Author Contributions
Funding
Institutional Review Board Statement
Data Availability Statement
Conflicts of Interest
References
- Naseem, H.; Yerra, J.; Murthy, H.; Ramakrishna, P.A. Ageing Studies on AP/HTPB Based Composites Solid Propellants. Energ. Mater. Front. 2021, 2, 111–124. [Google Scholar] [CrossRef]
- Bunyan, P.; Cunliffe, A.V.; Davis, A.; Kirby, F.A. The degradation and stabilization of solid rocket propellants. Polym. Degrad. Stab. 1993, 40, 239–250. [Google Scholar] [CrossRef]
- Keshavarz, M.H.; Karimi, M.; Goodarzi, E.; Hosseini, S.H. The Use of the Change of Elongation for Comparison of the Shelf Life of Composite Solid Propellants in the Air and Nitrogen Atmospheres. Z. Für Anorg. Allg. Chem. 2021, 647, 696–703. [Google Scholar] [CrossRef]
- Özüpek, Ş. Computational Procedure for the Life Assessment of Solid Rocket Motors. J. Spacecr. Rockets 2010, 47, 639–648. [Google Scholar] [CrossRef]
- Trache, D.; Khimeche, K. Study on the Influence of Ageing on Thermal Decomposition of Double-base Propellants and Prediction of Their In-use Time. Fire Mater. 2013, 37, 328–336. [Google Scholar] [CrossRef]
- Kumar Bihari, B.; Kumaraswamy, A.; Jain, M.; Murthy, K.P.S. Assessment of Mechanical Properties of Aged Composite Propellant Using Non-Destructive Indentation Technique in Solid Propellant Rocket Motor. Propellants Explos. Pyrotech. 2022, 47, e202100339. [Google Scholar] [CrossRef]
- Villar, L.D.; da Silva, R.F.; Diniz, M.F.; Takahashi, M.F.K.; Rezende, L.C. The Role of Antioxidant on Propellant Binder Reactivity during Thermal Aging. J. Aerosp. Technol. Manag. 2010, 2, 163–168. [Google Scholar] [CrossRef]
- Elbasuney, S.; Elsaka, E.; Elbeih, A.; Mostafa, H. Novel Composite Solid Propellant with High Resistance to Thermo-Oxidative Degradation Reactions, Extended Shelf Life, and Superior Combustion Characteristics. Cent. Eur. J. Energ. Mater. 2021, 18, 143–158. [Google Scholar] [CrossRef]
- Wang, J.; Cui, H.; Ma, W. Investigation on Aging Model of Solid Propellant Using the Degree of Crosslinking. Int. J. Aerosp. Eng. 2022, 2022, 2700740. [Google Scholar] [CrossRef]
- Chen, C.; Pan, H.; Tu, J.; Chen, J.; Zhang, X.; Mao, C.; Zhou, X. Thermal Aging Mechanism of PBT Energetic Elastomer Based on the Evolution of Microstructure. Mater. Today Chem. 2023, 32, 101655. [Google Scholar] [CrossRef]
- Cerri, S.; Bohn, M.A.; Menke, K.; Galfetti, L. Aging of HTPB/Al/AP Rocket Propellant Formulations Investigated by DMA Measurements. Propellants Explos. Pyrotech. 2013, 38, 190–198. [Google Scholar] [CrossRef]
- Wu, W.; Chen, C.; Fu, X.; Ding, C.; Wang, G. The Correlation between Chemical Stability and Binder Network Structure in NEPE Propellant. Propellants Explos. Pyrotech. 2017, 42, 541–546. [Google Scholar] [CrossRef]
- Akbaş, A.; Aksoy, S.; Hasırcı, N. Effects of Thermal Ageing on the Properties and Lifetime Prediction of Hydroxyl-Terminated Polybutadiene. Polymer 1994, 35, 2568–2572. [Google Scholar] [CrossRef]
- de la Fuente, J.L. An Analysis of the Thermal Aging Behaviour in High-Performance Energetic Composites through the Glass Transition Temperature. Polym. Degrad. Stab. 2009, 94, 664–669. [Google Scholar] [CrossRef]
- Ge, Y.-H.; Kang, J.-Y.; Zhou, J.-H.; Shi, L.-W. Theoretical Investigation on Thermal Aging Mechanism and the Aging Effect on Mechanical Properties of HTPB–IPDI Polyurethane. Comput. Mater. Sci. 2016, 115, 92–98. [Google Scholar] [CrossRef]
- Wang, Z.; Qiang, H. Mechanical Properties of Thermal Aged HTPB Composite Solid Propellant under Confining Pressure. Def. Technol. 2022, 18, 618–625. [Google Scholar] [CrossRef]
- Sui, X.; Wang, N.; Wan, Q.; Bi, S. Effects of Relaxed Modulus on the Structure Integrity of NEPE Propellant Grains during High Temperature Aging. Propellants Explos. Pyrotech. 2010, 35, 535–539. [Google Scholar] [CrossRef]
- Sun, Y.; Ren, H.; Jiao, Q. Comparison of Thermal Behaviors and Decomposition Kinetics of NEPE Propellant before and after Storage. J. Therm. Anal. Calorim. 2018, 131, 101–111. [Google Scholar] [CrossRef]
- Cheng, T. Review of Novel Energetic Polymers and Binders–High Energy Propellant Ingredients for the New Space Race. Des. Monomers Polym. 2019, 22, 54–65. [Google Scholar] [CrossRef]
- Arisawa, H. Thermal Decomposition of Energetic Materials 71: Structure-Decomposition and Kinetic Relationships in Flash Pyrolysis of Glycidyl Azide Polymer (GAP). Combust. Flame 1998, 112, 533–544. [Google Scholar] [CrossRef]
- Wang, T.; Li, S.; Yang, B.; Huang, C.; Li, Y. Thermal Decomposition of Glycidyl Azide Polymer Studied by Synchrotron Photoionization Mass Spectrometry. J. Phys. Chem. B 2007, 111, 2449–2455. [Google Scholar] [CrossRef]
- Eroglu, M.S.; Bostan, M.S. GAP pre-polymer, as an energetic binder and high performance additive for propellants and explosives: A review. Org. Commun. 2017, 10, 135–143. [Google Scholar] [CrossRef]
- Zhang, G.; Wang, J.; Liu, X.; Li, M.; Chen, C.; Wang, N.; Hou, X. Correlation between the Micro-Structure and Macroscopic Mechanical Properties of GAP-Based Propellant during Aging. Polym. Degrad. Stab. 2023, 214, 110411. [Google Scholar] [CrossRef]
- Liu, D.; Geng, D.; Yang, K.; Lu, J.; Chan, S.H.Y.; Chen, C.; Hng, H.H.; Chen, L. Decomposition and Energy-Enhancement Mechanism of the Energetic Binder Glycidyl Azide Polymer at Explosive Detonation Temperatures. J. Phys. Chem. A 2020, 124, 5542–5554. [Google Scholar] [CrossRef]
- Zhao, B.; Zhang, T.; Ge, Z.; Luo, Y. Fabrication and Thermal Decomposition of Glycidyl Azide Polymer Modified Nitrocellulose Double Base Propellants. Sci. China Chem. 2016, 59, 472–477. [Google Scholar] [CrossRef]
- Li, X.; Cao, H.; Zhang, Y. Thermal Degradation Kinetics of Rigid Polyurethane Foams Blown with Water. J. Appl. Polym. Sci. 2006, 102, 4149–4156. [Google Scholar] [CrossRef]
- Sun, Y.; Li, S. The Effect of Nitrate Esters on the Thermal Decomposition Mechanism of GAP. J. Hazard. Mater. 2008, 154, 112–117. [Google Scholar] [CrossRef] [PubMed]
- Zhang, W.; Ren, H.; Sun, Y.; Yan, S.; Jiao, Q. Effects of Ester-Terminated Glycidyl Azide Polymer on the Thermal Stability and Decomposition of GAP by TG-DSC-MS-FTIR and VST. J. Therm. Anal. Calorim. 2018, 132, 1883–1892. [Google Scholar] [CrossRef]
- You, J.-S.; Kweon, J.-O.; Kang, S.-C.; Noh, S.-T. A Kinetic Study of Thermal Decomposition of Glycidyl Azide Polymer (GAP)-Based Energetic Thermoplastic Polyurethanes. Macromol. Res. 2010, 18, 1226–1232. [Google Scholar] [CrossRef]
- Zhang, Y.; Xia, Z.; Huang, H.; Chen, H. Thermal Degradation of Polyurethane Based on IPDI. J. Anal. Appl. Pyrolysis 2009, 84, 89–94. [Google Scholar] [CrossRef]
- Chen, C.; Wang, Y.-X.; Chen, J.-F.; Deng, L.; Mao, C.-L.; Zhou, X. Study on Thermal Aging Properties of PBT Energetic Elastomer. Propellants Explos. Pyrotech. 2023, 48, e202200233. [Google Scholar] [CrossRef]
- Du, Y.; Zheng, J.; Xiong, C. Cross-Linking Density and Aging Constitutive Model of HTPB Coating under Prestrain Thermal Accelerated Aging. Def. Technol. 2020, 16, 439–446. [Google Scholar] [CrossRef]
- Ma, S.; Fan, H.; Zhang, N.; Li, W.; Li, Y.; Li, Y.; Huang, D.; Zeng, L.; Shi, X.; Ran, X.; et al. Investigation of a Low-Toxicity Energetic Binder for a Solid Propellant: Curing, Microstructures, and Performance. ACS Omega 2020, 5, 30538–30548. [Google Scholar] [CrossRef] [PubMed]
- Wen, X.; Zhang, G.; Chen, K.; Yuan, S.; Luo, Y. Enhancing the Performance of an HTPE Binder by Adding a Novel Hyperbranched Multi-Arm Azide Copolyether. Propellants Explos. Pyrotech. 2020, 45, 1065–1076. [Google Scholar] [CrossRef]
- Kissinger, H.E. Reaction Kinetics in Differential Thermal Analysis. Anal. Chem. 1957, 29, 1702–1706. [Google Scholar] [CrossRef]
- Wang, N.; Wan, Q.; Sui, X.; Xiong, Y. Life Prediction of NEPE Propellants. Propellants Explos. Pyrotech. 2014, 39, 102–107. [Google Scholar] [CrossRef]
- Li, Y.; Li, G.; Lyu, W. Microstructure and Mechanical Property Analysis of HTPB Adhesive under Thermal Aging Based on Molecular Dynamic Simulations. Mater. Today Commun. 2024, 38, 107919. [Google Scholar] [CrossRef]
- Deng, S.; Wang, S.; Zhou, H.; Mao, C.; Wang, J. Molecular Dynamics Simulation of Molecular Network Structure and Mechanical Properties of Polymer Matrix in PBT Propellant. Mater. Today Commun. 2023, 35, 105723. [Google Scholar] [CrossRef]









| Low-Temperature Decomposition Stage | High-Temperature Decomposition Stage | |||||||
|---|---|---|---|---|---|---|---|---|
| Ti (°C) | TTD (°C) | Te (°C) | MS (%) | Ti (°C) | TTD (°C) | Te (°C) | MS (%) | |
| N2 | 190.13 | 253.51 | 283.58 | 34.87 | 283.61 | / | 518.57 | 29.63 |
| O2 | 172.73 | 252.41 | 285.26 | 39.28 | 293.77 | 556.61 | 685.93 | 59.58 |
| Heating Rate | 0 | 30 | 60 | 90 | 120 | 160 | |
|---|---|---|---|---|---|---|---|
| Aging Time (d) | |||||||
| 10 K/min | 557.28 | 560.23 | 558.62 | 560.60 | 558.67 | 556.45 | |
| 15 K/min | 577.66 | 577.42 | 578.37 | 580.34 | 579.74 | 583.70 | |
| 20 K/min | 588.63 | 592.29 | 592.07 | 598.84 | 599.12 | 600.24 | |
| Ea (kJ/mol) | 115.53 | 115.86 | 109.64 | 95.61 | 89.46 | 80.39 | |
| A (min−1) | 3686.17 | 3686.17 | 1459.76 | 163.85 | 65.26 | 16.06 | |
Disclaimer/Publisher’s Note: The statements, opinions and data contained in all publications are solely those of the individual author(s) and contributor(s) and not of MDPI and/or the editor(s). MDPI and/or the editor(s) disclaim responsibility for any injury to people or property resulting from any ideas, methods, instructions or products referred to in the content. |
© 2024 by the authors. Licensee MDPI, Basel, Switzerland. This article is an open access article distributed under the terms and conditions of the Creative Commons Attribution (CC BY) license (https://creativecommons.org/licenses/by/4.0/).
Share and Cite
Liu, C.; Zhu, F.; Yang, D.; Bai, C.; Wang, X.; Li, G.; Luo, Y. Research on the Thermal Aging Performance of a GAP-Based Polyurethane Elastomer. Polymers 2024, 16, 795. https://doi.org/10.3390/polym16060795
Liu C, Zhu F, Yang D, Bai C, Wang X, Li G, Luo Y. Research on the Thermal Aging Performance of a GAP-Based Polyurethane Elastomer. Polymers. 2024; 16(6):795. https://doi.org/10.3390/polym16060795
Chicago/Turabian StyleLiu, Chang, Fengdan Zhu, Desheng Yang, Chaofei Bai, Xiaoqing Wang, Guoping Li, and Yunjun Luo. 2024. "Research on the Thermal Aging Performance of a GAP-Based Polyurethane Elastomer" Polymers 16, no. 6: 795. https://doi.org/10.3390/polym16060795
APA StyleLiu, C., Zhu, F., Yang, D., Bai, C., Wang, X., Li, G., & Luo, Y. (2024). Research on the Thermal Aging Performance of a GAP-Based Polyurethane Elastomer. Polymers, 16(6), 795. https://doi.org/10.3390/polym16060795

