The Influence of Strain Rate Behavior on Laminated Glass Interlayer Types for Cured and Uncured Polymers
Abstract
1. Introduction
2. Methodology and Experimental Program
2.1. Specimen Preparation
2.2. Quasi-Static Testing Setup
2.3. Drop Weight Testing Equipment
2.4. Data Processing
3. Experimental Results Interlayer Tests
3.1. Interlayer Material’s Strain Rate Effect
3.1.1. PVB Interlayer
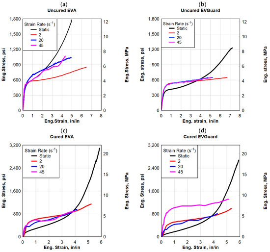
3.1.2. EVA Interlayer
3.1.3. SG Interlayer
3.1.4. TPU Interlayer
3.2. Interlayer Material’s Types Effect
3.2.1. Quasi-Static Strain Rate
3.2.2. Dynamic Strain Rate
3.3. Interlayers Curing Effect
3.3.1. PVB Interlayer
3.3.2. EVA Interlayer
3.3.3. SG Interlayer
3.3.4. TPU Interlayer
3.4. Modes of Failure
4. Conclusions
- Emerging polymers such as TPU and SG showed the largest strength under static and dynamic loads, but that strength was drastically affected under moderate dynamic strain rates.
- The dynamic toughness of SG, which is a good measure of strength and ductility, was the highest of the polymers evaluated. TPU’s toughness under dynamic loads was lower than SG, but it was higher than the other polymers evaluated.
- PVB experienced the most change in response from quasi-static to dynamic rates of loading compared to the other polymers. Also, PVB seemed to improve in all areas under dynamic loads compared to the other polymers.
- The SG stress–strain response was different from the other polymers. It mimicked a ductile material behavior with high linear initial stiffness, yield point, plastic necking, and softening, followed by strain hardening. Other polymers showed a plastic and/or hyper-elastic response.
- The SG polymers experienced noticeable improvements in their response when loaded under high strain loading compared to quasi-static loading. EVA and TPU experienced the least change to their quasi-static responses compared to high strain rate responses.
- With increasing strain rate, the stiffening performance of polymer interlayers was clearly noticeable in the SG tests. One remarkable visual examination from these tests was that SG experienced necking throughout part of the gauge length.
- EVA had the least strength of all the polymers evaluated under static and dynamic loading but had the largest ductility. This combination resulted in EVA having a higher toughness than PVB.
- SG had a similar failure strain response to that of PVB, which was much less than the other polymers, but had higher strength at lower strain values compared to all the other polymers.
- At a set limit on strain of 2 in/in, SG outperformed the other polymers. This indicated that for design, SG could provide the best option provided strain levels are kept at a low range.
- The response of most interlayer polymer materials was significantly altered under dynamic strain rates.
Author Contributions
Funding
Institutional Review Board Statement
Data Availability Statement
Conflicts of Interest
References
- Elbelbisi, A.; Elsisi, A.; Saffarini, M.H.; Salim, H.; Chen, Z. Enhanced Blast Response Simulation of LG Panels Using an Elasto-Damage Model with the Finite Element Method. Buildings 2023, 13, 3025. [Google Scholar] [CrossRef]
- Elbelbisi, A.; El-Sisi, A.; Mahmoud, M.E.; Newberry, M.; Salim, H. Influence of Interlayer Types and Thicknesses on the Blast Performance of Laminated Glass Panels. In Structures; Elsevier: Amsterdam, The Netherlands, 2023; Volume 57, p. 105231. [Google Scholar]
- Centelles, X.; Pelayo, F.; Lamela-Rey, M.J.; Fernández, A.I.; Salgado-Pizarro, R.; Castro, J.R.; Cabeza, L.F. Viscoelastic Characterization of Seven Laminated Glass Interlayer Materials from Static Tests. Constr. Build. Mater. 2021, 279, 122503. [Google Scholar] [CrossRef]
- Norville, H.S.; Harvill, N.; Conrath, E.J.; Shariat, S.; Mallonee, S. Glass-Related Injuries in Oklahoma City Bombing. J. Perform. Constr. Facil. 1999, 13, 50–56. [Google Scholar] [CrossRef]
- López-Aenlle, M.; Noriega, A.; Pelayo, F. Mechanical Characterization of Polyvinil Butyral from Static and Modal Tests on Laminated Glass Beams. Compos. Part B Eng. 2019, 169, 9–18. [Google Scholar] [CrossRef]
- Pelayo, F.; Lamela-Rey, M.J.; Muniz-Calvente, M.; López-Aenlle, M.; Álvarez-Vázquez, A.; Fernández-Canteli, A. Study of the Time-Temperature-Dependent Behaviour of PVB: Application to Laminated Glass Elements. Thin-Walled Struct. 2017, 119, 324–331. [Google Scholar] [CrossRef]
- Kranzer, C.; Gürke, G.; Mayrhofer, C. Testing of Bomb Resistant Glazing Systems. Experimental Investigation of the Time Dependent Deflection of Blast Loaded 7.5 Mm Laminated Glass. In Glass Processing Days; Glaston Corp.: Tampere, Finland, 2005; p. 7. [Google Scholar]
- Norville, H.S.; Conrath, E.J. Blast-Resistant Glazing Design. J. Archit. Eng. 2006, 12, 129–136. [Google Scholar] [CrossRef]
- Martín, M.; Centelles, X.; Solé, A.; Barreneche, C.; Fernández, A.I.; Cabeza, L.F. Polymeric Interlayer Materials for Laminated Glass: A Review. Constr. Build. Mater. 2020, 230, 116897. [Google Scholar] [CrossRef]
- El-Sisi, A.; Bowman, A.; Elbelbisi, A.; Elkilani, A.; Robert, S.; Salim, H.; Nawar, M. Performance of LG Window Systems with Different Materials under Extreme Static Loading. Constr. Build. Mater. 2023, 409, 133923. [Google Scholar] [CrossRef]
- Teotia, M.; Soni, R.K. Polymer Interlayers for Glass Lamination—A Review. Int. J. Sci. Res.(IJSR) 2014, 3, 1264–1270. [Google Scholar]
- Biolzi, L.; Cattaneo, S.; Orlando, M.; Piscitelli, L.R.; Spinelli, P. Constitutive Relationships of Different Interlayer Materials for Laminated Glass. Compos. Struct. 2020, 244, 112221. [Google Scholar] [CrossRef]
- Zhao, S.; Dharani, L.R.; Chai, L.; Barbat, S.D. Dynamic Response of Laminated Automotive Glazing Impacted by Spherical Featureless Headform. Int. J. Crashworthiness 2006, 11, 105–114. [Google Scholar] [CrossRef]
- Elzière, P.; Dalle-Ferrier, C.; Creton, C.; Barthel, É.; Ciccotti, M. Large Strain Viscoelastic Dissipation during Interfacial Rupture in Laminated Glass. Soft Matter 2017, 13, 1624–1633. [Google Scholar] [CrossRef]
- Iwasaki, R.; Sato, C.; Latailladeand, J.L.; Viot, P. Experimental Study on the Interface Fracture Toughness of PVB (Polyvinyl Butyral)/Glass at High Strain Rates. Int. J. Crashworthiness 2007, 12, 293–298. [Google Scholar] [CrossRef]
- Hooper, P.A.; Blackman, B.R.K.; Dear, J.P. The Mechanical Behaviour of Poly (Vinyl Butyral) at Different Strain Magnitudes and Strain Rates. J. Mater. Sci. 2012, 47, 3564–3576. [Google Scholar] [CrossRef]
- El Amrani, A.; Mahrane, A.; Moussa, F.Y.; Boukennous, Y. Solar Module Fabrication. Int. J. Photoenergy 2007, 2007, 027610. [Google Scholar] [CrossRef]
- Earnest, T.R., Jr.; Higgins, J.S.; Handlin, D.L.; MacKnight, W.J. Small-Angle Neutron Scattering from Sulfonate Ionomers. Macromolecules 1981, 14, 192–196. [Google Scholar] [CrossRef]
- Knight, J.T.; El-Sisi, A.A.; Elbelbisi, A.H.; Newberry, M.; Salim, H.A. Mechanical Behavior of Laminated Glass Polymer Interlayer Subjected to Environmental Effects. Polymers 2022, 14, 5113. [Google Scholar] [CrossRef] [PubMed]
- Qi, H.J.; Boyce, M.C. Stress–Strain Behavior of Thermoplastic Polyurethanes. Mech. Mater. 2005, 37, 817–839. [Google Scholar] [CrossRef]
- Centelles, X.; Martín, M.; Solé, A.; Castro, J.R.; Cabeza, L.F. Tensile Test on Interlayer Materials for Laminated Glass under Diverse Ageing Conditions and Strain Rates. Constr. Build. Mater. 2020, 243, 118230. [Google Scholar] [CrossRef]
- Hidallana-Gamage, H.D.; Thambiratnam, D.P.; Perera, N.J. Influence of Interlayer Properties on the Blast Performance of Laminated Glass Panels. Constr. Build. Mater. 2015, 98, 502–518. [Google Scholar] [CrossRef]
- Peng, Y.; Yang, J.; Deck, C.; Willinger, R. Finite Element Modeling of Crash Test Behavior for Windshield Laminated Glass. Int. J. Impact Eng. 2013, 57, 27–35. [Google Scholar] [CrossRef]
- Xu, J.; Li, Y.; Liu, B.; Zhu, M.; Ge, D. Experimental Study on Mechanical Behavior of PVB Laminated Glass under Quasi-Static and Dynamic Loadings. Compos. Part B Eng. 2011, 42, 302–308. [Google Scholar] [CrossRef]
- Zhang, X.; Liu, H.; Maharaj, C.; Zheng, M.; Mohagheghian, I.; Zhang, G.; Yan, Y.; Dear, J.P. Impact Response of Laminated Glass with Varying Interlayer Materials. Int. J. Impact Eng. 2020, 139, 103505. [Google Scholar] [CrossRef]
- El-Sisi, A.; Elbelbisi, A.; Elemam, H.; Elkilani, A.; Newberry, M.; Salim, H. Effect of Glass Type and Thickness on the Static and Blast Response of LG Panels. J. Build. Eng. 2024, 86, 108870. [Google Scholar] [CrossRef]
- Morison, C. The Resistance of Laminated Glass to Blast Pressure Loading and the Coefficients for Single Degree of Freedom Analysis of Laminated Glass. Ph.D. Thesis, Cranfield University, Bedford, UK, 2007. [Google Scholar]
- El-Sisi, A.; Newberry, M.; Knight, J.; Salim, H.; Nawar, M. Static and High Strain Rate Behavior of Aged Virgin PVB. J. Polym. Res. 2022, 29, 39. [Google Scholar] [CrossRef]
- Nawar, M.; Salim, H.; Lusk, B.; Kiger, S. Modeling and Shock Tube Testing of Architectural Glazing Systems for Blast Resistance. J. Struct. Eng. 2015, 141, 04014174. [Google Scholar] [CrossRef]
- Belis, J.; Depauw, J.; Callewaert, D.; Delincé, D.; Van Impe, R. Failure Mechanisms and Residual Capacity of Annealed Glass/SGP Laminated Beams at Room Temperature. Eng. Fail. Anal. 2009, 16, 1866–1875. [Google Scholar] [CrossRef]
- Zhang, X.; Shi, Y.; Hao, H.; Cui, J. The Mechanical Properties of Ionoplast Interlayer Material at High Strain Rates. Mater. Des. 2015, 83, 387–399. [Google Scholar] [CrossRef]
- Shitanoki, Y.; Bennison, S.J.; Koike, Y. Structural Behavior Thin Glass Ionomer Laminates with Optimized Specific Strength and Stiffness. Compos. Struct. 2015, 125, 615–620. [Google Scholar] [CrossRef]
- Weller, B.; Härth, K. Hybrid Structural Elements Made of Glass and Polycarbonate. In Structures & Architecture; CRC Press: Boca Raton, FL, USA, 2010; p. 95. ISBN 9780415492492. [Google Scholar]
- Weller, I.B.; Kothe, D.-C.M. Ageing Behaviour of Polymeric Interlayer Materials and Laminates. Transition 2011, 13, 14. [Google Scholar]
- Belis, J. Recent, Current & Near-Future Research on Structural Glass: COST Action TU0905 ‘Structural Glass: Novel Design Methods and Next Generation Products’; Ghent University Press: Ghent, Belgium, 2012; ISBN 9461970293. [Google Scholar]
- Chmykhova, N.A.; Chesnokov, A.G.; Chesnokov, S.A. Investigation of Strength Properties of Laminated Glass with Different Bonding Materials. In Proceedings of the International Conference on Architectural and Automotive Glass (Glass Performance Days), Tampere, Finland, 24–26 June 2015; pp. 252–254. [Google Scholar]
- Kablov, E.N.; Startsev, V.O. The Influence of Internal Stresses on the Aging of Polymer Composite Materials: A Review. Mech. Compos. Mater. 2021, 57, 565–576. [Google Scholar] [CrossRef]
- Serafinavičius, T.; Lebet, J.-P.; Louter, C.; Lenkimas, T.; Kuranovas, A. Long-Term Laminated Glass Four Point Bending Test with PVB, EVA and SG Interlayers at Different Temperatures. Procedia Eng. 2013, 57, 996–1004. [Google Scholar] [CrossRef]
- Shokrieh, M.M.; Taheri-Behrooz, F. A Unified Fatigue Life Model Based on Energy Method. Compos. Struct. 2006, 75, 444–450. [Google Scholar] [CrossRef]
- Mustafa, G.; Crawford, C.; Suleman, A. Fatigue Life Prediction of Laminated Composites Using a Multi-Scale M-LaF and Bayesian Inference. Compos. Struct. 2016, 151, 149–161. [Google Scholar] [CrossRef]
- Sarfaraz, R.; Vassilopoulos, A.P.; Keller, T. A Hybrid S–N Formulation for Fatigue Life Modeling of Composite Materials and Structures. Compos. Part A Appl. Sci. Manuf. 2012, 43, 445–453. [Google Scholar] [CrossRef]
- Liu, M.; Vallery, R.S.; Gidley, D.W.; Launey, M.E.; Kruzic, J.J. Assessment of the Fatigue Transformation Zone in Bulk Metallic Glasses Using Positron Annihilation Spectroscopy. J. Appl. Phys. 2009, 105, 093501. [Google Scholar] [CrossRef]
- Vedrtnam, A.; Pawar, S.J. Experimental and Simulation Studies on Fatigue Behavior of Laminated Glass Having Polyvinyl Butyral and Ethyl Vinyl Acetate Interlayers. Fatigue Fract. Eng. Mater. Struct. 2018, 41, 1437–1446. [Google Scholar] [CrossRef]
- ASTM D638−10; Standard Test Method for Tensile Properties of Plastics. ASTM International: West Conshohocken, PA, USA, 2010.
- Morison, C.; Zobec, M.; Frenceschet, A. The Measurement of PVB Properties at High Strain Rates, and Their Application in the Design of Laminated Glass under Bomb Blast. In Proceedings of the International Symposium on the Interaction of the Effects of Munitions with Structures. 2007. Available online: https://www.bundeswehr.de/resource/blob/5583830/28f3bc051397ab63d84e832be017945d/download-proceedings-isiems-2007-en-data.pdf (accessed on 1 May 2016).
- Pelfrene, J.; Kuntsche, J.; Van Dam, S.; Van Paepegem, W.; Schneider, J. Critical Assessment of the Post-Breakage Performance of Blast Loaded Laminated Glazing: Experiments and Simulations. Int. J. Impact Eng. 2016, 88, 61–71. [Google Scholar] [CrossRef]
- Baker, A.A. Composite Materials for Aircraft Structures; AIAA: Reston, VA, USA, 2004; ISBN 1600860400. [Google Scholar]
- Elzière, P. Laminated Glass: Dynamic Rupture of Adhesion. Ph.D. Thesis, Université Pierre & Marie Curie-Paris 6, Paris, France, 2016. [Google Scholar]
























| Material | Manufacturer/Product | Thickness in (mm) | Material State |
|---|---|---|---|
| PVB | Estman, Kingsport, TN, USA/Saflex Standard Clear | 0.03 (0.762) | Uncured and cured |
| PVB | Kurary, Houston, TX, USA/Trosifol | 0.03 (0.762) | Uncured and cured |
| EVA | SWM, Alpharetta, GA, USA/SE-381TF | 0.03 (0.762) | Uncured and cured |
| EVA | Salem Fabrication Technologies, Winston-Salem, NC, USA/EVGuard | 0.03 (0.762) | Uncured and cured |
| SG5000 | Kurary, Houston, TX, USA/SG5000 | 0.035 (0.889) | Uncured and cured |
| SG6000 | Kurary, Houston, TX, USA/SG6000 | 0.035 (0.889) | Uncured and cured |
| TPU | SWM, Alpharetta, GA, USA/Krystalflex PE 399 | 0.025 (0.635) | Uncured and cured |
| Polymer | Strain Rate | Yield Stress MPa | Yield Strain mm/mm | Failure Stress MPa | Failure Strain mm/mm | Young’s Modulus MPa | Toughness MPa-mm/mm | |
|---|---|---|---|---|---|---|---|---|
| PVB Saflex | Uncured | Static | - | - | 22.4 | 2.6 | - | 17.93 |
| 2 s−1 | 2.5 | 0.28 | 24.5 | 2.25 | 10.7 | 22 | ||
| 20 s−1 | 11.25 | 0.19 | 24.15 | 1.58 | 66.9 | 23.85 | ||
| 45 s−1 | 16.5 | 0.14 | 28.3 | 1.6 | 190 | 30 | ||
| Cured | Static | - | - | 30.5 | 2.0 | - | 26.3 | |
| 2 s−1 | 11 | 0.12 | 29.25 | 1.75 | 106 | 29.4 | ||
| 20 s−1 | 16.5 | 0.15 | 25.5 | 1.7 | 154.4 | 29.9 | ||
| 45 s−1 | 18.6 | 0.13 | 26.4 | 1.65 | 198 | 28.3 | ||
| PVB Trosifol | Uncured | Static | - | - | 22.4 | 2.56 | - | 18 |
| 2 s−1 | 2.35 | 0.27 | 23 | 2.25 | 9.7 | 20.65 | ||
| 20 s−1 | 1.7 | 0.1 | 20 | 1.87 | 12 | 15.5 | ||
| 45 s−1 | 2.5 | 0.11 | 20.3 | 2.0 | 22.2 | 21.3 | ||
| Cured | Static | - | - | 30 | 2.2 | - | 28 | |
| 2 s−1 | 8 | 0.165 | 30.2 | 1.9 | 70.8 | 30.9 | ||
| 20 s−1 | 13 | 0.136 | 26.2 | 1.55 | 117 | 27 | ||
| 45 s−1 | 13.4 | 0.06 | 25.3 | 1.5 | 206.6 | 24 | ||
| EVA SWM-SE | Uncured | Static | 3.5 | 0.44 | 12.3 | 4.93 | 10.3 | 31.5 |
| 2 s−1 | 3.8 | 0.40 | 5.85 | 6.5 | 8.2 | 29.3 | ||
| 20 s−1 | 3.7 | 0.38 | 7.2 | 4.9 | 9 | 27.4 | ||
| 45 s−1 | 2.9 | 0.22 | 7.4 | 4.3 | 15 | 22 | ||
| Cured | Static | 0.9 | 0.18 | 21.6 | 5.85 | 5.35 | 36.2 | |
| 2 s−1 | 3.6 | 0.43 | 7.9 | 5.25 | 8.5 | 26.6 | ||
| 20 s−1 | 2.5 | 0.23 | 6.5 | 4.15 | 11.4 | 17.4 | ||
| 45 s−1 | 2.75 | 0.25 | 6.2 | 3.8 | 12.2 | 17 | ||
| EVA EVGuard | Uncured | Static | 2.6 | 0.42 | 8.5 | 7.24 | 5.75 | 32.6 |
| 2 s−1 | 3.3 | 0.44 | 4.5 | 6.7 | 6.9 | 26 | ||
| 20 s−1 | 3.0 | 0.35 | 4.5 | 5.1 | 9.6 | 20.1 | ||
| 45 s−1 | 2.9 | 0.24 | 4.5 | 5.1 | 12 | 19.5 | ||
| Cured | Static | - | - | 19.4 | 6.0 | - | 31.3 | |
| 2 s−1 | 2.9 | 0.5 | 6.5 | 5.25 | 7 | 22.4 | ||
| 20 s−1 | 1.8 | 0.29 | 5.6 | 4.3 | 6.8 | 15.4 | ||
| 45 s−1 | 5.5 | 0.35 | 9 | 5.15 | 16 | 37.5 | ||
| SG5000 | Uncured | Static | 30.6 | 0.1 | 30.15 | 2.3 | 316 | 54.25 |
| 2 s−1 | 44 | 0.16 | 30.65 | 0.82 | 282 | 28.6 | ||
| 20 s−1 | 49 | 0.14 | 33.8 | 0.91 | 301 | 35 | ||
| 45 s−1 | 48 | 0.15 | 34.3 | 1.5 | 250 | 51 | ||
| Cured | Static | 32.4 | 0.12 | 44 | 2.65 | 304 | 76.25 | |
| 2 s−1 | 43.7 | 0.13 | 35 | 2.3 | 315 | 80.8 | ||
| 20 s−1 | 47.3 | 0.14 | 27.35 | 1.2 | 380 | 40.7 | ||
| 45 s−1 | 46.2 | 0.12 | 34.8 | 1.57 | 430 | 54 | ||
| SG6000 | Uncured | Static | 30.75 | 0.11 | 40.85 | 2.65 | 285 | 70 |
| 2 s−1 | 42.5 | 0.14 | 22.1 | 1.62 | 293 | 48.5 | ||
| 20 s−1 | 49.25 | 0.13 | 26 | 1.62 | 416 | 56.4 | ||
| 45 s−1 | 50.85 | 0.15 | 35.1 | 2.0 | 466 | 77 | ||
| Cured | Static | 32.2 | 0.09 | 41.2 | 2.1 | 365 | 77.75 | |
| 2 s−1 | 42.7 | 0.36 | 35.8 | 2.53 | 218 | 89.6 | ||
| 20 s−1 | 47.3 | 0.14 | 28.3 | 1.45 | 382 | 50 | ||
| 45 s−1 | 48.1 | 0.13 | 34.7 | 1.7 | 470 | 62.2 | ||
| TPU PE 399 | Uncured | Static | - | - | 58.8 | 4.65 | - | 78.4 |
| 2 s−1 | 2.8 | 0.2 | 27 | 3.9 | 16.3 | 53.7 | ||
| 20 s−1 | 5.5 | 0.25 | 26 | 3.25 | 20.8 | 53 | ||
| 45 s−1 | 5.8 | 0.15 | 25.7 | 3.35 | 30.8 | 52.7 | ||
| Cured | Static | - | - | 66 | 4.4 | - | 78.5 | |
| 2 s−1 | 3.3 | 0.18 | 33 | 4 | 21.8 | 68.2 | ||
| 20 s−1 | 4.7 | 0.17 | 26.4 | 3 | 25.7 | 39.5 | ||
| 45 s−1 | 6.4 | 0.16 | 22.3 | 3.8 | 31.5 | 53.6 | ||
Disclaimer/Publisher’s Note: The statements, opinions and data contained in all publications are solely those of the individual author(s) and contributor(s) and not of MDPI and/or the editor(s). MDPI and/or the editor(s) disclaim responsibility for any injury to people or property resulting from any ideas, methods, instructions or products referred to in the content. |
© 2024 by the authors. Licensee MDPI, Basel, Switzerland. This article is an open access article distributed under the terms and conditions of the Creative Commons Attribution (CC BY) license (https://creativecommons.org/licenses/by/4.0/).
Share and Cite
Elkilani, A.; EL-Emam, H.; Elsisi, A.; Elbelbisi, A.; Salim, H. The Influence of Strain Rate Behavior on Laminated Glass Interlayer Types for Cured and Uncured Polymers. Polymers 2024, 16, 730. https://doi.org/10.3390/polym16060730
Elkilani A, EL-Emam H, Elsisi A, Elbelbisi A, Salim H. The Influence of Strain Rate Behavior on Laminated Glass Interlayer Types for Cured and Uncured Polymers. Polymers. 2024; 16(6):730. https://doi.org/10.3390/polym16060730
Chicago/Turabian StyleElkilani, Ahmed, Hesham EL-Emam, Alaa Elsisi, Ahmed Elbelbisi, and Hani Salim. 2024. "The Influence of Strain Rate Behavior on Laminated Glass Interlayer Types for Cured and Uncured Polymers" Polymers 16, no. 6: 730. https://doi.org/10.3390/polym16060730
APA StyleElkilani, A., EL-Emam, H., Elsisi, A., Elbelbisi, A., & Salim, H. (2024). The Influence of Strain Rate Behavior on Laminated Glass Interlayer Types for Cured and Uncured Polymers. Polymers, 16(6), 730. https://doi.org/10.3390/polym16060730

