Kinetics of Polycycloaddition of Flexible α-Azide-ω-Alkynes Having Different Spacer Length
Abstract
1. Introduction
2. Materials and Methods
2.1. Materials
2.2. Methods
3. Calculations
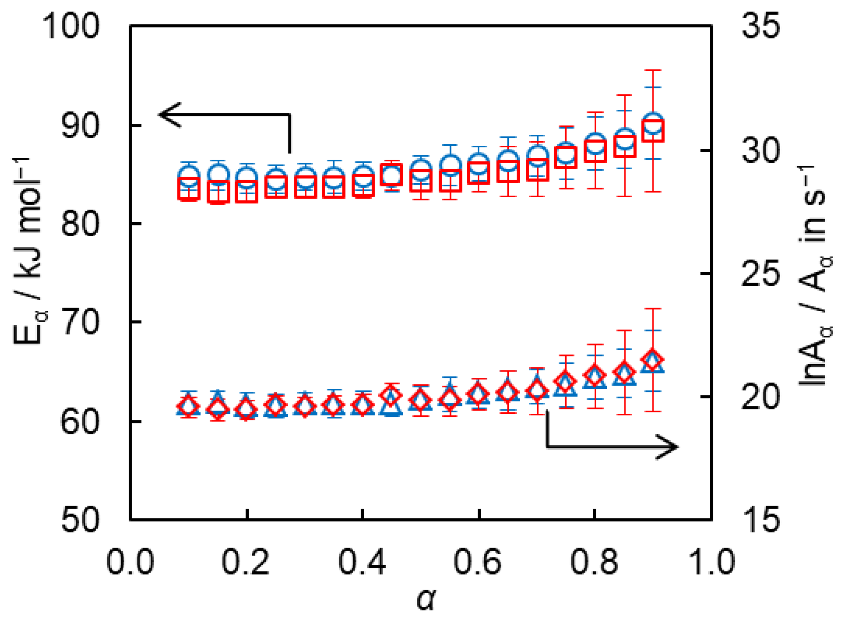
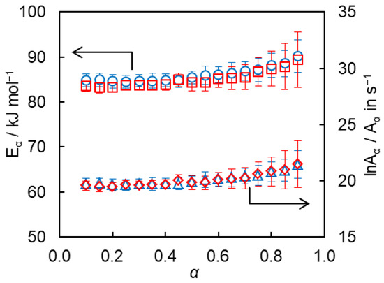
4. Results and Discussion
5. Conclusions
Supplementary Materials
Author Contributions
Funding
Institutional Review Board Statement
Data Availability Statement
Conflicts of Interest
References
- Sheng, X.; Mauldin, T.C.; Kessler, M.R. Kinetics of bulk azide/alkyne “click” polymerization. J. Polym. Sci. Part A Polym. Chem. 2010, 48, 4093–4102. [Google Scholar] [CrossRef]
- Döhler, D.; Michael, P.; Binder, W.H. CuAAC-Based Click Chemistry in Self-Healing Polymers. Acc. Chem. Res. 2017, 50, 2610–2620. [Google Scholar] [CrossRef] [PubMed]
- Kargarfard, N.; Diedrich, N.; Rupp, H.; Döhler, D.; Binder, W.H. Improving Kinetics of “Click-Crosslinking” for Self-Healing Nanocomposites by Graphene-Supported Cu-Nanoparticles. Polymers 2018, 10, 17. [Google Scholar] [CrossRef] [PubMed]
- Kantheti, S.; Sarath, P.S.; Narayan, R.; Raju, K.V.S.N. Synthesis and characterization of triazole rich polyether polyols using click chemistry for highly branched polyurethanes. React. Funct. Polym. 2013, 73, 1597–1605. [Google Scholar] [CrossRef]
- Sykam, K.; Donempudi, S.; Basak, P. 1,2,3-Triazole rich polymers for flame retardant application: A review. J. Appl. Polym. Sci. 2022, 139, e52771. [Google Scholar] [CrossRef]
- Sykam, K.; Donempudi, S. Novel multifunctional hybrid diallyl ether monomer via azide alkyne click reaction as crosslinking agent in protective coatings. Polymer 2015, 62, 60–69. [Google Scholar] [CrossRef]
- Wu, Y.; He, B.; Wang, J.; Hu, R.; Zhao, Z.; Huang, F.; Qin, A.; Tang, B.Z. Efficient and Regioselectivity-Tunable Metal-Free Polycycloaddition of Activated Azide and Alkynes. Macromol. Rapid Commun. 2017, 38, 1600620. [Google Scholar] [CrossRef]
- Huang, D.; Liu, Y.; Qin, A.; Tang, B.Z. Structure–Property Relationship of Regioregular Polytriazoles Produced by Ligand-Controlled Regiodivergent Ru(II)-Catalyzed Azide–Alkyne Click Polymerization. Macromolecules 2019, 52, 1985–1992. [Google Scholar] [CrossRef]
- Min, B.S.; Kim, S.Y. Kinetics of in situ robust chain-ends crosslinked polymeric networks formed using catalyst- and solvent-free Huisgen cycloaddition reaction. Macromol. Res. 2017, 25, 249–254. [Google Scholar] [CrossRef]
- Binauld, S.; Damiron, D.; Hamaide, T.; Pascault, J.-P.; Fleury, E.; Drockenmuller, E. Click chemistry step growth polymerization of novel α-azide-ω-alkyne monomers. Chem. Commun. 2008, 35, 4138–4140. [Google Scholar] [CrossRef]
- Tsarevsky, N.V.; Sumerlin, B.S.; Matyjaszewski, K. Step-Growth “Click” Coupling of Telechelic Polymers Prepared by Atom Transfer Radical Polymerization. Macromolecules 2005, 38, 3558–3561. [Google Scholar] [CrossRef]
- Binauld, S.; Fleury, E.; Drockenmuller, E. Solving the loss of orthogonality during the polyaddition of α-azide-ω-alkyne monomers catalyzed by Cu(PPh3)3Br: Application to the synthesis of high-molar mass polytriazoles. J. Polym. Sci. Part A Polym. Chem. 2010, 48, 2470–2476. [Google Scholar] [CrossRef]
- Petrov, A.; Malkov, G.; Karpov, S.; Shastin, A.; Bakeshko, A. Kinetic Study of the Polyaddition of Azide-Alkyne AB2 Monomers in Nonisotermic Conditions. Key Eng. Mater. 2019, 816, 151–156. [Google Scholar] [CrossRef]
- Vyazovkin, S.; Achilias, D.; Fernandez-Francos, X.; Galukhin, A.; Sbirrazzuoli, N. ICTAC Kinetics Committee recommendations for analysis of thermal polymerization kinetics. Thermochim. Acta 2022, 714, 179243. [Google Scholar] [CrossRef]
- Bräse, S.; Gil, C.; Knepper, K.; Zimmermann, V. Organic Azides: An Exploding Diversity of a Unique Class of Compounds. Angew. Chem. Int. Ed. 2005, 44, 5188–5240. [Google Scholar] [CrossRef]
- Vyazovkin, S. Modification of the integral isoconversional method to account for variation in the activation energy. J. Comput. Chem. 2001, 22, 178–183. [Google Scholar] [CrossRef]
- Vyazovkin, S.; Wight, C.A. Estimating Realistic Confidence Intervals for the Activation Energy Determined from Thermoanalytical Measurements. Anal. Chem. 2000, 72, 3171–3175. [Google Scholar] [CrossRef]
- Liavitskaya, T.; Birx, L.; Vyazovkin, S. Thermal Stability of Malonic Acid Dissolved in Poly(vinylpyrrolidone) and Other Polymeric Matrices. Ind. Eng. Chem. Res. 2018, 57, 5228–5233. [Google Scholar] [CrossRef]
- Vyazovkin, S. Isoconversional Kinetics of Thermally Stimulated Processes; Springer International Publishing: Cham, Switzerland, 2015. [Google Scholar]
- Galukhin, A.; Aleshin, R.; Nosov, R.; Vyazovkin, S. Probing kinetic and mechanistic features of bulk azide–alkyne cycloaddition. Phys. Chem. Chem. Phys. 2023, 25, 10671–10677. [Google Scholar] [CrossRef]
- Dommerholt, J.; Rutjes, F.P.J.T.; van Delft, F.L. Strain-Promoted 1,3-Dipolar Cycloaddition of Cycloalkynes and Organic Azides. Top. Curr. Chem. 2016, 374, 16. [Google Scholar] [CrossRef]
- Agard, N.J.; Prescher, J.A.; Bertozzi, C.R. A Strain-Promoted [3 + 2] Azide−Alkyne Cycloaddition for Covalent Modification of Biomolecules in Living Systems. J. Am. Chem. Soc. 2004, 126, 15046–15047. [Google Scholar] [CrossRef] [PubMed]
- Huisgen, R.; Stangl, H.; Sturm, H.J.; Wagenhofer, H. Kinetik und Mechanismus der 1.3-dipolaren Additionen der Diazoalkane. Angew. Chem. 1961, 73, 170. [Google Scholar] [CrossRef]
- Sheng, X.; Rock, D.M.; Mauldin, T.C.; Kessler, M.R. Evaluation of different catalyst systems for bulk polymerization through “click” chemistry. Polymer 2011, 52, 4435–4441. [Google Scholar] [CrossRef]
- Laidler, K. Symbolism and terminology in chemical kinetics (Appendix no. V to manual of symbols and terminology for physicochemical quantities and units). Pure Appl. Chem. 1981, 53, 753–771. [Google Scholar] [CrossRef]
- Hein, J.E.; Fokin, V.V. Copper-catalyzed azide–alkyne cycloaddition (CuAAC) and beyond: New reactivity of copper(i) acetylides. Chem. Soc. Rev. 2010, 39, 1302–1315. [Google Scholar] [CrossRef]
- Galukhin, A.; Taimova, G.; Nosov, R.; Liavitskaya, T.; Vyazovkin, S. Polymerization Kinetics of Cyanate Ester Confined to Hydrophilic Nanopores of Silica Colloidal Crystals with Different Surface-Grafted Groups. Polymers 2020, 12, 2329. [Google Scholar] [CrossRef]






| Monomer | Fit to | E1/kJ mol−1 | ln(Aef/s−1) | n | r2 |
|---|---|---|---|---|---|
| 8AA | Equation (13) | - | - | 1.99 ± 0.01 | 0.98 |
| Equation (11) | * 85 ± 2 | 19.67 ± 0.02 | 1.64 ± 0.04 | 0.99 | |
| 12AA | Equation (13) | - | - | 2.00 ± 0.01 | 0.98 |
| Equation (11) | * 86 ± 2 | 19.71 ± 0.02 | 1.65 ± 0.03 | 0.99 |
Disclaimer/Publisher’s Note: The statements, opinions and data contained in all publications are solely those of the individual author(s) and contributor(s) and not of MDPI and/or the editor(s). MDPI and/or the editor(s) disclaim responsibility for any injury to people or property resulting from any ideas, methods, instructions or products referred to in the content. |
© 2023 by the authors. Licensee MDPI, Basel, Switzerland. This article is an open access article distributed under the terms and conditions of the Creative Commons Attribution (CC BY) license (https://creativecommons.org/licenses/by/4.0/).
Share and Cite
Galukhin, A.; Aleshin, R.; Nosov, R.; Vyazovkin, S. Kinetics of Polycycloaddition of Flexible α-Azide-ω-Alkynes Having Different Spacer Length. Polymers 2023, 15, 3109. https://doi.org/10.3390/polym15143109
Galukhin A, Aleshin R, Nosov R, Vyazovkin S. Kinetics of Polycycloaddition of Flexible α-Azide-ω-Alkynes Having Different Spacer Length. Polymers. 2023; 15(14):3109. https://doi.org/10.3390/polym15143109
Chicago/Turabian StyleGalukhin, Andrey, Roman Aleshin, Roman Nosov, and Sergey Vyazovkin. 2023. "Kinetics of Polycycloaddition of Flexible α-Azide-ω-Alkynes Having Different Spacer Length" Polymers 15, no. 14: 3109. https://doi.org/10.3390/polym15143109
APA StyleGalukhin, A., Aleshin, R., Nosov, R., & Vyazovkin, S. (2023). Kinetics of Polycycloaddition of Flexible α-Azide-ω-Alkynes Having Different Spacer Length. Polymers, 15(14), 3109. https://doi.org/10.3390/polym15143109

