Original Basic Activation for Enhancing Silica Particle Reactivity: Characterization by Liquid Phase Silanization and Silica-Rubber Nanocomposite Properties
Abstract
:1. Introduction
2. Materials and Methods
2.1. Silica Pre-Loading of the Base Catalyst
2.2. Silica Silanization
2.3. Preparation of 1H NMR Samples
2.4. Silica-Rubber Composite Fabrication
2.5. Characterization
3. Results and Discussion
3.1. Impact of Basic Activation on Silica Particles
3.2. Silica Reactivity Enhancement Evaluation
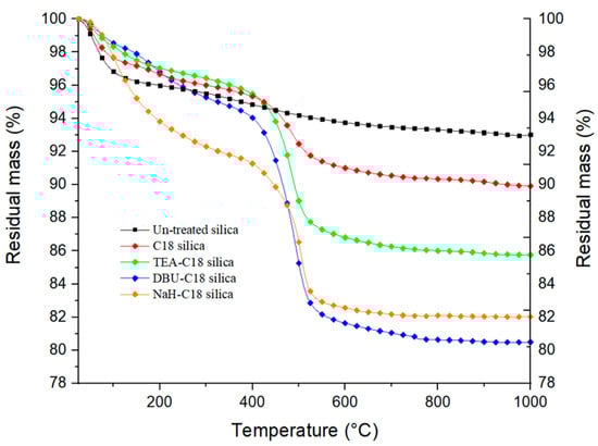
3.3. Thermogravimetric Analysis
3.4. 1H Liquid State NMR
- nsilane is the amount of silane in solution (mmol),
- ACH3 is the area of the CH3 peak at 0.88 ppm,
- AOMCTS is the area of the OMCTS peak at 0.09 ppm,
- NOMCTS is the number of hydrogen nuclei generating the signal,
- NCH3 is the number of hydrogen nuclei generating the signal,
- nOMCTS is the amount of OMCTS internal standard in the CDCl3 solution (mmol).
3.5. Evaluation of Silica Reactivity Enhancement in Rubber-Silica Composites
4. Conclusions
Supplementary Materials
Author Contributions
Funding
Institutional Review Board Statement
Informed Consent Statement
Data Availability Statement
Acknowledgments
Conflicts of Interest
References
- Forzano, A.V.; Cain, C.N.; Rutan, S.C.; Collinson, M.M. In situ silanization for continuous stationary phase gradients on particle packed LC columns. Anal. Methods 2019, 11, 3648–3656. [Google Scholar] [CrossRef] [Green Version]
- Perton, F.; Tasso, M.; Medina, G.A.M.; Ménard, M.; Blanco-Andujar, C.; Portiansky, E.; van Raap, M.B.F.; Bégin, D.; Meyer, F.; Begin-Colin, S. Fluorescent and magnetic stellate mesoporous silica for bimodal imaging and magnetic hyperthermia. Appl. Mater. Today 2019, 16, 301–314. [Google Scholar] [CrossRef]
- Gao, J.; Geng, Y.; Li, S.; Chen, X.; Shi, D.; Zhou, P.; Zhou, Z.; Wu, Z. Effect of silane emulsion on waterproofing and Anti-icing performance of foamed concrete. Constr. Build. Mater. 2021, 301, 124082. [Google Scholar] [CrossRef]
- Lee, S.Y.; Kim, J.S.; Lim, S.H.; Jang, S.H.; Kim, D.H.; Park, N.-H.; Jung, J.W.; Choi, J. The investigation of the silica-reinforced rubber polymers with the methoxy type silane coupling agents. Polymers 2020, 12, 3058. [Google Scholar] [CrossRef] [PubMed]
- Goerl, U.; Hunsche, A.; Mueller, A.; Koban, H. Investigations into the silica/silane reaction system. Rubber Chem. Technol. 1997, 70, 608–623. [Google Scholar] [CrossRef]
- Fukuda, T.; Fujii, S.; Nakamura, Y.; Sasaki, M. Mechanical properties of silica particle-filled styrene-butadiene rubber composites containing polysulfide-type silane coupling agents: Influence of loading method of silane. J. Appl. Polym. Sci. 2013, 130, 322–329. [Google Scholar] [CrossRef]
- Castellano, M.; Conzatti, L.; Turturro, A.; Costa, G.; Busca, G. Influence of the silane modifiers on the surface thermodynamic characteristics and dispersion of the silica into elastomer compounds. J. Phys. Chem. B 2007, 111, 4495–4502. [Google Scholar] [CrossRef]
- Hui, R.; Yixin, Q.; Suhe, Z. Reinforcement of styrene-butadiene rubber with silica modified by silane coupling agents: Experimental and theoretical chemistry study. Chin. J. Chem. Eng. 2006, 14, 93–98. [Google Scholar]
- Wang, M.; He, D.; Xie, H.; Fu, L.; Yu, Y.; Zhang, Q. Characterization of bis-[triethoxysilylpropyl] tetrasulfide layers on aluminum based on water-based silanization solution. Thin Solid Films 2012, 520, 5610–5615. [Google Scholar] [CrossRef]
- McGovern, M.E.; Kallury, K.M.R.; Michael, T. Role of Solvent ont the Silanization of Glass with Octadecyltrichlorosilane. Langmuir 1994, 10, 3607–3614. [Google Scholar] [CrossRef]
- Kallury, K.M.; Macdonald, P.M.; Thompson, M. Effect of surface water and base catalysis on the silanization of silica by (aminopropyl) alkoxysilanes studied by X-ray photoelectron spectroscopy and 13C cross-polarization/magic angle spinning nuclear magnetic resonance. Langmuir 1994, 10, 492–499. [Google Scholar] [CrossRef]
- Hayichelaeh, C.; Reuvekamp, L.; Dierkes, W.; Blume, A.; Noordermeer, J.; Sahakaro, K. Enhancing the silanization reaction of the silica-silane system by different amines in model and practical silica-filled natural rubber compounds. Polymers 2018, 10, 584. [Google Scholar] [CrossRef] [PubMed] [Green Version]
- Xu, D.; Sun, L.; Li, H.; Zhang, L.; Guo, G.; Zhao, X.; Gui, L. Hydrolysis and silanization of the hydrosilicon surface of freshly prepared porous silicon by an amine catalytic reaction. New J. Chem. 2003, 27, 300–306. [Google Scholar] [CrossRef]
- White, L.; Tripp, C. Reaction of (3-aminopropyl) dimethylethoxysilane with amine catalysts on silica surfaces. J. Colloid Interface Sci. 2000, 232, 400–407. [Google Scholar] [CrossRef]
- Kaas, R.; Kardos, J. The interaction of alkoxy silane coupling agents with silica surfaces. Polym. Eng. Sci. 1971, 11, 11–18. [Google Scholar] [CrossRef]
- Greenberg, S. The depolymerization of silica in sodium hydroxide solutions. J. Phys. Chem. 1957, 61, 960–965. [Google Scholar] [CrossRef]
- Kaupmees, K.; Trummal, A.; Leito, I. Basicities of strong bases in water: A computational study. Croat. Chem. Acta 2014, 87, 385–395. [Google Scholar] [CrossRef]
- Kütt, A.; Selberg, S.; Kaljurand, I.; Tshepelevitsh, S.; Heering, A.; Darnell, A.; Kaupmees, K.; Piirsalu, M.; Leito, I. pKa values in organic chemistry–Making maximum use of the available data. Tetrahedron Lett. 2018, 59, 3738–3748. [Google Scholar] [CrossRef]
- Morris, R.H. Brønsted–Lowry acid strength of metal hydride and dihydrogen complexes. Chem. Rev. 2016, 116, 8588–8654. [Google Scholar] [CrossRef] [Green Version]
- Ortuño, M.A.; Lledós, A. How acid can become a dihydrogen complex in water? A DFT study. J. Organomet. Chem. 2021, 949, 121957. [Google Scholar] [CrossRef]
- Pawlenko, S. Organosilicon Chemistry; De Gruyter Inc.: Berlin, Germany; Boston, MA, USA, 1986. [Google Scholar]
- Zhuravlev, L. The surface chemistry of amorphous silica. Zhuravlev model. Colloids Surf. Physicochem. Eng. Asp. 2000, 173, 1–38. [Google Scholar] [CrossRef] [Green Version]
- Kunc, F.; Balhara, V.; Sun, Y.; Daroszewska, M.; Jakubek, Z.J.; Hill, M.; Brinkmann, A.; Johnston, L.J. Quantification of surface functional groups on silica nanoparticles: Comparison of thermogravimetric analysis and quantitative NMR. Analyst 2019, 144, 5589–5599. [Google Scholar] [CrossRef] [PubMed]
- Yang, A.; Li, T. Oxidative Cleavage of Carbon−Silicon Bond as a New Method to Characterize Bonded Stationary Phases on Silica Gel. Anal. Chem. 1998, 70, 2827–2830. [Google Scholar] [CrossRef]
- Berriot, J.; Montes, H.; Lequeux, F.; Long, D.; Sotta, P. Evidence for the shift of the glass transition near the particles in silica-filled elastomers. Macromolecules 2002, 35, 9756–9762. [Google Scholar] [CrossRef]
- Kapgate, B.P.; Das, C.; Basu, D.; Das, A.; Heinrich, G. Rubber composites based on silane-treated stöber silica and nitrile rubber: Interaction of treated silica with rubber matrix. J. Elastomers Plast. 2015, 47, 248–261. [Google Scholar] [CrossRef]
- Yasin, K.A.; Ansarifar, A.; Hameed, S.; Wang, L. A new method for crosslinking and reinforcing acrylonitrile–butadiene rubber using a silanized silica nanofiller. Polym. Adv. Technol. 2011, 22, 215–224. [Google Scholar] [CrossRef]
- Fröhlich, J.; Niedermeier, W.; Luginsland, H.-D. The effect of filler–filler and filler–elastomer interaction on rubber reinforcement. Compos. Part A Appl. Sci. Manuf. 2005, 36, 449–460. [Google Scholar] [CrossRef]
- Arrighi, V.; McEwen, I.; Qian, H.; Prieto, M.S. The glass transition and interfacial layer in styrene-butadiene rubber containing silica nanofiller. Polymer 2003, 44, 6259–6266. [Google Scholar] [CrossRef]







| Components | phr | Mixing Conditions | |
|---|---|---|---|
| Step 1 | Polystyrene-butadiene | 80 | 80 °C for 10′ |
| Polybutadiene | 20 | ||
| TDAE Oil | 25 | ||
| Zinc oxide | 0.5 | ||
| Stearic acid | 3 | ||
| Silica | 65 | ||
| Step 2 | Step 1 compound | - | 80 °C for 7′ |
| Silica | 15 | ||
| Silane (TESPD) | 8 | ||
| 6PPD | 2.5 | ||
| Step 3 | Step 2 compound | - | 60 °C for 1′45″ |
| Zinc oxide | 2 | ||
| Sulfur | 1.1 | ||
| MBT | 0.3 | ||
| DPG | 3.2 | ||
| CBS | 2.3 |
| C6 | C12 | C18 | TEA-C6 | TEA-C12 | TEA-C18 | DBU-C6 | DBU-C12 | DBU-C18 | NaH-C6 | NaH-C12 | NaH-C18 | |
|---|---|---|---|---|---|---|---|---|---|---|---|---|
| TGA | 0.418 | 0.165 | 0.128 | 0.383 | 0.381 | 0.3 | 0.582 | 0.508 | 0.447 | 0.271 | 0.314 | 0.301 |
| 1H NMR | 0.274 | 0.176 | 0.186 | 0.185 | 0.198 | 0.173 | 0.299 | 0.289 | 0.206 | 0.188 | 0.149 | 0.165 |
Publisher’s Note: MDPI stays neutral with regard to jurisdictional claims in published maps and institutional affiliations. |
© 2022 by the authors. Licensee MDPI, Basel, Switzerland. This article is an open access article distributed under the terms and conditions of the Creative Commons Attribution (CC BY) license (https://creativecommons.org/licenses/by/4.0/).
Share and Cite
Moretto, E.; Yan, C.; Dieden, R.; Steiner, P.; Duez, B.; Lenoble, D.; Thomann, J.-S. Original Basic Activation for Enhancing Silica Particle Reactivity: Characterization by Liquid Phase Silanization and Silica-Rubber Nanocomposite Properties. Polymers 2022, 14, 1676. https://doi.org/10.3390/polym14091676
Moretto E, Yan C, Dieden R, Steiner P, Duez B, Lenoble D, Thomann J-S. Original Basic Activation for Enhancing Silica Particle Reactivity: Characterization by Liquid Phase Silanization and Silica-Rubber Nanocomposite Properties. Polymers. 2022; 14(9):1676. https://doi.org/10.3390/polym14091676
Chicago/Turabian StyleMoretto, Enzo, Chuanyu Yan, Reiner Dieden, Pascal Steiner, Benoît Duez, Damien Lenoble, and Jean-Sébastien Thomann. 2022. "Original Basic Activation for Enhancing Silica Particle Reactivity: Characterization by Liquid Phase Silanization and Silica-Rubber Nanocomposite Properties" Polymers 14, no. 9: 1676. https://doi.org/10.3390/polym14091676
APA StyleMoretto, E., Yan, C., Dieden, R., Steiner, P., Duez, B., Lenoble, D., & Thomann, J.-S. (2022). Original Basic Activation for Enhancing Silica Particle Reactivity: Characterization by Liquid Phase Silanization and Silica-Rubber Nanocomposite Properties. Polymers, 14(9), 1676. https://doi.org/10.3390/polym14091676

