Scaling-Up an Aqueous Self-Degassing Electrochemically Mediated ATRP in Dispersion for the Preparation of Cellulose–Polymer Composites and Films
Abstract
1. Introduction
2. Materials and Methods
2.1. Materials
2.2. Methods
2.3. Methods
- 1.
- First step. Avicel (40 g) was introduced into a 2 L borosilicate beaker equipped with a magnetic PTFE stir bar. To Avicel was added 1 L of deionized water and 40 g of NaOH. The contents of the flask were stirred, heated to boiling, and kept boiling for at least three hours. This hot solution of NaOH is corrosive and dangerous for skin and the eyes. Operations should be done only inside a well-ventilated fume hood and only by very well-trained personnel. During the boiling, a dark brown liquor of water-soluble impurities formed. After boiling and cooling to room temperature, cellulose was recovered by filtration and washed with water until the pH of the washing became neutral. Cellulose was then washed one more time with acetone, and dried inside the fume hood at room temperature. Yield = 94%.
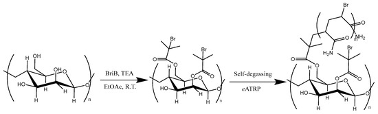
- 2.
- Second step. To prepare cellulose-BriB of different types, 2-bromoisobutyryl bromide (BriB) was added in two different amounts (H and L, respectively, see Table 1). The pretreated Avicel was transferred inside a 500 mL three necks round flask with a PTFE stir bar and suspended in ethyl acetate. The flask was put under nitrogen flow for 30 min and stirred. Then, triethylamine was added to the suspension by syringe. After that, 2-bromoisobutyryl bromide was added to the suspension dropwise under high stirring by syringe. A white precipitate of triethylamine salts, distinguishable from cellulose, started to appear, indicating the reaction of cellulose hydroxyls with 2-BriB. The suspension also warmed up and thickened. After the addition was completed, the suspension was let to react at room temperature overnight. The day after, the suspension was filtered to recover cellulose, washed with acetone, then water, and then again acetone. The filter cake was transferred first to dry inside the fume hood and then into a vacuum oven at 40 °C.
3. Results and Discussion
3.1. Cellulose-BriB Preparation and Electrochemical Characterization
3.2. Low Volume Polymerizations
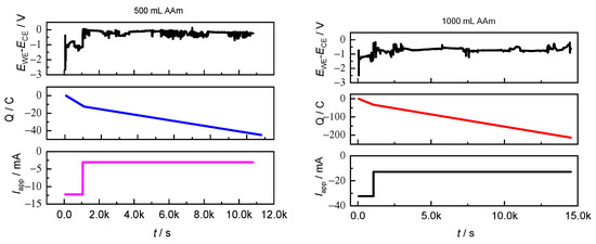
3.3. Large Volume Polymerizations
3.4. Materials Characterization
3.4.1. FTIR Spectra of Cellulose and Its Synthesized Cellulose-Based Materials
3.4.2. GPC Chromatograms of Cleaved poly(N-alkyl)acrylamide-Br Chains from Grafted Cellulose
3.4.3. Thermal Analysis of Cellulose-poly(N-alkyl)acrylamide-Br Materials
3.4.4. Film Preparation and Characterization by Contact Angle Measurements
3.4.5. Infrared Spectroscopy of Composite Films (FTIR)
3.4.6. Extraction Test
3.4.7. Scanning Electronic Microscopy (SEM)
4. Conclusions
Supplementary Materials
Author Contributions
Funding
Institutional Review Board Statement
Informed Consent Statement
Data Availability Statement
Acknowledgments
Conflicts of Interest
Abbreviations
| AAm | Acrylamide |
| ABIL | Acid-base distillable ionic liquid |
| ATR-FTIR | Attenuated total reflectance Fourier-transform infrared |
| ATRP | Atom transfer radical polymerization |
| -BriB | 2-bromoisobutyrate initiating group |
| CE | Counter electrode |
| CV | Cyclic voltammetry |
| Ð | Polydispersity (Đ = Mw/Mn) |
| D2O | Deuterium oxide (deuterated water) |
| DES | Deep eutectic solvents |
| DMF | Dimethylformamide |
| DMAc/LiCl | N,N-dimethylacetamide/lithium chloride mixtures |
| DMSO | Dimethyl sulfoxide |
| DP | Degree of polymerization (targeted) |
| DSC | Differential scanning calorimetry |
| E1/2 | Half-wave potential |
| Eapp | Applied potential |
| EWE | Potential of the working electrode (vs. reference electrode) |
| ECE | Potential of the counter electrode (vs. reference electrode) |
| EWE-ECE | Difference of potential between working and counter electrode |
| eATRP | Electrochemically mediated atom transfer radical polymerization |
| Epa | Anodic peak potential |
| Epc | Cathodic peak potential |
| Eθ | Standard redox potential |
| F | Faraday constant |
| GC | Glassy carbon electrode |
| GPC | Gel permeation chromatography |
| 1H-NMR | Proton nuclear magnetic resonance |
| HEAAm | 2-hydroxyethylacrylamide |
| HOAc | Acetic acid |
| Iapp | Applied current |
| ICAR | Initiators for continuous activator regeneration |
| kact | Activation rate constant |
| KATRP | Equilibrium constant of ATRP |
| kdeact | Deactivation rate constant |
| kp | Propagation rate constant |
| kt | Termination rate constant |
| LCST | Lower critical solubility temperature |
| M | (A given) monomer |
| [M]0 | Initial concentration of monomer |
| [M] | Instantaneous concentration of monomer |
| MCC | Microcrystalline cellulose |
| Me6TREN | Tris [2-(dimethylamino)ethyl]amine |
| MnGPC | Number average molecular weight calculated by GPC |
| MW | Molecular weight |
| NIPAAm | N-Isopropylacrylamide |
| NMMO | N-methylmorpholine-N-oxide |
| -OH | Hydroxyl group |
| OAc | Acetate anion |
| PAAm | Poly(acrylamide) |
| (P)ICAR ATRP | (Photoinduced) ICAR ATRP |
| PHEAAm | Poly(N-hydroxyethylacrylamide) |
| PNaMA | Poly(sodium methacrylate) |
| PNIPAAm | Poly(N-Isopropylacrylamide) |
| Q | Charge passed (in Coulomb) |
| R | Universal constant of perfect gases |
| RDRP | Reversible deactivation radical polymerization |
| ROS | Reactive oxygen species |
| RX | Organic alkyl halide (ATRP initiators) |
| SCE | Saturated calomel electrode |
| seATRP | Simplified eATRP |
| SEM | Scanning electron microscopy |
| SP | Sodium pyruvate |
| SS304 | Stainless steel 304 |
| Tg | Glass transition temperature |
| TGA | Thermogravimetric analysis |
| THF | Tetrahydrofuran |
| TMG | Tetramethylguanidine (and tetramethylguanidinium cation) |
| TPMA | Tris-[(2-pyridyl)methyl]amine |
| WE | Working electrode |
References
- Seddiqi, H.; Oliaei, E.; Honarkar, H.; Jin, J.; Geonzon, L.C.; Bacabac, R.G.; Klein-Nulend, J. Cellulose and its derivatives: Towards biomedical applications. Cellulose 2021, 28, 1893–1931. [Google Scholar] [CrossRef]
- Zhao, D.; Zhu, Y.; Cheng, W.; Chen, W.; Wu, Y.; Yu, H. Cellulose-Based Flexible Functional Materials for Emerging Intelligent Electronics. Adv. Mater. 2021, 33, e2000619. [Google Scholar] [CrossRef] [PubMed]
- Moon, R.J.; Martini, A.; Nairn, J.; Simonsen, J.; Youngblood, J. Cellulose nanomaterials review: Structure, properties and nanocomposites. Chem. Soc. Rev. 2011, 40, 3941–3994. [Google Scholar] [CrossRef] [PubMed]
- Chen, C.; Hu, L. Nanocellulose toward Advanced Energy Storage Devices: Structure and Electrochemistry. Acc. Chem. Res. 2018, 51, 3154–3165. [Google Scholar] [CrossRef] [PubMed]
- Glasing, J.; Champagne, P.; Cunningham, M.F. Graft modification of chitosan, cellulose and alginate using reversible deactivation radical polymerization (RDRP). Curr. Opin. Green Sustain. Chem. 2016, 2, 15–21. [Google Scholar] [CrossRef]
- Liyanage, S.; Acharya, S.; Parajuli, P.; Shamshina, J.L.; Abidi, N. Production and Surface Modification of Cellulose Bioproducts. Polymers 2021, 13, 3433. [Google Scholar] [CrossRef]
- Garcia-Valdez, O.; Champagne, P.; Cunningham, M.F. Graft modification of natural polysaccharides via reversible deactivation radical polymerization. Prog. Polym. Sci. 2018, 76, 151–173. [Google Scholar] [CrossRef]
- Dworakowska, S.; Lorandi, F.; Gorczynski, A.; Matyjaszewski, K. Toward Green Atom Transfer Radical Polymerization: Current Status and Future Challenges. Adv. Sci. 2022, 9, e2106076. [Google Scholar] [CrossRef]
- Lorandi, F.; Fantin, M.; Matyjaszewski, K. Atom Transfer Radical Polymerization: A Mechanistic Perspective. J. Am. Chem. Soc. 2022, 144, 15413–15430. [Google Scholar] [CrossRef]
- De Bon, F.; Fonseca, R.G.; Lorandi, F.; Serra, A.C.; Isse, A.A.; Matyjaszewski, K.; Coelho, J.F.J. The scale-up of electrochemically mediated atom transfer radical polymerization without deoxygenation. Chem. Eng. J. 2022, 445, 136690. [Google Scholar] [CrossRef]
- De Bon, F.; Barbosa, A.B.; Fonseca, R.G.; Fantin, M.; Serra, A.C.; Coelho, J.F. Large volume and oxygen tolerant photoinduced aqueous Atom Transfer Radical Polymerization. Chem. Eng. J. 2022, 451, 138777. [Google Scholar] [CrossRef]
- Theodorou, A.; Mandriotis, P.; Anastasaki, A.; Velonia, K. Oxygen tolerant, photoinduced controlled radical polymerization approach for the synthesis of giant amphiphiles. Polym. Chem. 2021, 12, 2228–2235. [Google Scholar] [CrossRef]
- Szczepaniak, G.; Fu, L.; Jafari, H.; Kapil, K.; Matyjaszewski, K. Making ATRP More Practical: Oxygen Tolerance. Acc. Chem. Res. 2021, 54, 1779–1790. [Google Scholar] [CrossRef] [PubMed]
- Szczepaniak, G.; Lagodzinska, M.; Dadashi-Silab, S.; Gorczynski, A.; Matyjaszewski, K. Fully oxygen-tolerant atom transfer radical polymerization triggered by sodium pyruvate. Chem. Sci. 2020, 11, 8809–8816. [Google Scholar] [CrossRef]
- Pan, X.; Fantin, M.; Yuan, F.; Matyjaszewski, K. Externally controlled atom transfer radical polymerization. Chem. Soc. Rev. 2018, 47, 5457–5490. [Google Scholar] [CrossRef]
- Magenau, A.J.D.; Strandwitz, N.C.; Gennaro, A.; Matyjaszewski, K. Electrochemically Mediated Atom Transfer Radical Polymerization. Science 2011, 332, 81–84. [Google Scholar] [CrossRef]
- Chmielarz, P.; Fantin, M.; Park, S.; Isse, A.A.; Gennaro, A.; Magenau, A.J.D.; Sobkowiak, A.; Matyjaszewski, K. Electrochemically mediated atom transfer radical polymerization (eATRP). Prog. Polym. Sci. 2017, 69, 47–78. [Google Scholar] [CrossRef]
- De Bon, F.; Lorandi, F.; Coelho, J.F.J.; Serra, A.C.; Matyjaszewski, K.; Isse, A.A. Dual electrochemical and chemical control in atom transfer radical polymerization with copper electrodes. Chem. Sci. 2022, 13, 6008–6018. [Google Scholar] [CrossRef]
- De Bon, F.; Carlan, G.M.; Tognella, E.; Isse, A.A. Exploring Electrochemically Mediated ATRP of Styrene. Processes 2021, 9, 1327. [Google Scholar] [CrossRef]
- Gligorovski, S.; Strekowski, R.; Barbati, S.; Vione, D. Environmental Implications of Hydroxyl Radicals ((*)OH). Chem. Rev. 2015, 115, 13051–13092. [Google Scholar] [CrossRef]
- Yin, R.; Chmielarz, P.; Zaborniak, I.; Zhao, Y.; Szczepaniak, G.; Wang, Z.; Liu, T.; Wang, Y.; Sun, M.; Wu, H.; et al. Miniemulsion SI-ATRP by Interfacial and Ion-Pair Catalysis for the Synthesis of Nanoparticle Brushes. Macromolecules 2022, 55, 6332–6340. [Google Scholar] [CrossRef]
- Sen, S.; Martin, J.D.; Argyropoulos, D.S. Review of Cellulose Non-Derivatizing Solvent Interactions with Emphasis on Activity in Inorganic Molten Salt Hydrates. ACS Sustain. Chem. Eng. 2013, 1, 858–870. [Google Scholar] [CrossRef]
- Xu, A.; Wang, F. Carboxylate ionic liquid solvent systems from 2006 to 2020: Thermal properties and application in cellulose processing. Green Chem. 2020, 22, 7622–7664. [Google Scholar] [CrossRef]
- Budtova, T.; Navard, P. Cellulose in NaOH–water based solvents: A review. Cellulose 2015, 23, 5–55. [Google Scholar] [CrossRef]
- Pang, J.-H.; Liu, X.; Wu, M.; Wu, Y.-Y.; Zhang, X.-M.; Sun, R.-C. Fabrication and Characterization of Regenerated Cellulose Films Using Different Ionic Liquids. J. Spectrosc. 2014, 2014, 214057. [Google Scholar] [CrossRef]
- Chen, Y.-L.; Zhang, X.; You, T.-T.; Xu, F. Deep eutectic solvents (DESs) for cellulose dissolution: A mini-review. Cellulose 2018, 26, 205–213. [Google Scholar] [CrossRef]
- Isik, M.; Sardon, H.; Mecerreyes, D. Ionic liquids and cellulose: Dissolution, chemical modification and preparation of new cellulosic materials. Int. J. Mol. Sci. 2014, 15, 11922–11940. [Google Scholar] [CrossRef]
- Ribeiro, D.C.M.; Rebelo, R.C.; De Bon, F.; Coelho, J.F.J.; Serra, A.C. Process Development for Flexible Films of Industrial Cellulose Pulp Using Superbase Ionic Liquids. Polymers 2021, 13, 1767. [Google Scholar] [CrossRef]
- Britovsek, G.J.; England, J.; White, A.J. Non-heme iron(II) complexes containing tripodal tetradentate nitrogen ligands and their application in alkane oxidation catalysis. Inorg. Chem. 2005, 44, 8125–8134. [Google Scholar] [CrossRef]
- Beni, A.; Dei, A.; Laschi, S.; Rizzitano, M.; Sorace, L. Tuning the charge distribution and photoswitchable properties of cobalt-dioxolene complexes by using molecular techniques. Chemistry 2008, 14, 1804–1813. [Google Scholar] [CrossRef]
- Robertson, W.V. The Preparation of Sodium Pyruvate. Science 1942, 96, 93–94. [Google Scholar] [CrossRef] [PubMed]
- Tang, W.; Matyjaszewski, K. Effects of Initiator Structure on Activation Rate Constants in ATRP. Macromolecules 2007, 40, 1858–1863. [Google Scholar] [CrossRef]
- Zaborniak, I.; Chmielarz, P.; Matyjaszewski, K. Modification of wood-based materials by atom transfer radical polymerization methods. Eur. Polym. J. 2019, 120, 109253. [Google Scholar] [CrossRef]
- Chmielarz, P. Cellulose-based graft copolymers prepared by simplified electrochemically mediated ATRP. Express Polym. Lett. 2017, 11, 140–151. [Google Scholar] [CrossRef]
- Chmielarz, P.; Paczesniak, T.; Rydel-Ciszek, K.; Zaborniak, I.; Biedka, P.; Sobkowiak, A. Synthesis of naturally-derived macromolecules through simplified electrochemically mediated ATRP. Beilstein J. Org. Chem. 2017, 13, 2466–2472. [Google Scholar] [CrossRef]
- Capello, C.; Fischer, U.; Hungerbuhler, K. What is a green solvent? A comprehensive framework for the environmental assessment of solvents. Green Chem. 2007, 9, 927–934. [Google Scholar] [CrossRef]
- Abraham, M.A.; Moens, L. Clean Solvents; American Chemical Society: Washington, DC, USA, 2002; Volume 819, p. 292. [Google Scholar]
- Prat, D.; Wells, A.; Hayler, J.; Sneddon, H.; McElroy, C.R.; Abou-Shehada, S.; Dunn, P.J. CHEM21 selection guide of classical- and less classical-solvents. Green Chem. 2016, 18, 288–296. [Google Scholar] [CrossRef]
- Sheldon, R.A. The greening of solvents: Towards sustainable organic synthesis. Curr. Opin. Green Sustain. Chem. 2019, 18, 13–19. [Google Scholar] [CrossRef]
- Fantin, M.; Isse, A.A.; Matyjaszewski, K.; Gennaro, A. ATRP in Water: Kinetic Analysis of Active and Super-Active Catalysts for Enhanced Polymerization Control. Macromolecules 2017, 50, 2696–2705. [Google Scholar] [CrossRef]
- Fantin, M.; Isse, A.A.; Gennaro, A.; Matyjaszewski, K. Understanding the Fundamentals of Aqueous ATRP and Defining Conditions for Better Control. Macromolecules 2015, 48, 6862–6875. [Google Scholar] [CrossRef]
- Braunecker, W.A.; Pintauer, T.; Tsarevsky, N.V.; Kickelbick, G.; Krzysztof, M. Towards understanding monomer coordination in atom transfer radical polymerization: Synthesis of [CuI(PMDETA)(π-M)][BPh4] (M = methyl acrylate, styrene, 1-octene, and methyl methacrylate) and structural studies by FT-IR and 1H NMR spectroscopy and X-ray crystallography. J. Organomet. Chem. 2005, 690, 916–924. [Google Scholar] [CrossRef]
- De Bon, F.; Marenzi, S.; Isse, A.A.; Durante, C.; Gennaro, A. Electrochemically Mediated Aqueous Atom Transfer Radical Polymerization of N,N-Dimethylacrylamide. ChemElectroChem 2020, 7, 1378–1388. [Google Scholar] [CrossRef]
- Chmielarz, P.; Park, S.; Simakova, A.; Matyjaszewski, K. Electrochemically mediated ATRP of acrylamides in water. Polymer 2015, 60, 302–307. [Google Scholar] [CrossRef]
- Jones, G.R.; Li, Z.; Anastasaki, A.; Lloyd, D.J.; Wilson, P.; Zhang, Q.; Haddleton, D.M. Rapid Synthesis of Well-Defined Polyacrylamide by Aqueous Cu(0)-Mediated Reversible-Deactivation Radical Polymerization. Macromolecules 2016, 49, 483–489. [Google Scholar] [CrossRef]
- Anastasaki, A.; Nikolaou, V.; Haddleton, D.M. Cu(0)-mediated living radical polymerization: Recent highlights and applications; a perspective. Polym. Chem. 2016, 7, 1002–1026. [Google Scholar] [CrossRef]
- Alsubaie, F.; Anastasaki, A.; Wilson, P.; Haddleton, D.M. Sequence-controlled multi-block copolymerization of acrylamides via aqueous SET-LRP at 0 °C. Polym. Chem. 2015, 6, 406–417. [Google Scholar] [CrossRef]
- Herberg, A.; Yu, X.; Kuckling, D. End Group Stability of Atom Transfer Radical Polymerization (ATRP)-Synthesized Poly(N-isopropylacrylamide): Perspectives for Diblock Copolymer Synthesis. Polymers 2019, 11, 678. [Google Scholar] [CrossRef] [PubMed]
- Gorey, C.; Escobar, I.C. N-isopropylacrylamide (NIPAAM) modified cellulose acetate ultrafiltration membranes. J. Membr. Sci. 2011, 383, 272–279. [Google Scholar] [CrossRef]
- Xiong, B.; Loss, R.D.; Shields, D.; Pawlik, T.; Hochreiter, R.; Zydney, A.L.; Kumar, M. Polyacrylamide degradation and its implications in environmental systems. npj Clean Water 2018, 1, 17. [Google Scholar] [CrossRef]
- Leung, W.M.; Axelson, D.E.; Van Dyke, J.D. Thermal degradation of polyacrylamide and poly(acrylamide-co-acrylate). J. Polym. Sci. Part A Polym. Chem. 1987, 25, 1825–1846. [Google Scholar] [CrossRef]
- Yang, M.-H. The Two-Stages Thermal Degradation of Polyacrylamide. Polym. Test. 1998, 17, 191–198. [Google Scholar] [CrossRef]
- Janigová, I.; Csomorová, K.; Stillhammerová, M.; Bartoň, J. Differential scanning calorimetry and thermogravimetry studies of polyacrylamide prepared by free-radical polymerization in inverse microemulsion and in solution. Macromol. Chem. Phys. 1994, 195, 3609–3614. [Google Scholar] [CrossRef]
- Narumi, A.; Chen, Y.; Sone, M.; Fuchise, K.; Sakai, R.; Satoh, T.; Duan, Q.; Kawaguchi, S.; Kakuchi, T. Poly(N-hydroxyethylacrylamide) Prepared by Atom Transfer Radical Polymerization as a Nonionic, Water-Soluble, and Hydrolysis-Resistant Polymer and/or Segment of Block Copolymer with a Well-Defined Molecular Weight. Macromol. Chem. Phys. 2009, 210, 349–358. [Google Scholar] [CrossRef]
- Gao, Y.; Yang, J.; Ding, Y.; Ye, X. Effect of urea on phase transition of poly(N-isopropylacrylamide) investigated by differential scanning calorimetry. J. Phys. Chem. B 2014, 118, 9460–9466. [Google Scholar] [CrossRef]
- Luo, G.F.; Chen, W.H.; Zhang, X.Z. 100th Anniversary of Macromolecular Science Viewpoint: Poly(N-isopropylacrylamide)-Based Thermally Responsive Micelles. ACS Macro Lett. 2020, 9, 872–881. [Google Scholar] [CrossRef] [PubMed]
- Qiao, S.; Wang, H. Temperature-responsive polymers: Synthesis, properties, and biomedical applications. Nano Res. 2018, 11, 5400–5423. [Google Scholar] [CrossRef]
- Lanzalaco, S.; Armelin, E. Poly(N-isopropylacrylamide) and Copolymers: A Review on Recent Progresses in Biomedical Applications. Gels 2017, 3, 36. [Google Scholar] [CrossRef]
- Kim, S.; Sikes, H.D. Radical polymerization reactions for amplified biodetection signals. Polym. Chem. 2020, 11, 1424–1444. [Google Scholar] [CrossRef]
- Chhabra, A.; Kanapuram, R.R.; Kim, T.J.; Geng, J.; da Silva, A.K.; Bielawski, C.W.; Hidrovo, C.H. Humidity effects on the wetting characteristics of poly(N-isopropylacrylamide) during a lower critical solution transition. Langmuir 2013, 29, 8116–8124. [Google Scholar] [CrossRef]
- De Bon, F.; Ribeiro, D.C.M.; Abreu, C.M.R.; Rebelo, R.A.C.; Isse, A.A.; Serra, A.C.; Gennaro, A.; Matyjaszewski, K.; Coelho, J.F.J. Under pressure: Electrochemically-mediated atom transfer radical polymerization of vinyl chloride. Polym. Chem. 2020, 11, 6745–6762. [Google Scholar] [CrossRef]
- De Bon, F.; Isse, A.A.; Gennaro, A. Towards scale-up of electrochemically-mediated atom transfer radical polymerization: Use of a stainless-steel reactor as both cathode and reaction vessel. Electrochim. Acta 2019, 304, 505–512. [Google Scholar] [CrossRef]















| Macroinitiators | Cellulose Starting Amount (g) | BriB/TEA/EA (mL) | Material Recovery (%) |
|---|---|---|---|
| Cellulose (H)-BriB | 15 | 16.1/18.2/400 | 99 |
| Cellulose (L)-BriB | 15 | 8.0/9.1/400 | 98 |
| Name | Empirical Formula | Role | Concentration | Quantity (at 500 mL) |
|---|---|---|---|---|
| Acrylamide (AAm), 2-hydroxyethyl acrylamide (HEAAm), N-isopropylacrylamide (NIPAAm) | C3H5NO (AAm) C5H9NO2 (HEAAm) C6H11NO (NIPAAm) | Monomers | 1.41 M (AAm) 0.96 M (HEAAm) 0.88 (NIPAAm) | 50 g (AAm) 25 g (HEAAm) 25 g (NIPAAm) |
| Water | H2O | Solvent | ~50 M | 450 mL |
| Copper (II) Bromide | CuBr2 | Precatalyst | 5 × 10−4 M | 111.65 mg |
| Tris(2-dimethylaminoethyl) amine (Me6TREN) | C12H30N4 | Ligand | 2 × 10−3 M | 460.8 mg |
| Sodium Pyruvate (SP) | C3H3O3Na | ROS scrubber-excitant | 5 × 10−2 M | 2.75 g |
| Buffer | Na and K Phosphates | Buffer components | 10mM | 709.6 mg (Na) 122.5 mg (K) |
| Sodium Bromide | NaBr | Halide salt | 5 × 10−2–10−1 M | 5.124 g |
| Dimethylformamide (DMF) | C3H7NO | NMR internal standard | 2 vol% | 10 mL |
| Cellulose-BriB | (C6H1BrO3)n-(C4H7BrO2)m | Macroalkyl halide initiator | 1.5–3 wt% | 7.5 g |
| Entry | Monomer | Cellulose Type | Eapp | t (h) | Conv. (%) b | Mnapp c (kg/mol) | Đ d | |Q| (C) |
|---|---|---|---|---|---|---|---|---|
| 1 | AAm | H | Epc | 1 | 67 | 38.1 | 1.45 | 0.60 |
| 2 | AAm | L | Epc | 1 | 40 | 30.9 | 1.50 | 0.69 |
| 3 | NIPAAm | H | Epc | 2 | 69 | 33.3 | 1.15 | 2.42 |
| 4 | HEAAm | H | Epc | 2 | 80 | 35.6 | 1.44 | 1.07 |
| Volume (Vf) | Monomer | Cellulose Type | Step | Current Intensity (mA) | Time (s) | |Qerogated| (C) | Liquid Height (cm) | Surface (cm2) | S/V (cm−1) |
|---|---|---|---|---|---|---|---|---|---|
| 40 | AAm | H and L | 1 | −0.790 | 870 | 0.687 | 3.3 | 53.09 | 0.753 |
| 40 | AAm | H and L | 2 | −0.386 | 6330 | 2.445 | |||
| Total | 7200 | 3.312 | |||||||
| 40 | NIPAAm | H and L | 1 | −0.790 | 870 | 0.687 | 3.3 | 53.09 | 0.753 |
| 40 | NIPAAm | H and L | 2 | −0.386 | 4500 | 1.737 | |||
| Total | 5300 | 2.424 | |||||||
| 40 | HEAAm | H and L | 1 | −1.135 | 1160 | 1.316 | 3.3 | 53.09 | 0.753 |
| 40 | HEAAm | H and L | 2 | −0.891 | 6060 | 5.399 | |||
| Total | 7220 | 6.716 | |||||||
| 500 | AAm | H | 1 | −12.227 | 1060 | 12.54 | 3.6 | 302.35 | 0.605 |
| 500 | AAm | H | 2 | −3.043 | 9740 | 32.39 | |||
| Total | 10,800 | 44.93 | |||||||
| 500 | HEAAm | H | 1 | −10.94 | 1160 | 12.69 | 3.6 | 302.35 | 0.605 |
| 500 | HEAAm | H | 2 | −8.576 | 7840 | 67.24 | |||
| Total | 9000 | 79.93 | |||||||
| 500 | NIPAAm | H | 1 | −7.162 | 870 | 6.23 | 3.6 | 302.35 | 0.605 |
| 500 | NIPAAm | H | 2 | −3.710 | 7840 | 29.09 | |||
| Total | 8710 | 35.32 | |||||||
| 1000 | AAm | H | 1 | −32.339 | 1060 | 34.31 | 6.7 | 444.39 | 0.444 |
| 1000 | AAm | H | 2 | −12.887 | 13,461 | 173.46 | |||
| Total | 14,521 | 213.77 | |||||||
| Entry | Monomer | Cellulose Type | Volume (mL) | t (h) | Conv. (%) b | Mnapp c (kg/mol) | Đ d | |Qerogated| (C) |
|---|---|---|---|---|---|---|---|---|
| 1 | NIPAAm | L | 40 | 2 | 75 | 64.5 | 1.13 | 3.32 |
| 2 | HEAAm | L | 40 | 2 | 58 | 61.3 | 1.36 | 3.32 |
| 3 | AAm | L | 40 | 2 | 55 | 50.3 | 1.44 | 3.32 |
| 4 | NIPAAm | H | 40 | 1.5 | 81 | 42.1 | 1.16 | 3.32 |
| 5 | HEAAm | H | 40 | 2 | 84 | 43.4 | 1.58 | 3.32 |
| 6 | AAm | H | 40 | 2 | 68 | 39.6 | 1.48 | 3.32 |
| 7 | NIPAAm | H | 500 | 2.4 | 90 | 51.3 | 1.16 | 35.32 |
| 8 | HEAAm | H | 500 | 2.5 | 98 | 56.5 | 1.29 | 79.93 |
| 9 | AAm | H | 500 | 3 | 86 | 46.2 | 1.57 | 44.93 |
| 10 | AAm | H | 1000 | 4 | 70 | 112.6 | 2.06 | 262.24 |
| Initial Volume (mL) | Initial Ratio (mol) | After Extraction | Relative Peak Area (NMR) b | Proton Number c | n × 10−2 (mol) | Mass Extraction (mg) e | |
| DMF a | - | - | 1.00 | 1 | 7.25 | 5.3 | |
| OAc | 6.53 | 1.00 | 0.06 | 3 | 0.145 | 0.087 | |
| TMG | 14 | 1.00 | - | - | 0.145 d | 0.167 | |
| DMSO | 10 | 1.26 | - | - | 0.183 d | 0.143 |
| Mass Extracted (in NMR, mg) | Extrapolated Mass Extracted in 2 mL (mg) | Initial Mass of Extracted Film (mg) | ABIL Retained (wt.%) |
|---|---|---|---|
| 0.397 | 1.134 | 107.1 | 1.1 |
Publisher’s Note: MDPI stays neutral with regard to jurisdictional claims in published maps and institutional affiliations. |
© 2022 by the authors. Licensee MDPI, Basel, Switzerland. This article is an open access article distributed under the terms and conditions of the Creative Commons Attribution (CC BY) license (https://creativecommons.org/licenses/by/4.0/).
Share and Cite
De Bon, F.; Azevedo, I.M.; Ribeiro, D.C.M.; Rebelo, R.C.; Coelho, J.F.J.; Serra, A.C. Scaling-Up an Aqueous Self-Degassing Electrochemically Mediated ATRP in Dispersion for the Preparation of Cellulose–Polymer Composites and Films. Polymers 2022, 14, 4981. https://doi.org/10.3390/polym14224981
De Bon F, Azevedo IM, Ribeiro DCM, Rebelo RC, Coelho JFJ, Serra AC. Scaling-Up an Aqueous Self-Degassing Electrochemically Mediated ATRP in Dispersion for the Preparation of Cellulose–Polymer Composites and Films. Polymers. 2022; 14(22):4981. https://doi.org/10.3390/polym14224981
Chicago/Turabian StyleDe Bon, Francesco, Inês M. Azevedo, Diana C. M. Ribeiro, Rafael C. Rebelo, Jorge F. J. Coelho, and Arménio C. Serra. 2022. "Scaling-Up an Aqueous Self-Degassing Electrochemically Mediated ATRP in Dispersion for the Preparation of Cellulose–Polymer Composites and Films" Polymers 14, no. 22: 4981. https://doi.org/10.3390/polym14224981
APA StyleDe Bon, F., Azevedo, I. M., Ribeiro, D. C. M., Rebelo, R. C., Coelho, J. F. J., & Serra, A. C. (2022). Scaling-Up an Aqueous Self-Degassing Electrochemically Mediated ATRP in Dispersion for the Preparation of Cellulose–Polymer Composites and Films. Polymers, 14(22), 4981. https://doi.org/10.3390/polym14224981

