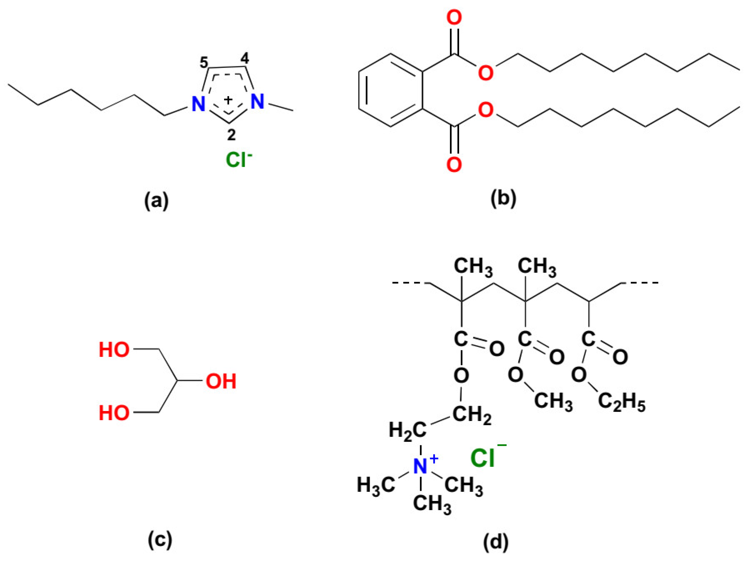
An Imidazolium-Based Ionic Liquid as a Model to Study Plasticization Effects on Cationic Polymethacrylate Films
Abstract
1. Introduction
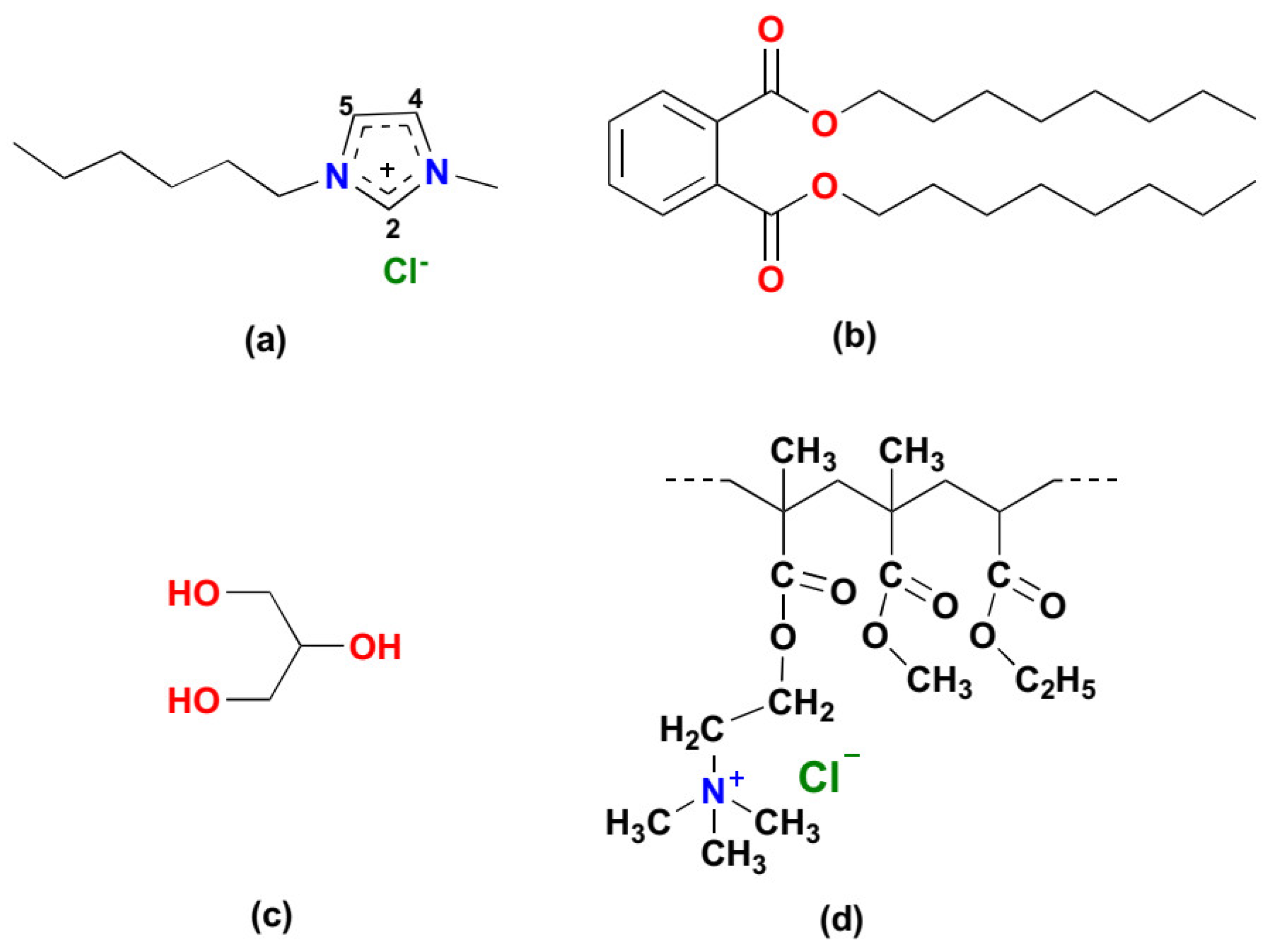
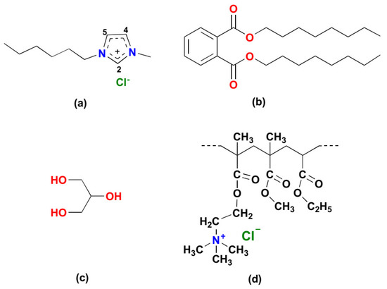
2. Materials and Methods
2.1. Representative Method for Preparation of the Control Film and Plasticized Films
2.2. Determination of Thermophysical Properties of the Fabricated Films
2.3. Determination of Molecular Vibrational Transitions of the Fabricated Films
2.4. Determination of Long-Term Stability of Fabricated Films
2.5. Determination of Stress/Strain Properties of Fabricated Films
2.6. Multiple-Point Thickness Test of the Fabricated Films
2.7. Folding Endurance of Fabricated Plasticized Films
2.8. Mechanistic Profiling of IL-EUD Complex via Molecular Mechanics Simulations
3. Results and Discussion
3.1. Evaluation of Molecular Vibrational Transitions of the Fabricated Films
3.2. Determination of Thermophysical Properties of the Fabricated Films
3.3. Determination of Long-Term Stability, Thickness and Endurance of Fabricated Films
3.4. Determination of Stress/Strain Properties in the Fabricated Films
4. Conclusions
Supplementary Materials
Author Contributions
Funding
Institutional Review Board Statement
Data Availability Statement
Conflicts of Interest
References
- Pei, Y.; Zhang, Y.; Ma, J.; Fan, M.; Zhang, S.; Wang, J. Ionic liquids for advanced materials. Mater. Today Nano 2022, 17, 100159. [Google Scholar] [CrossRef]
- Fitriani, F.; Bilad, M.R.; Aprilia, S.; Arahman, N. Biodegradable hybrid polymer film for packaging: A review. J. Nat. Fibers 2023, 20, 2159606. [Google Scholar] [CrossRef]
- Elanjeitsenni, V.P.; Vadivu, K.S.; Prasanth, B.M. A review on thin films, conducting polymers as sensor devices. Mater. Res. Express 2022, 9, 022001. [Google Scholar] [CrossRef]
- Pünnel, L.C.; Lunter, D.J. Film-forming systems for dermal drug delivery. Pharmaceutics 2021, 13, 932. [Google Scholar] [CrossRef] [PubMed]
- Braun, D.; Cherdron, H.; Rehahn, M.; Ritter, H.; Voit, B. Polymer Synthesis: Theory and Practice Fundamentals, Methods, Experiments; Springer: Heidelberg, Germany, 2013; pp. 352–353. [Google Scholar]
- Vieira, M.G.A.; da Silva, M.A.; dos Santos, L.O.; Beppu, M.M. Natural-based plasticizers and biopolymer films: A review. Eur. Polym. J. 2011, 47, 254–263. [Google Scholar] [CrossRef]
- Rahman, M.; Brazel, C.S. The plasticizer market: An assessment of traditional plasticizers and research trends to meet new challenges. Prog. Polym. Sci. 2004, 29, 1223–1248. [Google Scholar] [CrossRef]
- Piché, C.D.; Sauvageau, D.; Vanlian, M.; Erythropel, H.C.; Robaire, B.; Leask, R.L. Effects of di-(2-ethylhexyl) phthalate and four of its metabolites on steroidogenesis in ma-10 cells. Ecotoxicol. Environ. Saf. 2012, 79, 108–115. [Google Scholar] [CrossRef]
- Scott, M.P.; Brazel, C.S.; Benton, M.G.; Mays, J.W.; Holbrey, J.D.; Rogers, R.D. Application of ionic liquids as plasticizers for poly(methyl methacrylate). Chem. Commun. 2002, 1370–1371. [Google Scholar] [CrossRef] [PubMed]
- Biliaderis, C.G.; Lazaridou, A.; Arvanitoyannis, I. Glass transition and physical properties of polyol-plasticised pullulan–starch blends at low moisture. Carbohydr. Polym. 1999, 40, 29–47. [Google Scholar] [CrossRef]
- Ma, X.; Qiao, C.; Wang, X.; Yao, J.; Xu, J. Structural characterization and properties of polyols plasticized chitosan films. Int. J. Biol. Macromol. 2019, 135, 240–245. [Google Scholar] [CrossRef] [PubMed]
- Jamarani, R.; Erythropel, H.C.; Nicell, J.A.; Leask, R.L.; Marić, M. How green is your plasticizer? Polymers 2018, 10, 834. [Google Scholar] [CrossRef]
- Afonso, J.; Mezzetta, A.; Marrucho, I.M.; Guazzelli, L. History repeats itself again: Will the mistakes of the past for ils be repeated for dess? From being considered ionic liquids to becoming their alternative: The unbalanced turn of deep eutectic solvents. Green Chem. 2023, 25, 59–105. [Google Scholar] [CrossRef]
- Kaur, G.; Kumar, H.; Singla, M. Diverse applications of ionic liquids: A comprehensive review. J. Mol. Liq. 2022, 351, 118556. [Google Scholar] [CrossRef]
- Chen, Y.; Mu, T. Revisiting greenness of ionic liquids and deep eutectic solvents. Green Chem. Eng. 2021, 2, 174–186. [Google Scholar] [CrossRef]
- Li, L.; Zhang, Y.; Sun, Y.; Sun, S.; Shen, G.; Zhao, P.; Cui, J.; Qiao, H.; Wang, Y.; Zhou, H. Manufacturing pure cellulose films by recycling ionic liquids as plasticizers. Green Chem. 2020, 22, 3835–3841. [Google Scholar] [CrossRef]
- Aghmih, K.; Boukhriss, A.; El Bouchti, M.; Ait Chaoui, M.; Majid, S.; Gmouh, S. Introduction of ionic liquids as highly efficient plasticizers and flame retardants of cellulose triacetate films. J. Polym. Environ. 2022, 30, 2905–2918. [Google Scholar] [CrossRef]
- Decaen, P.; Rolland-Sabaté, A.; Colomines, G.; Guilois, S.; Lourdin, D.; Della Valle, G.; Leroy, E. Influence of ionic plasticizers on the processing and viscosity of starch melts. Carbohydr. Polym. 2020, 230, 115591. [Google Scholar] [CrossRef] [PubMed]
- Xu, Y.; Xu, Y.; Sun, C.; Zou, L.; He, J. The preparation and characterization of plasticized pva fibres by a novel glycerol/pseudo ionic liquids system with melt spinning method. Eur. Polym. J. 2020, 133, 109768. [Google Scholar] [CrossRef]
- Serra, J.P.; Pereira, N.; Correia, D.M.; Tubio, C.R.; Vilas-Vilela, J.L.; Costa, C.M.; Lanceros-Mendez, S. Carrageenan-based hybrid materials with ionic liquids for sustainable and recyclable printable pressure sensors. ACS Sustain. Chem. Eng. 2022, 10, 8631–8640. [Google Scholar] [CrossRef]
- Urgoiti-Rodriguez, M.; Vaquero-Vílchez, S.; Mirandona-Olaeta, A.; Fernández de Luis, R.; Goikolea, E.; Costa, C.M.; Lanceros-Mendez, S.; Fidalgo-Marijuan, A.; Ruiz de Larramendi, I. Exploring ionic liquid-laden metal-organic framework composite materials as hybrid electrolytes in metal (ion) batteries. Front. Chem. 2022, 10, 995063. [Google Scholar] [CrossRef]
- Barbosa, J.C.; Correia, D.M.; Salado, M.; Gonçalves, R.; Ferdov, S.; de Zea Bermudez, V.; Costa, C.M.; Lanceros-Mendez, S. Three-component solid polymer electrolytes based on li-ion exchanged microporous silicates and an ionic liquid for solid-state batteries. Adv. Eng. Mater. 2023, 25, 2200849. [Google Scholar] [CrossRef]
- Ptak, S.; Zarski, A.; Kapusniak, J. The importance of ionic liquids in the modification of starch and processing of starch-based materials. Materials 2020, 13, 4479. [Google Scholar] [CrossRef] [PubMed]
- Ferdeghini, C.; Guazzelli, L.; Pomelli, C.S.; Ciccioli, A.; Brunetti, B.; Mezzetta, A.; Vecchio Ciprioti, S. Synthesis, thermal behavior and kinetic study of n-morpholinium dicationic ionic liquids by thermogravimetry. J. Mol. Liq. 2021, 332, 115662. [Google Scholar] [CrossRef]
- Barulli, L.; Mezzetta, A.; Brunetti, B.; Guazzelli, L.; Vecchio Ciprioti, S.; Ciccioli, A. Evaporation thermodynamics of the tetraoctylphosphonium bis(trifluoromethansulfonyl)imide([p8888]ntf2) and tetraoctylphosphonium nonafluorobutane-1-sulfonate ([p8888]nfbs) ionic liquids. J. Mol. Liq. 2021, 333, 115892. [Google Scholar] [CrossRef]
- Chiappe, C.; Mezzetta, A.; Pomelli, C.S.; Puccini, M.; Seggiani, M. Product as reaction solvent: An unconventional approach for ionic liquid synthesis. Org. Process Res. Dev. 2016, 20, 2080–2084. [Google Scholar] [CrossRef]
- Luo, H.; He, X.; Liu, G.; Niu, Y.-H.; Li, G.-X. Dynamics of poly(methyl methacrylate) in ionic liquids with different concentration and cationic structures. Chin. J. Polym. Sci. 2023, 41, 315–324. [Google Scholar] [CrossRef]
- Scott, M.P.; Rahman, M.; Brazel, C.S. Application of ionic liquids as low-volatility plasticizers for pmma. Eur. Polym. J. 2003, 39, 1947–1953. [Google Scholar] [CrossRef]
- Xu, Y.; Xu, H.; Zheng, Q.; Song, Y. Influence of ionic liquid on glass transition, dynamic rheology, and thermal stability of poly(methyl methacrylate)/silica nanocomposites. J. Appl. Polym. Sci. 2019, 136, 48007. [Google Scholar] [CrossRef]
- Patra, C.N.; Priya, R.; Swain, S.; Kumar Jena, G.; Panigrahi, K.C.; Ghose, D. Pharmaceutical significance of eudragit: A review. Future J. Pharm. Sci. 2017, 3, 33–45. [Google Scholar] [CrossRef]
- Paterno, A.; D’Anna, F.; Musumarra, G.; Noto, R.; Scire, S. A multivariate insight into ionic liquids toxicities. RSC Adv. 2014, 4, 23985–24000. [Google Scholar] [CrossRef]
- Romero, A.; Santos, A.; Tojo, J.; Rodríguez, A. Toxicity and biodegradability of imidazolium ionic liquids. J. Hazard. Mater. 2008, 151, 268–273. [Google Scholar] [CrossRef] [PubMed]
- Dobler, D.; Schmidts, T.; Klingenhöfer, I.; Runkel, F. Ionic liquids as ingredients in topical drug delivery systems. Int. J. Pharm. 2013, 441, 620–627. [Google Scholar] [CrossRef] [PubMed]
- Grassiri, B.; Mezzetta, A.; Maisetta, G.; Migone, C.; Fabiano, A.; Esin, S.; Guazzelli, L.; Zambito, Y.; Batoni, G.; Piras, A.M. Betaine- and l-carnitine-based ionic liquids as solubilising and stabilising agents for the formulation of antimicrobial eye drops containing diacerein. Int. J. Mol. Sci. 2023, 24, 2714. [Google Scholar] [CrossRef]
- Tampucci, S.; Guazzelli, L.; Burgalassi, S.; Carpi, S.; Chetoni, P.; Mezzetta, A.; Nieri, P.; Polini, B.; Pomelli, C.S.; Terreni, E.; et al. Ph-responsive nanostructures based on surface active fatty acid-protic ionic liquids for imiquimod delivery in skin cancer topical therapy. Pharmaceutics 2020, 12, 1078. [Google Scholar] [CrossRef]
- Deetlefs, M.; Seddon, K.R. Assessing the greenness of some typical laboratory ionic liquid preparations. Green Chem. 2010, 12, 17–30. [Google Scholar] [CrossRef]
- Prat, D.; Wells, A.; Hayler, J.; Sneddon, H.; McElroy, C.R.; Abou-Shehada, S.; Dunn, P.J. Chem21 selection guide of classical- and less classical-solvents. Green Chem. 2016, 18, 288–296. [Google Scholar] [CrossRef]
- Mandal, B.; Alexander, K.S.; Riga, A.T. Sulfacetamide loaded eudragit® rl100 nanosuspension with potential for ocular delivery. J. Pharm. Pharm. Sci. 2010, 13, 510–523. [Google Scholar] [CrossRef]
- Ramenskaya, L.M.; Grishina, E.P. Intensification phenomenon of weak ionic interactions of 1-butyl-3-methylimidazolium hexafluorophosphate ionic liquid macro-dispersed in poly(methyl methacrylate): Ftir spectroscopic evidence. J. Mol. Liq. 2016, 218, 133–137. [Google Scholar] [CrossRef]
- Lin, S.-Y.; Chen, K.-S.; Run-Chu, L. Organic esters of plasticizers affecting the water absorption, adhesive property, glass transition temperature and plasticizer permanence of eudragit acrylic films. J. Control. Release 2000, 68, 343–350. [Google Scholar] [CrossRef]
- Rynkowska, E.; Fatyeyeva, K.; Kujawa, J.; Dzieszkowski, K.; Wolan, A.; Kujawski, W. The effect of reactive ionic liquid or plasticizer incorporation on the physicochemical and transport properties of cellulose acetate propionate-based membranes. Polymers 2018, 10, 86. [Google Scholar] [CrossRef]
- Vijaya, R.; Ruckmani, K. In vitro and in vivo characterization of the transdermal delivery of sertraline hydrochloride films. Daru 2011, 19, 424–432. [Google Scholar] [PubMed]
- Kiefer, J.; Pye, C.C. Structure of the room-temperature ionic liquid 1-hexyl-3-methylimidazolium hydrogen sulfate: Conformational isomerism. J. Phys. Chem. A 2010, 114, 6713–6720. [Google Scholar] [CrossRef] [PubMed]
- Zornio, C.F.; Sébastien, L.; Duchet-Rumeau, J.; Gerard, J.-F. Ionic liquid-nanostructured poly(methyl methacrylate). Nanomaterials 2019, 9, 1376. [Google Scholar]









| Sample | Plasticizer 1 |
|---|---|
| Pristine-Film (PF) | - |
| [HMIM]Cl-RL100 | [HMIM]Cl |
| DOP-RL100 | DOP |
| GLY-RL100 | Glycerol |
| Blend-RL100 | [HMIM]Cl & DOP |
| Plasticizer | Concentration [% w/w] 1 | Stability (Loss of Mass in mg) | Average Thickness (mm) | Endurance (# of Maximum Folds) |
|---|---|---|---|---|
| Pristine | 0% | 32.7 | 0.37 | 205 |
| DOP | 1% | 6.4 | 0.29 | 200 |
| 2% | 19.7 | 0.41 | 198 | |
| 5% | 10.8 | 0.28 | 207 | |
| 10% | 6.2 | 0.24 | 236 | |
| 20% | 5.0 | 0.36 | 239 | |
| 30% | 15.0 | 0.39 | 212 | |
| 50% | 5.3 | 0.42 | 215 | |
| [HMIM]Cl | 1% | 12.6 | 0.26 | 195 |
| 2% | 20.4 | 0.26 | 213 | |
| 5% | 24.3 | 0.25 | 226 | |
| 10% | 34.1 | 0.24 | 265 | |
| 20% | 26.2 | 0.22 | 269 | |
| 30% | 11.6 | 0.26 | 218 | |
| 50% | 12.2 | 0.24 | 232 | |
| Blend | 1% | 8.6 | 0.30 | 199 |
| 2% | 12.5 | 0.28 | 242 | |
| 5% | 54.6 | 0.32 | 245 | |
| 10% | 40.4 | 0.28 | 251 | |
| 20% | 7.6 | 0.25 | 248 | |
| 30% | 19.6 | 0.22 | 231 | |
| 50% | 2.2 | 0.29 | 238 | |
| Glycerol | 1% | 8.6 | 0.30 | 199 |
| 2% | 12.5 | 0.28 | 242 | |
| 5% | 54.6 | 0.32 | 245 | |
| 10% | 15.6 | 0.47 | 220 | |
| 20% | 7.6 | 0.44 | 229 | |
| 30% | 12.4 | 0.54 | 234 | |
| 50% | 2.5 | 0.48 | 234 |
| Molecular Attributes 1,2 | IL | Eudragit | IL-EUD | ΔE |
|---|---|---|---|---|
| Total energy | 17.496 | 38.216 | 33.380 | −22.332 |
| Bond energy | 0.175 | 3.834 | 2.773 | −1.236 |
| Angle energy | 16.095 | 17.034 | 23.653 | −9.476 |
| Dihedral angle energy | 1.203 | 11.749 | 12.752 | −0.2 |
| van der Waals energy | 0.023 | 5.598 | −10.417 | −16.038 |
| Electrostatic energy | 0.0 | 0.0 | 4.619 | +4.619 |
Disclaimer/Publisher’s Note: The statements, opinions and data contained in all publications are solely those of the individual author(s) and contributor(s) and not of MDPI and/or the editor(s). MDPI and/or the editor(s) disclaim responsibility for any injury to people or property resulting from any ideas, methods, instructions or products referred to in the content. |
© 2023 by the authors. Licensee MDPI, Basel, Switzerland. This article is an open access article distributed under the terms and conditions of the Creative Commons Attribution (CC BY) license (https://creativecommons.org/licenses/by/4.0/).
Share and Cite
Marimuthu, T.; Sidat, Z.; Kumar, P.; Choonara, Y.E. An Imidazolium-Based Ionic Liquid as a Model to Study Plasticization Effects on Cationic Polymethacrylate Films. Polymers 2023, 15, 1239. https://doi.org/10.3390/polym15051239
Marimuthu T, Sidat Z, Kumar P, Choonara YE. An Imidazolium-Based Ionic Liquid as a Model to Study Plasticization Effects on Cationic Polymethacrylate Films. Polymers. 2023; 15(5):1239. https://doi.org/10.3390/polym15051239
Chicago/Turabian StyleMarimuthu, Thashree, Zainul Sidat, Pradeep Kumar, and Yahya E. Choonara. 2023. "An Imidazolium-Based Ionic Liquid as a Model to Study Plasticization Effects on Cationic Polymethacrylate Films" Polymers 15, no. 5: 1239. https://doi.org/10.3390/polym15051239
APA StyleMarimuthu, T., Sidat, Z., Kumar, P., & Choonara, Y. E. (2023). An Imidazolium-Based Ionic Liquid as a Model to Study Plasticization Effects on Cationic Polymethacrylate Films. Polymers, 15(5), 1239. https://doi.org/10.3390/polym15051239

