Chemical and Rheological Evaluation of the Ageing Behaviour of High-Content Crumb Rubber Asphalt Binder
Abstract
1. Introduction
2. Research Objectives
- (1)
- Investigate the changes in the chemical composition of asphalt binders before and after ageing using FTIR testing.
- (2)
- Evaluate the rheological properties of asphalt binders before and after ageing using the DSR test.
- (3)
- Discuss the ageing susceptibility of asphalt binder using ageing indices.
- (4)
- Explain the correlation between chemical composition indicators and rheological properties.
3. Materials and Methods
3.1. High-Content Crumb Rubber Asphalt (HCRA) Binder
3.2. Ageing of 70# and HCRAs
4. Experimental Methods
4.1. FTIR
4.2. Frequency Sweep Test
4.3. Multiple Stress Creep Recovery (MSCR) Test
4.4. Linear Amplitude Sweep (LAS) Test
5. Results and Discussion
5.1. Effect of Ageing on the Chemical Composition of the Asphalt Binders
5.2. Effect of Ageing on the Rheological Properties of Asphalt Binder
5.2.1. Frequency Sweep Test Results
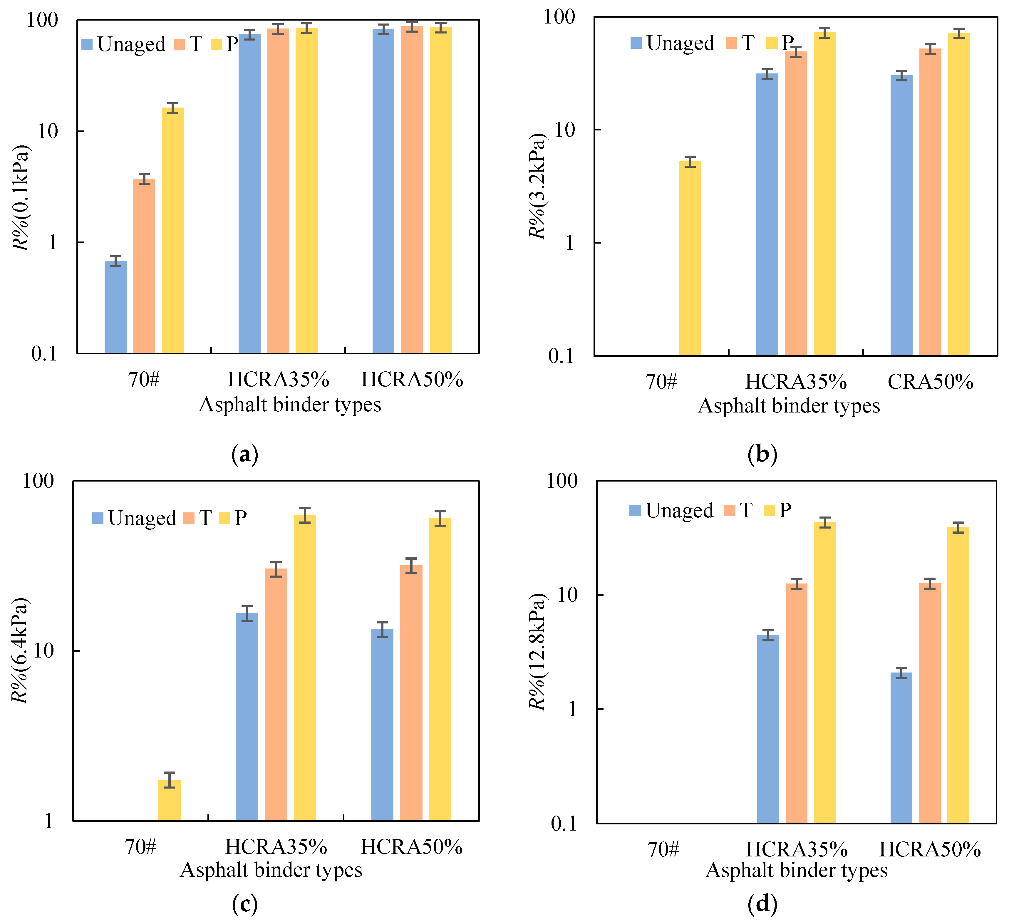
5.2.2. Results of MSCR Test
5.2.3. Results of the LAS Test
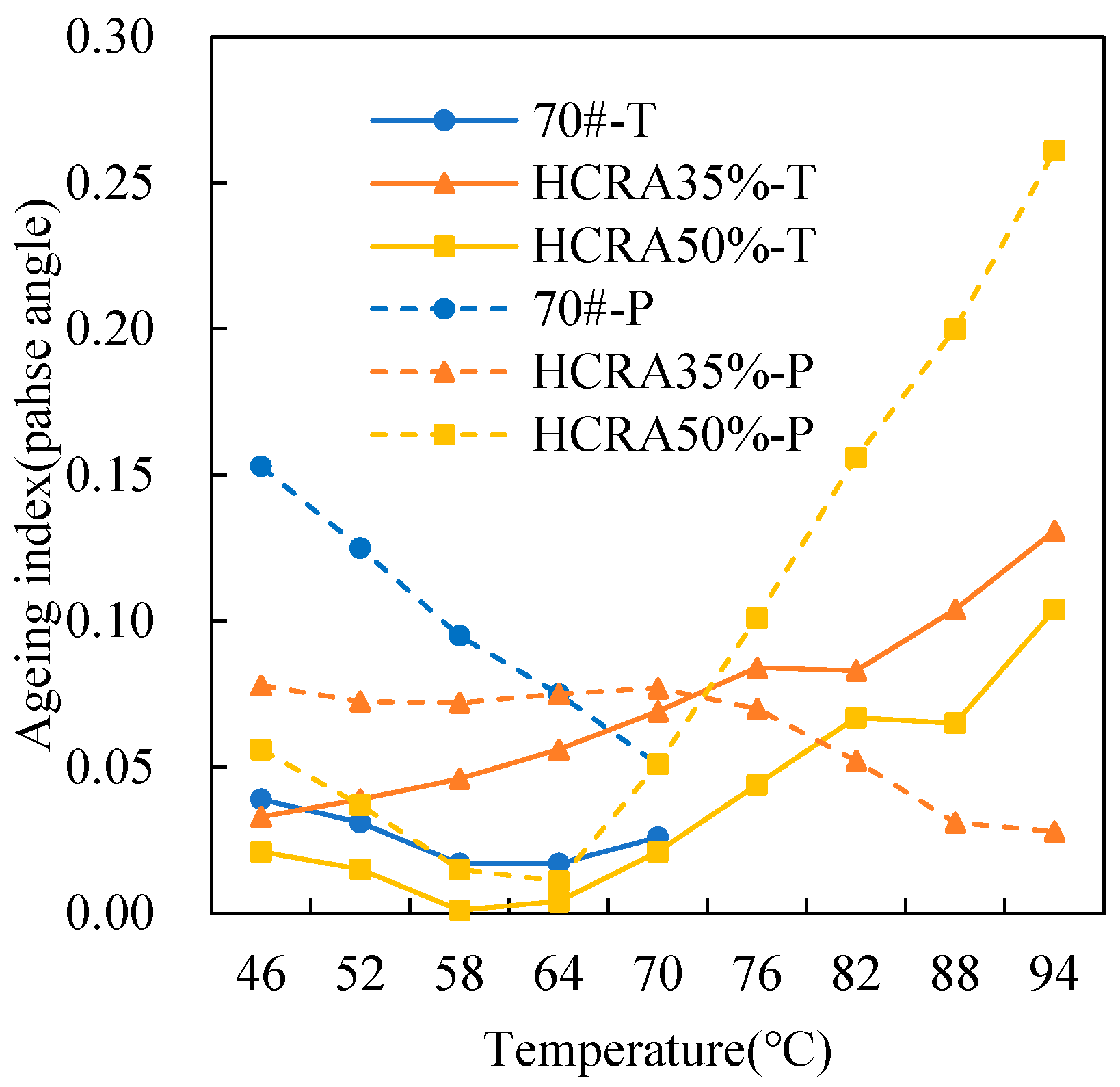
5.3. Ageing Sensitivity of HCRA
5.3.1. Viscoelastic Properties


5.3.2. High-Temperature Performance


5.3.3. Fatigue Performance



5.4. Correlation of Chemical Composition and Rheological Properties

6. Conclusions
- The FTIR analysis revealed that the infrared spectrograms of all asphalt samples remained largely unchanged. However, a progressive increase in I(C=O) and I(S=O) was observed for both 70# and HCRA as ageing progressed, with this trend becoming more evident after long-term ageing. Conversely, I(C=C) exhibited a decreasing trend. In the case of HCRA, as the crumb rubber content increased, the oxidation of carbonyl and sulfoxide groups was found to decelerate, while the increase in I(C=C) was less pronounced. These findings suggest that while ageing affects the chemical indices of both 70# and HCRA, the presence of crumb rubber in HCRA may mitigate the oxidation process.
- DSR tests revealed that ageing has a hardening effect on the asphalt binder, thereby altering the rheological performance characteristics of both 70# and HCRA. Specifically, ageing results in an elevation of G* and a reduction in δ for 70#. In contrast, for HCRA, δ decreases in the low-temperature region but increases in the high-temperature region due to ageing. Furthermore, as the ageing process intensifies, Jnr progressively diminishes, while R% gradually rises in the asphalt binder. Complementary to these findings, the LAS test, which assessed peak stress, the C-D curve, and other indicators, demonstrated that the incorporation of rubber crumb notably enhances the fatigue performance of the asphalt binder.
- The ageing index (AI) was calculated using a specific expression to analyze the rheological property index. Based on this AI, the sensitivity of the rheological properties of 70# and HCRA to ageing was assessed. Additionally, a regression model was developed to establish a relationship between chemical composition and rheological property indicators. This model successfully predicts the rheological properties of both 70# and HCRA using three chemical indicators.
- In conclusion, when comparing asphalt binder with crumb rubber to 70#, it is evident that the former exhibits superior viscoelastic properties, high-temperature performance, fatigue resistance and anti-ageing characteristics.
Author Contributions
Funding
Institutional Review Board Statement
Data Availability Statement
Conflicts of Interest
References
- Joumblat, R.; Kassem, H.; Elkordi, A.; Khatib, J. Use of Alternative Recycled Fillers in Bituminous Mixtures: A Review; Woodhead Publishing: Cambridge, UK, 2024. [Google Scholar]
- Cao, L.; Yang, C.; Li, A.; Wang, P.; Zhang, Y.; Dong, Z. Flue Gas Composition of Waste Rubber Modified Asphalt (WRMA) and Effect of Deodorants on Hazardous Constituents and WRMA. J. Hazard. Mater. 2021, 403, 123814. [Google Scholar] [CrossRef] [PubMed]
- Liu, H.; Zhang, Z.; Li, Z.; Li, N. Effects of Polyphosphoric Acid (PPA), styrene-butadiene-styrene (SBS), or Rock Asphalt on the Performance of Desulfurized Rubber Modified Asphalt. J. Appl. Polym. Sci. 2021, 138, 50621. [Google Scholar] [CrossRef]
- Huang, Y.; Bird, R.N.; Heidrich, O. A Review of the Use of Recycled Solid Waste Materials in Asphalt Pavements. Resour. Conserv. Recycl. 2007, 52, 58–73. [Google Scholar] [CrossRef]
- Wang, H.; Liu, X.; Apostolidis, P.; Scarpas, T. Review of Warm Mix Rubberized Asphalt Concrete: Towards a Sustainable Paving Technology. J. Clean. Prod. 2018, 177, 302–314. [Google Scholar] [CrossRef]
- Han, L.; Zheng, M.; Wang, C. Current Status and Development of Terminal Blend Tyre Rubber Modified Asphalt. Constr. Build. Mater. 2016, 128, 399–409. [Google Scholar] [CrossRef]
- Wang, G.; Wang, X.; Lv, S.; Qin, L.; Peng, X. Laboratory Investigation of Rubberized Asphalt Using High-Content Rubber Powder. Materials 2020, 13, 4437. [Google Scholar] [CrossRef] [PubMed]
- Wang, H.; Liu, X.; Apostolidis, P.; Erkens, S.; Skarpas, A. Experimental Investigation of Rubber Swelling in Bitumen. Transp. Res. Rec. 2020, 2674, 203–212. [Google Scholar] [CrossRef]
- Ghavibazoo, A.; Abdelrahman, M.; Ragab, M. Evaluation of Oxidization of Crumb Rubber–Modified Asphalt during Short-Term Aging. Transp. Res. Rec. J. Transp. Res. Board 2015, 2505, 84–91. [Google Scholar] [CrossRef]
- Wang, S.; Cheng, D.; Xiao, F. Recent Developments in the Application of Chemical Approaches to Rubberized Asphalt. Constr. Build. Mater. 2017, 131, 101–113. [Google Scholar] [CrossRef]
- Cooper, S., Jr. Characterization of HMA Mixtures Containing High Recycled Asphalt Pavement Content with Crumb Rubber Additives. Master’s Thesis, Louisiana State University and Agricultural and Mechanical College, Baton Rouge, LA, USA, 2008. [Google Scholar]
- Gong, M.; Yao, Z.; Xiong, Z.; Yang, J.; Hong, J. Investigation on the Influences of Moisture on Asphalts’ Micro Properties by Using Atomic Force Microscopy and Fourier Transform Infrared Spectroscopy. Constr. Build. Mater. 2018, 183, 171–179. [Google Scholar] [CrossRef]
- Yu, X.; Burnham, N.A.; Tao, M. Surface Microstructure of Bitumen Characterized by Atomic Force Microscopy. Adv. Colloid Interface Sci. 2015, 218, 17–33. [Google Scholar] [CrossRef] [PubMed]
- Ahmed, R.B. Waste Cooking Oil as an Asphalt Rejuvenator: A State-of-the-Art Review. Constr. Build. Mater. 2020, 230, 116985. [Google Scholar] [CrossRef]
- Asli, H.; Ahmadinia, E.; Zargar, M.; Karim, M.R. Investigation on Physical Properties of Waste Cooking Oil—Rejuvenated Bitumen Binder. Constr. Build. Mater. 2012, 37, 398–405. [Google Scholar] [CrossRef]
- Hofko, B.; Hospodka, M. Rolling Thin Film Oven Test and Pressure Aging Vessel Conditioning Parameters: Effect on Viscoelastic Behavior and Binder Performance Grade. Transp. Res. Rec. J. Transp. Res. Board 2016, 2574, 111–116. [Google Scholar] [CrossRef]
- Airey, G.D. State of the Art Report on Ageing Test Methods for Bituminous Pavement Materials. Int. J. Pavement Eng. 2003, 4, 165–176. [Google Scholar] [CrossRef]
- Li, Y.; Feng, J.; Wu, S.; Chen, A.; Kuang, D.; Bai, T.; Gao, Y.; Zhang, J.; Li, L.; Wan, L.; et al. Review of Ultraviolet Ageing Mechanisms and Anti-Ageing Methods for Asphalt Binders. J. Road Eng. 2022, 2, 137–155. [Google Scholar] [CrossRef]
- Lv, S.; Yuan, J.; Peng, X.; Borges Cabrera, M.; Liu, H.; Luo, X.; You, L. Standardization to Evaluate the Lasting Capacity of Rubberized Asphalt Mixtures with Different Testing Approaches. Constr. Build. Mater. 2021, 269, 121341. [Google Scholar] [CrossRef]
- Wu, S.; Pang, L.; Mo, L.; Chen, Y.; Zhu, G. Influence of Aging on the Evolution of Structure, Morphology and Rheology of Base and SBS Modified Bitumen. Constr. Build. Mater. 2009, 23, 1005–1010. [Google Scholar] [CrossRef]
- Jing, R.; Varveri, A.; Liu, X.; Scarpas, A.; Erkens, S. Ageing Effect on Chemo-Mechanics of Bitumen. Road Mater. Pavement Des. 2021, 22, 1044–1059. [Google Scholar] [CrossRef]
- Zhao, Z.; Wang, L.; Wang, W.; Shangguan, X. Experimental Investigation of the High-Temperature Rheological and Aging Resistance Properties of Activated Crumb Rubber Powder/SBS Composite-Modified Asphalt. Polymers 2022, 14, 1905. [Google Scholar] [CrossRef]
- Ilyin, S.O.; Arinina, M.P.; Mamulat, Y.S.; Malkin, A.Y.; Kulichikhin, V.G. Rheological Properties of Road Bitumens Modified with Polymer and Solid Nanosized Additives. Colloid J. 2014, 76, 425–434. [Google Scholar] [CrossRef]
- Abdelrahman, M.A.; Carpenter, S.H. Mechanism of Interaction of Asphalt Cement with Crumb Rubber Modifier. Transp. Res. Rec. J. Transp. Res. Board 1999, 1661, 106–113. [Google Scholar] [CrossRef]
- Wang, H.; Apostolidis, P.; Zhu, J.; Liu, X.; Skarpas, A.; Erkens, S. The Role of Thermodynamics and Kinetics in Rubber–Bitumen Systems: A Theoretical Overview. Int. J. Pavement Eng. 2021, 22, 1785–1800. [Google Scholar] [CrossRef]
- Yu, H.; Leng, Z.; Zhang, Z.; Li, D.; Zhang, J. Selective Absorption of Swelling Rubber in Hot and Warm Asphalt Binder Fractions. Constr. Build. Mater. 2020, 238, 117727. [Google Scholar] [CrossRef]
- Shu, X.; Huang, B. Recycling of Waste Tire Rubber in Asphalt and Portland Cement Concrete: An Overview. Constr. Build. Mater. 2014, 67, 217–224. [Google Scholar] [CrossRef]
- He, L.; Ling, T.; Ma, Y.; Ma, T.; Huang, X. Research on Asphalt Rubber Aging Performance and Characteristics. J. Build. Mater. 2015, 18, 565–571. [Google Scholar]
- Geng, J.; Chen, M.; Xia, C.; Liao, X.; Chen, Z.; Chen, H.; Niu, Y. Quantitative Determination for Effective Rubber Content in Aged Modified Asphalt Binder. J. Clean. Prod. 2022, 331, 129978. [Google Scholar] [CrossRef]
- Li, D.; Leng, Z.; Zou, F.; Yu, H. Effects of Rubber Absorption on the Aging Resistance of Hot and Warm Asphalt Rubber Binders Prepared with Waste Tire Rubber. J. Clean. Prod. 2021, 303, 127082. [Google Scholar] [CrossRef]
- Kataware, A.V.; Singh, D. Effect of Short-Term Ageing on High-Temperature Performance of SBS Modified Binder Containing Warm Mix Asphalt Additives. Road Mater. Pavement Des. 2020, 21, 623–642. [Google Scholar] [CrossRef]
- Zadshir, M.; Ploger, D.; Yu, X.; Sangiorgi, C.; Yin, H. Chemical, Thermophysical, Rheological, and Microscopic Characterisation of Rubber Modified Asphalt Binder Exposed to UV Radiation. Road Mater. Pavement Des. 2020, 21, S123–S139. [Google Scholar] [CrossRef]
- Fethiza Ali, B.; Soudani, K.; Haddadi, S. Effect of Waste Plastic and Crumb Rubber on the Thermal Oxidative Aging of Modified Bitumen. Road Mater. Pavement Des. 2022, 23, 222–233. [Google Scholar] [CrossRef]
- Guo, J.; Chang, C.; Wang, L. Low-Temperature Crack Resistance of High-Content Rubber-Powder-Modified Asphalt Mixture under Freeze–Thaw Cycles. Polymers 2024, 16, 402. [Google Scholar] [CrossRef] [PubMed]
- Ghavibazoo, A.; Abdelrahman, M. Effect of Crumb Rubber Dissolution on Low-Temperature Performance and Aging of Asphalt–Rubber Binder. Transp. Res. Rec. J. Transp. Res. Board 2014, 2445, 47–55. [Google Scholar] [CrossRef]
- Wang, S.; Kang, A.; Huang, W. Evaluation of the Properties of High-Content Degraded Crumb Rubber–Modified Asphalt under Thermal Oxidation and Weathering Aging. Sci. Total Environ. 2024, 955, 177104. [Google Scholar] [CrossRef]
- Tahami, S.A.; Mirhosseini, A.F.; Dessouky, S.; Mork, H.; Kavussi, A. The Use of High Content of Fine Crumb Rubber in Asphalt Mixes Using Dry Process. Constr. Build. Mater. 2019, 222, 643–653. [Google Scholar] [CrossRef]
- Lo Presti, D.; Izquierdo, M.A.; Jiménez Del Barco Carrión, A. Towards Storage-Stable High-Content Recycled Tyre Rubber Modified Bitumen. Constr. Build. Mater. 2018, 172, 106–111. [Google Scholar] [CrossRef]
- Huang, S.-C. Rubber Concentrations on Rheology of Aged Asphalt Binders. J. Mater. Civ. Eng. 2008, 20, 221–229. [Google Scholar] [CrossRef]
- Guo, Y.M.; Chen, W. Influence of Rubber Powder Content on High-Temperature Performance of TOR Rubber Asphalt. Appl. Mech. Mater. 2013, 405–408, 1753–1756. [Google Scholar] [CrossRef]
- Huang, S.-C. Rheological Characteristics of Crumb Rubber-Modified Asphalts with Long-Term Aging. Road Mater. Pavement Des. 2006, 7, 37–56. [Google Scholar] [CrossRef]
- Wang, S.; Huang, W.; Liu, X.; Lin, P. Influence of High Content Crumb Rubber and Different Preparation Methods on Properties of Asphalt under Different Aging Conditions: Chemical Properties, Rheological Properties, and Fatigue Performance. Constr. Build. Mater. 2022, 327, 126937. [Google Scholar] [CrossRef]
- Xiao, F.; Zhao, W.; Amirkhanian, S.N. Laboratory Investigation of Fatigue Characteristics of Rubberized Asphalt Mixtures Containing Warm Asphalt Additives at a Low Temperature. J. Test. Eval. 2011, 39, 290–295. [Google Scholar] [CrossRef]
- Xu, G.; Kong, P.; Yu, Y.; Yang, J.; Zhu, M.; Chen, X. Rheological Properties of Rubber Modified Asphalt as Function of Waste Tire Rubber Reclaiming Degree. J. Clean. Prod. 2022, 332, 130113. [Google Scholar] [CrossRef]
- Wang, D.; Li, D.; Yan, J.; Leng, Z.; Wu, Y.-S.; Yu, J.; Yu, H. Rheological and Chemical Characteristic of Warm Asphalt Rubber Binders and Their Liquid Phases. Constr. Build. Mater. 2018, 193, 547–556. [Google Scholar] [CrossRef]
- Yang, B.; Li, H.; Sun, Y.; Zhang, H.; Liu, J.; Yang, J.; Zhang, X. Chemo-Rheological, Mechanical, Morphology Evolution and Environmental Impact of Aged Asphalt Binder Coupling Thermal Oxidation, Ultraviolet Radiation and Water. J. Clean. Prod. 2023, 388, 135866. [Google Scholar] [CrossRef]
- Huang, W.; Tang, N. Characterizing SBS Modified Asphalt with Sulfur Using Multiple Stress Creep Recovery Test. Constr. Build. Mater. 2015, 93, 514–521. [Google Scholar] [CrossRef]
- Zhang, X.; Tong, P.; Lin, X.; Li, J.; Li, B. Fatigue Characterization of Hard Petroleum Asphalt Based on the Linear Amplitude Sweep Test. Mater. Rep. 2021, 35, 18083–18089. [Google Scholar]
- Wang, H.; Liu, X.; Apostolidis, P.; van de Ven, M.; Erkens, S.; Skarpas, A. Effect of Laboratory Aging on Chemistry and Rheology of Crumb Rubber Modified Bitumen. Mater. Struct. 2020, 53, 26. [Google Scholar] [CrossRef]
- Lamontagne, J. Comparison by Fourier Transform Infrared (FTIR) Spectroscopy of Different Ageing Techniques: Application to Road Bitumens. Fuel 2001, 80, 483–488. [Google Scholar] [CrossRef]
- Yao, H.; Dai, Q.; You, Z. Fourier Transform Infrared Spectroscopy Characterization of Aging-Related Properties of Original and Nano-Modified Asphalt Binders. Constr. Build. Mater. 2015, 101, 1078–1087. [Google Scholar] [CrossRef]
- Chen, T.; Ma, T.; Huang, X.; Guan, Y.; Zhang, Z.; Tang, F. The Performance of Hot-Recycling Asphalt Binder Containing Crumb Rubber Modified Asphalt Based on Physiochemical and Rheological Measurements. Constr. Build. Mater. 2019, 226, 83–93. [Google Scholar] [CrossRef]
- Li, Z.; Fa, C.; Zhao, H.; Zhang, Y.; Chen, H.; Xie, H. Investigation on Evolution of Bitumen Composition and Micro-Structure during Aging. Constr. Build. Mater. 2020, 244, 118322. [Google Scholar] [CrossRef]
- Bi, Y.; Wu, S.; Pei, J.; Wen, Y.; Li, R. Correlation Analysis between Aging Behavior and Rheological Indices of Asphalt Binder. Constr. Build. Mater. 2020, 264, 120176. [Google Scholar] [CrossRef]
- Yan, C.; Yuan, L.; Yu, X.; Ji, S.; Zhou, Z. Characterizing the Fatigue Resistance of Multiple Modified Asphalts Using Time Sweep Test, LAS Test and Elastic Recovery Test. Constr. Build. Mater. 2022, 322, 125806. [Google Scholar] [CrossRef]
- Sabouri, M.; Mirzaiyan, D.; Moniri, A. Effectiveness of Linear Amplitude Sweep (LAS) Asphalt Binder Test in Predicting Asphalt Mixtures Fatigue Performance. Constr. Build. Mater. 2018, 171, 281–290. [Google Scholar] [CrossRef]
- Ashish, P.K.; Singh, D.; Bohm, S. Evaluation of Rutting, Fatigue and Moisture Damage Performance of Nanoclay Modified Asphalt Binder. Constr. Build. Mater. 2016, 113, 341–350. [Google Scholar] [CrossRef]












| Items | Ash (%) | Acetone Extract (%) | Rubber Hydrocarbon (%) | Carbon Black (%) |
|---|---|---|---|---|
| Measured results | 8.0 | 8.0 | 56.0 | 29.0 |
| Indicators | 70# | HCRA35% | HCRA50% |
|---|---|---|---|
| Penetration (0.1 mm, 100 g, 5 s, 25 °C) | 71 | 50 | 49 |
| Ductility (cm, 5 cm/min, 5 °C) | 0.3 | 72 | 75 |
| Softening point (°C) | 46.4 | 66.9 | 65.9 |
| High-temperature performance grading (PG) | PG64 | PG82 | PG82 |
Disclaimer/Publisher’s Note: The statements, opinions and data contained in all publications are solely those of the individual author(s) and contributor(s) and not of MDPI and/or the editor(s). MDPI and/or the editor(s) disclaim responsibility for any injury to people or property resulting from any ideas, methods, instructions or products referred to in the content. |
© 2024 by the authors. Licensee MDPI, Basel, Switzerland. This article is an open access article distributed under the terms and conditions of the Creative Commons Attribution (CC BY) license (https://creativecommons.org/licenses/by/4.0/).
Share and Cite
Ji, Z.; Wang, Z.; Feng, L.; He, P.; Li, S. Chemical and Rheological Evaluation of the Ageing Behaviour of High-Content Crumb Rubber Asphalt Binder. Polymers 2024, 16, 3088. https://doi.org/10.3390/polym16213088
Ji Z, Wang Z, Feng L, He P, Li S. Chemical and Rheological Evaluation of the Ageing Behaviour of High-Content Crumb Rubber Asphalt Binder. Polymers. 2024; 16(21):3088. https://doi.org/10.3390/polym16213088
Chicago/Turabian StyleJi, Zhilian, Zhibin Wang, Lei Feng, Peikai He, and Song Li. 2024. "Chemical and Rheological Evaluation of the Ageing Behaviour of High-Content Crumb Rubber Asphalt Binder" Polymers 16, no. 21: 3088. https://doi.org/10.3390/polym16213088
APA StyleJi, Z., Wang, Z., Feng, L., He, P., & Li, S. (2024). Chemical and Rheological Evaluation of the Ageing Behaviour of High-Content Crumb Rubber Asphalt Binder. Polymers, 16(21), 3088. https://doi.org/10.3390/polym16213088
