Study of Heterogeneity of Ethylene/1-Octene Copolymers Synthesized with Zirconium and Titanium Complexes Bearing Diamine-bis(phenolate) Ligands
Abstract
1. Introduction
2. Materials and Methods
2.1. Materials
2.2. Characterization
2.3. Temperature Rising Elution Fractionation (TREF)
2.4. Solvent/Non-Solvent Fractionation
3. Results and Discussion
3.1. Characterization of Parent Copolymers
3.2. Fractionation of Copolymers Synthesized with L1-Zr
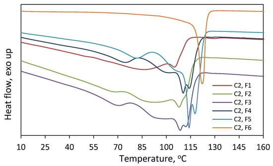
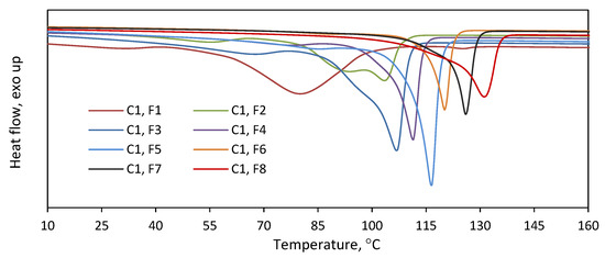
3.2.1. Fractionation by Composition
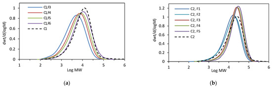
3.2.2. Fractionation by Molecular Weight
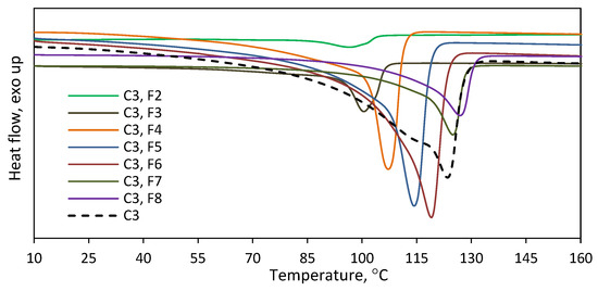
3.3. Fractionation by Composition of Copolymers Synthesized with Titanium Complexes
4. Conclusions
Supplementary Materials
Author Contributions
Funding
Institutional Review Board Statement
Data Availability Statement
Conflicts of Interest
References
- Qasim, M.; Bashir, M.S.; Iqbal, S.; Mahmood, Q. Recent advancements in α-diimine-nickel and -palladium catalysts for ethylene polymerization. Eur. Polym. J. 2021, 160, 110783. [Google Scholar] [CrossRef]
- Polyolefin Elastomers—Properties and Applications of Polyolefin Elastomers (POE). Available online: https://www.azom.com/article.aspx?ArticleID=1959 (accessed on 11 December 2023).
- Li, F.; Liu, W. Progress in the catalyst for ethylene/α-olefin copolymerization at high temperature. Can. J. Chem. Eng. 2023, 101, 4992–5019. [Google Scholar] [CrossRef]
- Patel, M.R. Types and basics of polyethylene. In Handbook of Industrial Polyethylene and Technology: Definitive Guide to Manufacturing, Properties, Processing, Applications and Markets; Spalding, M.A., Chatterjee, A.M., Eds.; Scrivener Publishing LLC: Beverly, MA, USA, 2017; Chapter 4; pp. 105–138. [Google Scholar] [CrossRef]
- Kebritchi, A.; Nekoomansh, M.; Mohammadi, F.; Khonakdar, H.A. The role of 1-hexene comonomer content in thermal behavior of medium density polyethylene (MDPE) synthesized using Phillips catalyst. Polyolefins J. 2014, 1, 117–129. [Google Scholar] [CrossRef]
- Albrecht, A.; Jayaratne, K.; Jeremic, L.; Sumerin, V.; Pakkanen, A. Describing and quantifying the chemical composition distribution in unimodal and multimodal ZN-polyethylene using CRYSTAF. J. Appl. Polym. Sci. 2016, 133, 43089. [Google Scholar] [CrossRef]
- Hornchaiya, C.; Anantawaraskul, S.; Soares, J.B.P.; Mehdiabadi, S. Simultaneous deconvolution of the bivariate molecular weight and chemical composition distribution of ethylene/1-hexene copolymers. Macromol. Chem. Phys. 2019, 220, 1800522. [Google Scholar] [CrossRef]
- Al-Khazaal, A.Z.; Soares, J.B.P. Characterization of ethylene/α-olefin copolymers using high-temperature thermal gradient interaction chromatography. Macromol. Chem. Phys. 2014, 215, 465–475. [Google Scholar] [CrossRef]
- Wang, W.-J.; Kolodka, E.; Zhu, S.; Hamielec, A.E.; Kostanski, L.K. Temperature rising elution fractionation and characterization ofethylene/octene-1 copolymers synthesized with constrained geometry catalyst. Macromol. Chem. Phys. 1999, 200, 2146–2151. [Google Scholar] [CrossRef]
- Matsko, M.A.; Echevskaya, L.G.; Vanina, M.P.; Nikolaeva, M.I.; Mikenas, T.B.; Zakharov, V.A. Study of the compositional heterogeneity of ethylene/1–hexene copolymers produced over supported catalysts of different composition. J. Appl. Polym. Sci. 2012, 126, 2017–2023. [Google Scholar] [CrossRef]
- Vadlamudi, M.; Subramanian, G.; Shanbhag, S.; Alamo, R.G.; Varma-Nair, M.; Fiscus, D.M.; Brown, G.M.; Lu, C.; Ruff, C.J. Molecular weight and branching distribution of a high performance metallocene ethylene 1-hexene copolymer film-grade resin. Macromol. Symp. 2009, 282, 1–13. [Google Scholar] [CrossRef]
- Matsko, M.A.; Echevskaya, L.G.; Zakharov, V.A.; Nikolaeva, M.I.; Mikenas, T.B.; Vanina, M.P. Study of multi-site nature of supported Ziegler-Natta catalysts in ethylene-hexene-1 copolymerization. Macromol. Symp. 2009, 282, 157–166. [Google Scholar] [CrossRef]
- Zhao, Z.; Mikenas, T.B.; Zakharov, V.A.; Nikolaeva, M.I.; Matsko, M.A.; Bessudnova, E.V.; Wu, W. Copolymerization of ethylene with α-olefins over highly active supported ziegler-natta catalyst with vanadium active component. Polyolefins J. 2019, 6, 117–126. [Google Scholar] [CrossRef]
- Sigwinta, M.; Ndiripo, A.; Wewers, F.; Pasch, H. Deformulation of commercial linear low-density polyethylene resins by advanced fractionation and analysis. Polym. Int. 2020, 69, 291–300. [Google Scholar] [CrossRef]
- Xue, Y.; Bo, S.; Ji, X. Calibration curve establishment and fractionation temperature selection of polyethylene for preparative temperature rising elution fractionation. Chin. J. Polym. Sci. 2015, 33, 1000–1008. [Google Scholar] [CrossRef]
- Monrabal, B. Temperature rising elution fractionation and crystallization analysis fractionation. In Encyclopedia of Analytical Chemistry; John Wiley & Sons, Ltd.: Hoboken, NJ, USA, 2006. [Google Scholar] [CrossRef]
- Xu, J.; Feng, L. Application of temperature rising elution fractionation in polyolefns. Eur. Polym. J. 2006, 36, 867–878. [Google Scholar] [CrossRef]
- Müller, A.J.; Arnal, M.L. Thermal fractionation of polymers. Prog. Polym. Sci. 2005, 30, 559–603. [Google Scholar] [CrossRef]
- Pasch, H.; Malik, M.I.; Macko, T. Recent advances in high-temperature fractionation of polyolefins. In Polymer Composites—Polyolefin Fractionation—Polymeric Peptidomimetics—Collagens; Abe, A., Kausch, H.H., Möller, M., Pasch, H., Eds.; Springer: Berlin/Heidelberg, Germany, 2012; Volume 251, pp. 77–140. [Google Scholar] [CrossRef]
- Alghyamah, A.; Soares, J.B.P. Fractionation of ethylene/1-octene copolymers by high-temperature thermal gradient interaction chromatography. Ind. Eng. Chem. Res. 2014, 53, 9228–9235. [Google Scholar] [CrossRef]
- Ndiripo, A.; Pasch, H. On the multimodality of preparative TREF fractionation as detected by advanced analytical methods. Anal. Bioanal. Chem. 2015, 407, 6493–6503. [Google Scholar] [CrossRef] [PubMed]
- Tshuva, E.Y.; Versano, M.; Goldberg, I.; Kol, M.; Weitman, H.; Goldschmidt, Z. Titanium complexes of chelating dianionic amine bis(phenolate) ligands: An extra donor makes a big difference. Inorg. Chem. Comm. 1999, 2, 371–373. [Google Scholar] [CrossRef]
- Tshuva, E.Y.; Goldberg, I.; Kol, M.; Goldschmidt, Z. Zirconium complexes of amine-bis(phenolate) ligands as catalysts for 1-hexene polymerization: Peripheral structural parameters strongly affect reactivity. Organometallics 2001, 20, 3017–3028. [Google Scholar] [CrossRef]
- Białek, M.; Bisz, E. Polypropylene and poly(ethylene-co-1-octene) effective synthesis with diamine-bis(phenolate) complexes: Effect of complex structure on catalyst activity and product microstructure. J. Polym. Sci. Part A Polym. Chem. 2017, 55, 2467–2476. [Google Scholar] [CrossRef]
- Sudoł, M.; Czaja, K.; Białek, M. FT-IR spectrophotometric determination of the composition of ethylene/1-hexane copolymers. Polimery 2000, 45, 405–410. [Google Scholar] [CrossRef]
- Widman, G.; Riesen, R. Thermal Analysis: Terms, Methods, Application; Oehme, F., Ed.; Alfred Huthing: Heidelberg, Germany, 1987; p. 23. [Google Scholar]
- Nikolaeva, M.I.; Matsko, M.A.; Mikenas, T.B.; Echevskaya, L.G.; Zakharov, V.A. Copolymerization of ethylene with α-olefins over supported titanium–magnesium catalysts. I. Effect of polymerization duration on comonomer content and the molecular weight distribution of copolymers. J. Appl. Polym. Sci. 2012, 125, 2034–2041. [Google Scholar] [CrossRef]
- Starck, P. Studies of the comonomer distributions in low density polyethylenes using temperature rising elution fractionation and stepwise crystallization by DSC. Polym. Int. 1996, 40, 111–122. [Google Scholar] [CrossRef]
- Bisz, E.; Białek, M.; Zarychta, B. Synthesis, characterization and catalytic properties for olefin polymerization of two new dimeric zirconium(IV) complexes having diamine-bis(phenolate) and chloride ligands. Appl. Cat. A Gen. 2015, 503, 26–33. [Google Scholar] [CrossRef]
- Bruaseth, I.; Bahr, M.; Gerhard, D.; Rytter, E. Pressure and trimethylaluminum effects on ethene/1-hexene copolymerization with methylaluminoxane-activated (1,2,4-Me3Cp)2ZrCl2: Trimethylaluminum suppression of standard termination reactions after 1-hexene insertion. J. Polym. Sci. Part A Polym. Chem. 2005, 43, 2584–2597. [Google Scholar] [CrossRef]
- Malmberg, K.A.; Lehmus, P.; Löofgren, B.; Seppälä, J.V. Influence of the catalyst and polymerization conditions on the long-chain branching of metallocene-catalyzed polyethenes. J. Polym. Sci. Part A Polym. Chem. 2000, 38, 376–388. [Google Scholar] [CrossRef]
- Białek, M.; Fryga, J.; Spaleniak, G.; Matsko, M.A.; Hajdasz, N. Ethylene homo- and copolymerization catalyzed by vanadium, zirconium, and titanium complexes having potentially tridentate Schiff base ligands. J. Cat. 2021, 400, 184–194. [Google Scholar] [CrossRef]












| Sample | Complex a | Mw × 10−3 [g/mol] | Mw/Mn | X b [%mol] | Absorbance Ratio | ||
|---|---|---|---|---|---|---|---|
| A910/A2020 (Vinyl Group) | A888/A2020 (Vinylidene Group) | A965/A2020 (Trans-Vinylene Groups) | |||||
| C1 | L1-Zr | 14.6 | 3.2 | 3.9 | 0.089 | 0.328 | 0.0 |
| C2 | L1-Zr | 28.0 | 3.1 | 7.4 | 0.168 | 0.714 | 0.162 |
| C3 | L1-Ti | 222 | 3.3 | 3.1 | 0.166 | 0.160 | 0.151 |
| C4 | L2-Ti | 976 | 3.5 | 3.7 | 0.592 | 0.349 | 0.205 |
| Fractions | Solvent/Non-Solvent, mL/mL | Amount of Fraction, g | Share of Fraction, wt% | Mw, g/mol | Mw/Mn | 1-Octene Content, mol% |
|---|---|---|---|---|---|---|
| F1 | 36/144 | 0.322 | 35.0 | 13,800 | 1.50 | 7.3 |
| F2 | 50/130 | 0.167 | 18.1 | 21,900 | 1.81 | 8.0 |
| F3 | 65/115 | 0.250 | 27.1 | 28,500 | 1.46 | 7.5 |
| F4 | 79/101 | 0.169 | 18.4 | 37,400 | 1.45 | 6.4 |
| F5 | 94/86 | 0.013 | 1.4 | nd 1 | nd 1 | nd 1 |
| F6 | 108/72 | 0.0 | - | - | - | - |
| Sample | Fraction | Absorbance Ratio | Ratio of the End Groups a (Vinyl: Vinylidene: Trans-Vinylene) | ||
|---|---|---|---|---|---|
| A910/A2020 (Vinyl Group) | A888/A2020 (Vinylidene Group) | A965/A2020 (Trans-Vinylene Groups) | |||
| C1 | F1 | 0.175 | 0.475 | 0 | 0.37:1:0 |
| F2 | 0.125 | 0.379 | 0 | 0.33:1:0 | |
| F3 | 0.120 | 0.328 | 0 | 0.37:1:0 | |
| F4 | 0.083 | 0.280 | 0 | 0.30:1:0 | |
| C2 | F1 | 0.342 | 1.472 | 0.248 | 0.23:1:0.17 |
| F2 | 0.270 | 1.027 | 0.223 | 0.26:1:0.22 | |
| F3 | 0.230 | 0.873 | 0.183 | 0.26:1:0.21 | |
| F4 | 0.205 | 0.703 | 0.181 | 0,29:1:0.25 | |
| F5 | 0.130 | 0.474 | 0.097 | 0.27:1:0.20 | |
Disclaimer/Publisher’s Note: The statements, opinions and data contained in all publications are solely those of the individual author(s) and contributor(s) and not of MDPI and/or the editor(s). MDPI and/or the editor(s) disclaim responsibility for any injury to people or property resulting from any ideas, methods, instructions or products referred to in the content. |
© 2024 by the authors. Licensee MDPI, Basel, Switzerland. This article is an open access article distributed under the terms and conditions of the Creative Commons Attribution (CC BY) license (https://creativecommons.org/licenses/by/4.0/).
Share and Cite
Białek, M.; Wiechoczek, D. Study of Heterogeneity of Ethylene/1-Octene Copolymers Synthesized with Zirconium and Titanium Complexes Bearing Diamine-bis(phenolate) Ligands. Polymers 2024, 16, 387. https://doi.org/10.3390/polym16030387
Białek M, Wiechoczek D. Study of Heterogeneity of Ethylene/1-Octene Copolymers Synthesized with Zirconium and Titanium Complexes Bearing Diamine-bis(phenolate) Ligands. Polymers. 2024; 16(3):387. https://doi.org/10.3390/polym16030387
Chicago/Turabian StyleBiałek, Marzena, and Dominika Wiechoczek. 2024. "Study of Heterogeneity of Ethylene/1-Octene Copolymers Synthesized with Zirconium and Titanium Complexes Bearing Diamine-bis(phenolate) Ligands" Polymers 16, no. 3: 387. https://doi.org/10.3390/polym16030387
APA StyleBiałek, M., & Wiechoczek, D. (2024). Study of Heterogeneity of Ethylene/1-Octene Copolymers Synthesized with Zirconium and Titanium Complexes Bearing Diamine-bis(phenolate) Ligands. Polymers, 16(3), 387. https://doi.org/10.3390/polym16030387

