Synergistic Enhancement of the High-Temperature Friction and Wear Behavior of PTFE Matrix Composites with the Addition of CF, PEEK, and TiC
Abstract
1. Introduction
2. Experimental Details
2.1. Material Preparation
2.2. Tribological Tests
2.3. Characterization
3. Results and Discussion
4. Conclusions
- (1)
- From 25 to 250 °C, the COFs for composites show a slight fluctuation (0.16–0.24). Due to the softening of the worn surface and the increased diffusion rate of PTFE and PEEK, four composites exhibited the minimum COF at 250 °C. By comparison, the PTCT composite shows the best lubricating performance over the testing temperature (0.16–0.17).
- (2)
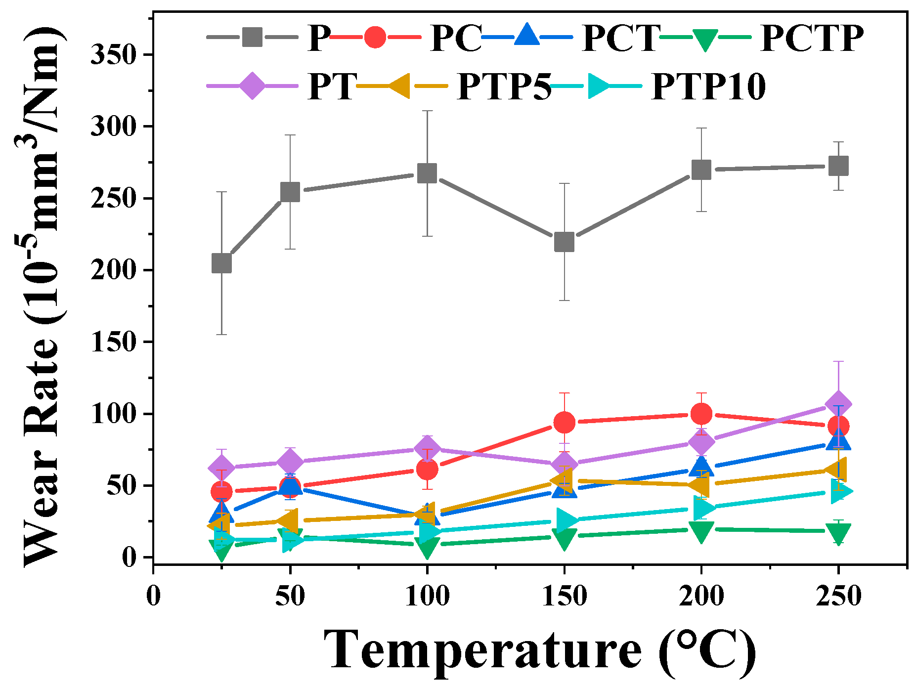
- All six PTFE matrix composites exhibit low wear rates when compared with pure PTFE material; the data decrease from (2.04–2.72) × 10−3 mm3/Nm for pure PTFE material to (0.674–10.6) × 10−4 mm3/Nm for other composites. Overall, the PCTP composite exhibits the best wear resistance properties, with a value below 1.96 × 10−4 mm3/Nm.
- (3)
- From 25 to 250 °C, the effective lubricant and wear resistance performance is attributed to the synergistic effect of TiC/CF and PEEK. The main wear mechanisms are abrasive and fatigue wear at low-to-moderate temperatures (25–100 °C), and these change into abrasive wear from 150 to 250 °C.
- (4)
- In future work, we plan to investigate the influence of extreme testing conditions on the friction and wear behavior for PTFE matrix composites, including ultralow temperatures (−50 °C, −100 °C and −150 °C). The results obtained in this work will provide theoretical guidance for the design and preparation of self-lubricating polymer matrix composites.
Author Contributions
Funding
Data Availability Statement
Conflicts of Interest
References
- Biswas, S.; Vijayan, K. Friction and wear of PTFE—A review. Wear 1992, 158, 193–211. [Google Scholar] [CrossRef]
- Barry, P.; Chiu, P.; Perry, S.; Sawyer, W.; Sinnott, S.; Phillpot, S. Effect of temperature on the friction and wear of PTFE by atomic-level simulation. Tribol. Lett. 2015, 58, 50. [Google Scholar] [CrossRef]
- Liu, H.; Wang, J.; Jiang, P.; Yan, F. Hydrostatic pressure-dependent corrosion behaviour of polytetrafluoroethylene composites in the deep sea. Corros. Sci. 2018, 139, 289–300. [Google Scholar] [CrossRef]
- Wang, N.; Wang, H.; Ren, J.; Gao, G.; Chen, S.; Zhao, G.; Yang, Y.; Wang, J. Novel additive of PTFE@SiO2 core-shell nanoparticles with superior water lubricating properties. Mater. Des. 2020, 195, 109069. [Google Scholar] [CrossRef]
- Sun, W.; Chen, T.; Liu, X.; Jiao, Y.; Zhu, Y.; Ye, J. Microstructure-armored surface and its tribological effects on ultralow-wear PEEK/PTFE composites. Polymer 2024, 291, 126599. [Google Scholar] [CrossRef]
- Lin, Z.; Qu, T.; Zhang, K.; Zhang, Q.; Wang, S.; Wang, G.; Gao, B.; Fan, G. Modeling of contact temperatures and their influence on the tribological performance of PEEK and PTFE in a dual-pin-on-disk tribometer. Friction 2023, 11, 546–566. [Google Scholar] [CrossRef]
- Van Meter, K.; Junk, C.; Campbell, K.; Babuska, T.; Krick, B. Ultralow wear self-mated PTFE composites. Macromolecules 2022, 55, 3924–3935. [Google Scholar] [CrossRef]
- Xue, L.; Xu, Q.; Meng, C.; Lei, S.; Zhang, G.; Tang, M.; Zhai, W.; Yu, H.; Liu, X.; Du, C. Achieving the ultra-low friction and wear rate of PEEK-PTFE composites by Ti3C2Tx MXene reinforcement. Tribol. Int. 2024, 199, 110030. [Google Scholar] [CrossRef]
- Makowiec, M.; Blanchet, T. Improved wear resistance of nanotube- and other carbon-filled PTFE composites. Wear 2017, 374–375, 77–85. [Google Scholar] [CrossRef]
- Zhang, K.; Lin, Z.; Chen, J.; Chen, W.; Wang, D.; Chen, C.; Zhao, X. An ingenious synergistic solid lubricant of copper and graphite for exceptional wear resistance of the SCF/PTFE/PEEK composite. Tribol. Int. 2024, 195, 109583. [Google Scholar] [CrossRef]
- Yang, Y.; Zhu, J.; Hou, K.; Ma, L.; Li, Z.; Jia, W.; Wang, H.; Wang, J.; Yang, S. Friction-induced construction of PTFE-anchored MXene heterogeneous lubricating coating and its in-situ tribological transfer mechanism. Chem. Eng. J. 2022, 442, 136238. [Google Scholar] [CrossRef]
- Hu, Y.; Tan, D.Q.; Xu, C.; He, Q.; Yang, X.Q.; Gao, H.Y.; Lewis, R. Influence of high temperature on the tribological properties of hybrid PTFE/Kevlar fabric composite. Tribol. Int. 2022, 174, 107781. [Google Scholar] [CrossRef]
- Yang, Y.; Yang, G.; Hou, K.; Wang, H.; Wang, N.; Yang, S.; Wang, J. Environmentally-adaptive epoxy lubricating coating using self-assembled pMXene@polytetrafluoroethylene core-shell hybrid as novel additive. Carbon 2021, 184, 12–23. [Google Scholar] [CrossRef]
- Song, W.; Wang, S.; Lu, Y.; Zhang, X.; Xia, Z. Friction behavior of PTFE-coated Si3N4/TiC ceramics fabricated by spray technique under dry friction. Ceram. Int. 2021, 47, 7487–7496. [Google Scholar] [CrossRef]
- Bandaru, A.K.; Weaver, P.M.; O’ Higgins, R.M. Abrasive wear performance of hygrothermally aged glass/PTFE composites. Polym. Test. 2021, 103, 107369. [Google Scholar] [CrossRef]
- Qi, Y.; Sun, B.; Zhang, Y.; Gao, G.; Zhang, P.; Zheng, X. Tribological Properties of Nano-ZrO2 and PEEK reinforced PTFE composites based on molecular dynamics. Lubricants 2023, 11, 194. [Google Scholar] [CrossRef]
- Liu, J.; Guo, T.; Li, X.; Liu, X.; Zhang, L.; Liu, Z.; Pan, D.; Jiao, T. Preparation and tribological properties of PAI/PTFE@Mg-Al LDH polymer-based solid self-lubricating materials. Colloids Surf. A Physicochem. Eng. Asp. 2024, 702, 135154. [Google Scholar] [CrossRef]
- Raut, A.; Nunez, E.E.; Sellers, R.; Rahman, M.S.; Polycarpou, A.A. The effect of reinforcing fillers on the tribological performance of PTFE composites for a sustainable environment. Wear 2024, 556–557, 205524. [Google Scholar] [CrossRef]
- He, Y.; Lin, B.; Wang, Y.; Zhao, F.; Yan, S.; Ning, G.; Bao, X.; Li, H.; Sui, T. Hybrid reinforcing effect of multi-scale short carbon fibers on the wear resistance of PTFE composites: Self-reconstruction and stress transmission. Tribol. Int. 2024, 194, 109510. [Google Scholar] [CrossRef]
- Panin, S.; Luo, J.; Buslovich, D.; Alexenko, V.; Berto, F.; Kornienko, L. Effect of transfer film on tribological properties of anti-Friction PEI- and PI-based composites at elevated temperatures. Polymers 2022, 14, 1215. [Google Scholar] [CrossRef]
- Zhang, Z.; Jia, X.; Guo, F.; Shan, Z.; Wang, Y. Effect of contact forms on the wear of hard silicon surfaces by soft polymers. Friction 2021, 9, 918–928. [Google Scholar] [CrossRef]
- Torres, H.; Ripoll, M.; Prakash, B. Tribological behaviour of self-lubricating materials at high temperatures. Int. Mater. Rev. 2018, 63, 309–340. [Google Scholar] [CrossRef]
- Zhen, J.; Han, Y.; Wang, H.; Jiang, Z.; Wang, L.; Huang, Y.; Jia, Z.; Zhang, R. High temperature friction and wear behavior of PTFE/MoS2 composites. Lubricants 2023, 11, 312. [Google Scholar] [CrossRef]
- Gürgen, S. Wear behavior of UHMWPE composites under oxidative effect. Polym. Degrad. Stab. 2022, 199, 109912. [Google Scholar] [CrossRef]
- Gürgen, S.; Sert, A.; Kuşhan, M. An investigation on wear behavior of UHMWPE/carbide composites at elevated temperatures. J. Appl. Polym. Sci. 2021, 138, 50245. [Google Scholar] [CrossRef]
- Wang, H.; Qi, X.; Zhang, W.; Dong, Y.; Fan, B.; Zhang, Y. Tribological properties of PTFE/Kevlar fabric composites under heavy loading. Tribol. Int. 2020, 151, 106507. [Google Scholar] [CrossRef]
- Chen, Q.; Morita, T.; Sawae, Y.; Fukuda, K.; Sugimura, J. Effects of trace moisture content on tribofilm formation, friction and wear of CF-filled PTFE in hydrogen. Tribol. Int. 2023, 188, 108905. [Google Scholar] [CrossRef]
- Amenta, F.; Bolelli, G.; Pedrazzi, S.; Allesina, G.; Santeramo, F.; Bertarini, A.; Sassatelli, P.; Lusvarghi, L. Sliding wear behaviour of fibre-reinforced PTFE composites against coated and uncoated steel. Wear 2021, 486–487, 204097. [Google Scholar] [CrossRef]
- Lu, G.; Liang, Z.; Qi, X.; Wang, G.; Liu, Y.; Kang, W.; Kim, D. Enhancement of tribological performance of PTFE/aramid fabric liner under high-temperature and heavy-load through incorporation of microcapsule/CF multilayer composite structure. Tribol. Int. 2025, 201, 110239. [Google Scholar] [CrossRef]
- Xu, M.; Li, S.; Wang, T.; Wang, Q.; Tao, L.; Liu, P. Construction of a PTFE-based lubricant film on the surface of Nomex/PTFE fabric to enhance the tribological performance at cryogenic temperatures. Tribol. Int. 2023, 185, 108552. [Google Scholar] [CrossRef]




















| Materials | Composition | PTFE (wt. %) | CF (wt. %) | TiC (wt. %) | PEEK (wt. %) |
|---|---|---|---|---|---|
| PC | PTFE + CF | 95 | 5 | 0 | 0 |
| PCT | PTFE + CF + TiC | 90 | 5 | 5 | 0 |
| PCTP | PTFE + CF + TiC + PEEK | 85 | 5 | 5 | 5 |
| PT | PTFE + TiC | 95 | 0 | 5 | 0 |
| PTP5 | PTFE + TiC + PEEK | 90 | 5 | 5 | |
| PTP10 | PTFE + TiC + PEEK | 85 | 0 | 5 | 10 |
Disclaimer/Publisher’s Note: The statements, opinions and data contained in all publications are solely those of the individual author(s) and contributor(s) and not of MDPI and/or the editor(s). MDPI and/or the editor(s) disclaim responsibility for any injury to people or property resulting from any ideas, methods, instructions or products referred to in the content. |
© 2024 by the authors. Licensee MDPI, Basel, Switzerland. This article is an open access article distributed under the terms and conditions of the Creative Commons Attribution (CC BY) license (https://creativecommons.org/licenses/by/4.0/).
Share and Cite
Yuan, L.; Han, Y.; Zhen, J.; Jia, Z.; Zhang, R. Synergistic Enhancement of the High-Temperature Friction and Wear Behavior of PTFE Matrix Composites with the Addition of CF, PEEK, and TiC. Polymers 2024, 16, 3412. https://doi.org/10.3390/polym16233412
Yuan L, Han Y, Zhen J, Jia Z, Zhang R. Synergistic Enhancement of the High-Temperature Friction and Wear Behavior of PTFE Matrix Composites with the Addition of CF, PEEK, and TiC. Polymers. 2024; 16(23):3412. https://doi.org/10.3390/polym16233412
Chicago/Turabian StyleYuan, Lin, Yunxiang Han, Jinming Zhen, Zhengfeng Jia, and Ran Zhang. 2024. "Synergistic Enhancement of the High-Temperature Friction and Wear Behavior of PTFE Matrix Composites with the Addition of CF, PEEK, and TiC" Polymers 16, no. 23: 3412. https://doi.org/10.3390/polym16233412
APA StyleYuan, L., Han, Y., Zhen, J., Jia, Z., & Zhang, R. (2024). Synergistic Enhancement of the High-Temperature Friction and Wear Behavior of PTFE Matrix Composites with the Addition of CF, PEEK, and TiC. Polymers, 16(23), 3412. https://doi.org/10.3390/polym16233412

