Bacterial Succinoglycans: Structure, Physical Properties, and Applications
Abstract
1. Introduction
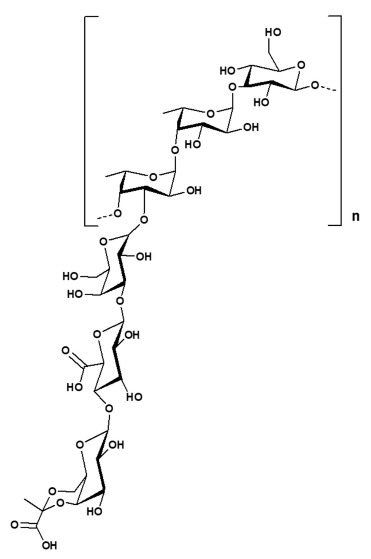
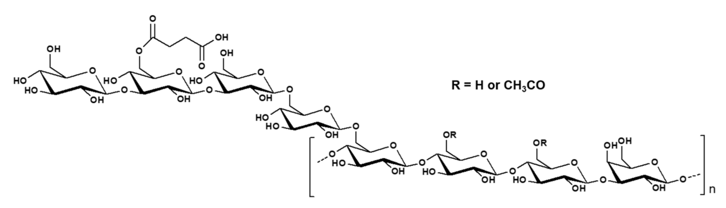
2. The Structure and Composition Analysis of Succinoglycans Extracted from Bacteria
2.1. Sinorhizobium meliloti
2.2. Pseudomonas oleovorans
2.3. Enterobacter Strain A47
2.4. Agrobacterium sp. ZCC3656
2.5. Rhizobium radiobacter Strain CAS
3. Physical Properties of Succinoglycan
3.1. Conformational Analysis
3.2. Thermal Analysis
3.3. Rheological Properties
4. Applications of Succinoglycan
4.1. Thickener
4.2. Emulsifier
4.3. Stabilizing Agents
4.4. Hydrogel
4.5. Biomedical Applications
5. Conclusions and Future Perspectives
Author Contributions
Funding
Institutional Review Board Statement
Informed Consent Statement
Data Availability Statement
Conflicts of Interest
References
- Delbarre-Ladrat, C.; Sinquin, C.; Lebellenger, L.; Zykwinska, A.; Colliec-Jouault, S. Exopolysaccharides produced by marine bacteria and their applications as glycosaminoglycan-like molecules. Front. Chem. 2014, 2, 85. [Google Scholar] [CrossRef] [PubMed]
- Giri, T.K.; Kumarasamy, D.; Mukherjee, S.; Das, M. Prospect of plant and algal polysaccharides-based hydrogels. In Plant and Algal Hydrogels for Drug Delivery and Regenerative Medicine; Elsevier: Amsterdam, The Netherlands, 2021; pp. 37–73. [Google Scholar]
- Zhao, D.; Zhu, Y.; Cheng, W.; Chen, W.; Wu, Y.; Yu, H. Cellulose-based flexible functional materials for emerging intelligent electronics. Adv. Mater. 2020, 33, e2000619. [Google Scholar] [CrossRef] [PubMed]
- Kumar, R.; Ranwa, S.; Kumar, G. Biodegradable flexible substrate based on chitosan/PVP blend polymer for disposable electronics device applications. J. Phys. Chem. B 2019, 124, 149–155. [Google Scholar] [CrossRef] [PubMed]
- Miao, J.; Liu, H.; Li, Y.; Zhang, X. Biodegradable transparent substrate based on edible starch–chitosan embedded with nature-inspired three-dimensionally interconnected conductive nanocomposites for wearable green electronics. ACS Appl. Mater. Interfaces 2018, 10, 23037–23047. [Google Scholar] [CrossRef] [PubMed]
- Abid, M.; Naveed, M.; Azeem, I.; Faisal, A.; Nazar, M.F.; Yameen, B. Colon specific enzyme responsive oligoester crosslinked dextran nanoparticles for controlled release of 5-fluorouracil. Int. J. Pharm. 2020, 586, 119605. [Google Scholar] [CrossRef]
- Cao, F.; Yan, M.; Liu, Y.; Liu, L.; Ma, G. Photothermally controlled MHC class I restricted CD8+ T-cell responses elicited by hyaluronic acid decorated gold nanoparticles as a vaccine for cancer immunotherapy. Adv. Healthc. Mater. 2018, 7, 1701439. [Google Scholar] [CrossRef]
- Plucinski, A.; Lyu, Z.; Schmidt, B.V. Polysaccharide nanoparticles: From fabrication to applications. J. Mater. Chem. B 2021, 9, 7030–7062. [Google Scholar] [CrossRef]
- Rastin, H.; Ramezanpour, M.; Hassan, K.; Mazinani, A.; Tung, T.T.; Vreugde, S.; Losic, D. 3D bioprinting of a cell-laden antibacterial polysaccharide hydrogel composite. Carbohydr. Polym. 2021, 264, 117989. [Google Scholar] [CrossRef] [PubMed]
- Beaumont, M.; Tran, R.; Vera, G.; Niedrist, D.; Rousset, A.; Pierre, R.; Shastri, V.P.; Forget, A. Hydrogel-Forming Algae Polysaccharides: From Seaweed to Biomedical Applications. Biomacromolecules 2021, 22, 1027–1052. [Google Scholar] [CrossRef]
- Ahmad, N.H.; Mustafa, S.; Che Man, Y.B. Microbial polysaccharides and their modification approaches: A review. Int. J. Food Prop. 2015, 18, 332–347. [Google Scholar] [CrossRef]
- Jindal, N.; Khattar, J.S. Microbial polysaccharides in food industry. In Biopolymers for Food Design; Elsevier: Amsterdam, The Netherlands, 2018; pp. 95–123. [Google Scholar]
- Szewczuk-Karpisz, K.; Tomczyk, A.; Komaniecka, I.; Choma, A.; Adamczuk, A.; Sofińska-Chmiel, W. Impact of Sinorhizobium meliloti exopolysaccharide on adsorption and aggregation in the copper (II) ions/supporting electrolyte/kaolinite system. Materials 2021, 14, 1950. [Google Scholar] [CrossRef] [PubMed]
- Tiwari, O.N.; Sasmal, S.; Kataria, A.K.; Devi, I. Application of microbial extracellular carbohydrate polymeric substances in food and allied industries. 3 Biotech 2020, 10, 1–17. [Google Scholar] [CrossRef]
- Sathiyanarayanan, G.; Dineshkumar, K.; Yang, Y.-H. Microbial exopolysaccharide-mediated synthesis and stabilization of metal nanoparticles. Crit. Rev. Microbiol. 2017, 43, 731–752. [Google Scholar] [CrossRef]
- Godinho, A.L.; Bhosle, S. Sand aggregation by exopolysaccharide-producing Microbacterium arborescens––AGSB. Curr. Microbiol. 2009, 58, 616–621. [Google Scholar] [CrossRef]
- Arnold, M.F.; Penterman, J.; Shabab, M.; Chen, E.J.; Walker, G.C. Important late-stage symbiotic role of the Sinorhizobium meliloti exopolysaccharide succinoglycan. J. Bacteriol. 2018, 200, e00665-17. [Google Scholar] [CrossRef]
- Ates, O. Systems biology of microbial exopolysaccharides production. Front. Bioeng. Biotechnol. 2015, 3, 200. [Google Scholar] [CrossRef]
- Yoo, S.-H.; Yoon, E.J.; Cha, J.; Lee, H.G. Antitumor activity of levan polysaccharides from selected microorganisms. Int. J. Biol. Macromol. 2004, 34, 37–41. [Google Scholar] [CrossRef] [PubMed]
- He, F.; Yang, Y.; Yang, G.; Yu, L. Studies on antibacterial activity and antibacterial mechanism of a novel polysaccharide from Streptomyces virginia H03. Food Control 2010, 21, 1257–1262. [Google Scholar] [CrossRef]
- Nagaoka, M.; Hashimoto, S.; Watanabe, T.; Yokokura, T.; Mori, Y. Anti-ulcer effects of lactic acid bacteria and their cell wall polysaccharides. Biol. Pharm. Bull. 1994, 17, 1012–1017. [Google Scholar] [CrossRef]
- Rossi, S.; Bonferoni, M.; D’Autilia, F.; Sandri, G.; Ferrari, F.; Caramella, C.; Mortara, E.; Giannini, V.; Gasparri, F. Associations of natural polymers to modulate mucoadhesion of vaginal rinse-off and leave-on formulations. J. Drug Deliv. Sci. Technol. 2014, 24, 496–502. [Google Scholar] [CrossRef]
- Bakhtiyari, M.; Moosavi-Nasab, M.; Askari, H. Optimization of succinoglycan hydrocolloid production by Agrobacterium radiobacter grown in sugar beet molasses and investigation of its physicochemical characteristics. Food Hydrocoll. 2015, 45, 18–29. [Google Scholar] [CrossRef]
- Ruiz, S.P.; Martinez, C.O.; Noce, A.S.; Sampaio, A.R.; Baesso, M.L.; Matioli, G. Biosynthesis of succinoglycan by Agrobacterium radiobacter NBRC 12665 immobilized on loofa sponge and cultivated in sugar cane molasses. Structural and rheological characterization of biopolymer. J. Mol. Catal. B Enzym. 2015, 122, 15–28. [Google Scholar] [CrossRef]
- Andhare, P.; Delattre, C.; Pierre, G.; Michaud, P.; Pathak, H. Characterization and rheological behaviour analysis of the succinoglycan produced by Rhizobium radiobacter strain CAS from curd sample. Food Hydrocoll. 2017, 64, 1–8. [Google Scholar] [CrossRef]
- Wang, L.; Cheng, R.; Sun, X.; Zhao, Y.; Ge, W.; Yang, Y.; Gao, Y.; Ding, Z.; Liu, J.; Zhang, J. Preparation and Gut Microbiota Modulatory Property of the Oligosaccharide Riclinoctaose. J. Agric. Food Chem. 2021, 69, 3667–3676. [Google Scholar] [CrossRef] [PubMed]
- Lawson, C.; Sutherland, I. Polysaccharides. In Economic Microbiology: Primary Products of Metabolism; Academic Press: Cambridge, MA, USA, 1978; pp. 327–392. [Google Scholar]
- Ateş, O.; Oner, E.T. Microbial xanthan, levan, gellan, and curdlan as food additives. In Microbial Functional Foods and Nutraceuticals; Wiley: Hoboken, NJ, USA, 2017. [Google Scholar]
- Shanmugam, M.; Abirami, R. Microbial polysaccharides-chemistry and applications. J. Biol. Act. Prod. Nat. 2019, 9, 73–78. [Google Scholar] [CrossRef]
- Gravanis, G.; Milas, M.; Rinaudo, M.; Clarke-Sturman, A.J. Rheological behaviour of a succinoglycan polysaccharide in dilute and semi-dilute solutions. Int. J. Biol. Macromol. 1990, 12, 201–206. [Google Scholar] [CrossRef]
- Ridout, M.; Brownsey, G.; York, G.; Walker, G.; Morris, V. Effect of O-acyl substituents on the functional behaviour of Rhizobium meliloti succinoglycan. Int. J. Biol. Macromol. 1997, 20, 1–7. [Google Scholar] [CrossRef]
- Stredansky, M.; Conti, E.; Bertocchi, C.; Navarini, L.; Matulova, M.; Zanetti, F. Fed-batch production and simple isolation of succinoglycan from Agrobacterium tumefaciens. Biotechnol. Tech. 1999, 13, 7–10. [Google Scholar] [CrossRef]
- Moosavi-Nasab, M.; Taherian, A.R.; Bakhtiyari, M.; Farahnaky, A.; Askari, H. Structural and rheological properties of succinoglycan biogums made from low-quality date syrup or sucrose using Agrobacterium radiobacter inoculation. Food Bioprocess Technol. 2012, 5, 638–647. [Google Scholar] [CrossRef]
- Zhou, F.; Wu, Z.; Chen, C.; Han, J.; Ai, L.; Guo, B. Exopolysaccharides produced by Rhizobium radiobacter S10 in whey and their rheological properties. Food Hydrocoll. 2014, 36, 362–368. [Google Scholar] [CrossRef]
- Gao, H.; Yang, L.; Tian, J.; Huang, L.; Huang, D.; Zhang, W.; Xie, F.; Niu, Y.; Jin, M.; Jia, C. Characterization and rheological properties analysis of the succinoglycan produced by a high-yield mutant of Rhizobium radiobacter ATCC 19358. Int. J. Biol. Macromol. 2021, 166, 61–70. [Google Scholar] [CrossRef]
- Kim, D.; Kim, S.; Jung, S. Fabrication and Characterization of Polysaccharide Metallohydrogel Obtained from Succinoglycan and Trivalent Chromium. Polymers 2021, 13, 202. [Google Scholar] [CrossRef]
- Balnois, E.; Stoll, S.; Wilkinson, K.J.; Buffle, J.; Rinaudo, M.; Milas, M. Conformations of succinoglycan as observed by atomic force microscopy. Macromolecules 2000, 33, 7440–7447. [Google Scholar] [CrossRef]
- Dentini, M.; Crescenzi, V.; Fidanza, M.; Coviello, T. The aggregation and conformational states in aqueous solution of a succinoglycan polysaccharide. Macromolecules 1989, 22, 954–959. [Google Scholar] [CrossRef]
- Hawkins, J.P.; Geddes, B.A.; Oresnik, I.J. Succinoglycan production contributes to acidic pH tolerance in Sinorhizobium meliloti Rm1021. Mol. Plant-Microbe Interact. 2017, 30, 1009–1019. [Google Scholar] [CrossRef]
- Jones, K.M. Features of Sinorhizobium meliloti exopolysaccharide succinoglycan required for successful invasion of Medicago truncatula nodules. In The Model Legume Medicago truncatula; John Wiley & Sons, Inc.: Hoboken, NJ, USA, 2019; pp. 571–578. [Google Scholar]
- Tang, G.; Li, Q.; Xing, S.; Li, N.; Tang, Z.; Yu, L.; Yan, J.; Li, X.; Luo, L. The LsrB protein is required for Agrobacterium tumefaciens interaction with host plants. Mol. Plant-Microbe Interact. 2018, 31, 951–961. [Google Scholar] [CrossRef] [PubMed]
- Primo, E.D.; Cossovich, S.; Nievas, F.; Bogino, P.; Humm, E.A.; Hirsch, A.M.; Giordano, W. Exopolysaccharide production in Ensifer meliloti laboratory and native strains and their effects on alfalfa inoculation. Arch. Microbiol. 2020, 202, 391–398. [Google Scholar] [CrossRef] [PubMed]
- Freitas, F.; Alves, V.D.; Carvalheira, M.; Costa, N.; Oliveira, R.; Reis, M.A. Emulsifying behaviour and rheological properties of the extracellular polysaccharide produced by Pseudomonas oleovorans grown on glycerol byproduct. Carbohydr. Polym. 2009, 78, 549–556. [Google Scholar] [CrossRef]
- Alves, V.D.; Freitas, F.; Torres, C.A.; Cruz, M.; Marques, R.; Grandfils, C.; Gonçalves, M.; Oliveira, R.; Reis, M.A. Rheological and morphological characterization of the culture broth during exopolysaccharide production by Enterobacter sp. Carbohydr. Polym. 2010, 81, 758–764. [Google Scholar] [CrossRef]
- Kim, S.; Jung, S. Biocompatible and self-recoverable succinoglycan dialdehyde-crosslinked alginate hydrogels for pH-controlled drug delivery. Carbohydr. Polym. 2020, 250, 116934. [Google Scholar] [CrossRef]
- Wu, Z.; Cheng, Y.; Yang, Y.; Gao, Y.; Sun, X.; Wang, L.; Sun, Q.; Zhang, J.; Xu, X. In vitro and in vivo anti-Listeria effect of Succinoglycan Riclin through regulating MAPK/IL-6 axis and metabolic profiling. Int. J. Biol. Macromol. 2020, 150, 802–813. [Google Scholar] [CrossRef]
- Rehm, B. Microbial Production of Biopolymers and Polymer Precursors: Applications and Perspectives; Caister Academic Press: Wymondham, UK, 2009. [Google Scholar]
- Imeson, A. Food Stabilisers, Thickeners and Gelling Agents; John Wiley & Sons Inc.: Hoboken, NJ, USA, 2011. [Google Scholar]
- Ullrich, M. Bacterial Polysaccharides: Current Innovations and Future Trends. Horizon Scientific Press: Wymondham, UK, 2009. [Google Scholar]
- Yang, S.-T. Bioprocessing for Value-Added Products from Renewable Resources: New Technologies and Applications; Elsevier: Amsterdam, The Netherlands, 2011. [Google Scholar]
- Fialho, A.M.; Moreira, L.M.; Granja, A.T.; Popescu, A.O.; Hoffmann, K.; Sá-Correia, I. Occurrence, production, and applications of gellan: Current state and perspectives. Appl. Microbiol. Biotechnol. 2008, 79, 889–900. [Google Scholar] [CrossRef] [PubMed]
- Bajaj, I.B.; Survase, S.A.; Saudagar, P.S.; Singhal, R.S. Gellan gum: Fermentative production, downstream processing and applications. Food Technol. Biotechnol. 2007, 45, 341–354. [Google Scholar]
- Rehm, B.H. Alginate production: Precursor biosynthesis, polymerization and secretion. In Alginates: Biology and Applications; Springer: Berlin/Heidelberg, Germany, 2009; pp. 55–71. [Google Scholar]
- Peña, C.; Millán, M.; Galindo, E. Production of alginate by Azotobacter vinelandii in a stirred fermentor simulating the evolution of power input observed in shake flasks. Process Biochem. 2008, 43, 775–778. [Google Scholar] [CrossRef]
- Laurent, T.C.; Laurent, U.B.; Fraser, J.R.E. The structure and function of hyaluronan: An overview. Immunol. Cell Biol. 1996, 74, a1–a7. [Google Scholar] [CrossRef] [PubMed]
- Simsek, S.; Mert, B.; Campanella, O.H.; Reuhs, B. Chemical and rheological properties of bacterial succinoglycan with distinct structural characteristics. Carbohydr. Polym. 2009, 76, 320–324. [Google Scholar] [CrossRef]
- Cheng, H.-P.; Walker, G.C. Succinoglycan is required for initiation and elongation of infection threads during nodulation of alfalfa by Rhizobium meliloti. J. Bacteriol. 1998, 180, 5183–5191. [Google Scholar] [CrossRef]
- Reinhold, B.B.; Chan, S.Y.; Reuber, T.L.; Marra, A.; Walker, G.C.; Reinhold, V.N. Detailed structural characterization of succinoglycan, the major exopolysaccharide of Rhizobium meliloti Rm1021. J. Bacteriol. 1994, 176, 1997–2002. [Google Scholar] [CrossRef]
- Becker, A.; Ruberg, S.; Baumgarth, B.; Bertram-Drogatz, P.A.; Quester, I.; Puhler, A. Regulation of succinoglycan and galactoglucan biosynthesis in Sinorhizobium meliloti. J. Mol. Microbiol. Biotechnol. 2002, 4, 187–190. [Google Scholar]
- Alves, V.D.; Ferreira, A.R.; Costa, N.; Freitas, F.; Reis, M.A.; Coelhoso, I.M. Characterization of biodegradable films from the extracellular polysaccharide produced by Pseudomonas oleovorans grown on glycerol byproduct. Carbohydr. Polym. 2011, 83, 1582–1590. [Google Scholar] [CrossRef]
- Freitas, F.; Alves, V.D.; Pais, J.; Costa, N.; Oliveira, C.; Mafra, L.; Hilliou, L.; Oliveira, R.; Reis, M.A. Characterization of an extracellular polysaccharide produced by a Pseudomonas strain grown on glycerol. Bioresour. Technol. 2009, 100, 859–865. [Google Scholar] [CrossRef] [PubMed]
- Alves, V.D.; Freitas, F.; Costa, N.; Carvalheira, M.; Oliveira, R.; Gonçalves, M.P.; Reis, M.A. Effect of temperature on the dynamic and steady-shear rheology of a new microbial extracellular polysaccharide produced from glycerol byproduct. Carbohydr. Polym. 2010, 79, 981–988. [Google Scholar] [CrossRef]
- Freitas, F.; Alves, V.D.; Torres, C.A.; Cruz, M.; Sousa, I.; Melo, M.J.; Ramos, A.M.; Reis, M.A. Fucose-containing exopolysaccharide produced by the newly isolated Enterobacter strain A47 DSM 23139. Carbohydr. Polym. 2011, 83, 159–165. [Google Scholar] [CrossRef]
- Torres, C.A.; Marques, R.; Antunes, S.; Alves, V.D.; Sousa, I.; Ramos, A.M.; Oliveira, R.; Freitas, F.; Reis, M.A. Kinetics of production and characterization of the fucose-containing exopolysaccharide from Enterobacter A47. J. Biotechnol. 2011, 156, 261–267. [Google Scholar] [CrossRef] [PubMed]
- Yang, Y.; Sun, X.; Zhao, Y.; Ge, W.; Ding, Z.; Liu, J.; Wang, L.; Xu, X.; Zhang, J. Anti-tumor activity and immunogenicity of a succinoglycan riclin. Carbohydr. Polym. 2021, 255, 11730. [Google Scholar] [CrossRef] [PubMed]
- Cheng, R.; Wang, L.; Li, J.; Fu, R.; Wang, S.; Zhang, J. In vitro and in vivo anti-inflammatory activity of a succinoglycan Riclin from Agrobacterium sp. ZCC3656. J. Appl. Microbiol. 2019, 127, 1716–1726. [Google Scholar] [CrossRef] [PubMed]
- Ding, Z.; Cheng, R.; Yang, Y.; Zhao, Y.; Ge, W.; Sun, X.; Xu, X.; Wang, S.; Zhang, J. The succinoglycan riclin restores beta cell function through the regulation of macrophages on Th1 and Th2 differentiation in type 1 diabetic mice. Food Funct. 2021, 2, 11611–11624. [Google Scholar] [CrossRef]
- Kavitake, D.; Marchawala, F.Z.; Delattre, C.; Shetty, P.H.; Pathak, H.; Andhare, P. Biotechnological potential of exopolysaccharide as a bioemulsifier produced by Rhizobium radiobacter CAS isolated from curd. Bioact. Carbohydr. Diet. Fibre 2019, 20, 100202. [Google Scholar] [CrossRef]
- Hu, Y.; Jeong, D.; Kim, Y.; Kim, S.; Jung, S. Preparation of Succinoglycan Hydrogel Coordinated With Fe3+ Ions for Controlled Drug Delivery. Polymers 2020, 12, 977. [Google Scholar] [CrossRef]
- Shin, Y.; Kim, D.; Hu, Y.; Kim, Y.; Hong, I.K.; Kim, M.S.; Jung, S. pH-Responsive Succinoglycan-Carboxymethyl Cellulose Hydrogels with Highly Improved Mechanical Strength for Controlled Drug Delivery Systems. Polymers 2021, 13, 3197. [Google Scholar] [CrossRef]
- Hu, Y.; Kim, Y.; Hong, I.; Kim, M.; Jung, S. Fabrication of Flexible pH-Responsive Agarose/Succinoglycan Hydrogels for Controlled Drug Release. Polymers 2021, 13, 2049. [Google Scholar] [CrossRef]
- Labille, J.; Thomas, F.; Bihannic, I.; Santaella, C. Destabilization of montmorillonite suspensions by Ca2+ and succinoglycan. Clay Miner. 2003, 38, 173–185. [Google Scholar] [CrossRef]
- Fidanza, M.; Dentini, M.; Crescenzi, V.; Del Vecchio, P. Influence of charged groups on the conformational stability of succinoglycan in dilute aqueous solution. Int. J. Biol. Macromol. 1989, 11, 372–376. [Google Scholar] [CrossRef]
- Yamakawa, H. Helical Wormlike Chains in Polymer Solutions; Springer: Berlin/Heidelberg, Germany, 1997; Volume 1. [Google Scholar]
- Norisuye, T. Semiflexible polymers in dilute solution. Prog. Polym. Sci. 1993, 18, 543–584. [Google Scholar] [CrossRef]
- Hugel, T.; Grosholz, M.; Clausen-Schaumann, H.; Pfau, A.; Gaub, H.; Seitz, M. Elasticity of single polyelectrolyte chains and their desorption from solid supports studied by AFM based single molecule force spectroscopy. Macromolecules 2001, 34, 1039–1047. [Google Scholar] [CrossRef]
- Tricot, M. Comparison of experimental and theoretical persistence length of some polyelectrolytes at various ionic strengths. Macromolecules 1984, 17, 1698–1704. [Google Scholar] [CrossRef]
- Takahashi, R.; Tokunou, H.; Kubota, K.; Ogawa, E.; Oida, T.; Kawase, T.; Nishinari, K. Solution properties of gellan gum: Change in chain stiffness between single-and double-stranded chains. Biomacromolecules 2004, 5, 516–523. [Google Scholar] [CrossRef]
- Halder, U.; Banerjee, A.; Bandopadhyay, R. Structural and functional properties, biosynthesis, and patenting trends of Bacterial succinoglycan: A review. Indian J. Microbiol. 2017, 57, 278–284. [Google Scholar] [CrossRef]
- Burova, T.V.; Golubeva, I.A.; Grinberg, N.V.; Mashkevich, A.Y.; Grinberg, V.Y.; Usov, A.I.; Navarini, L.; Cesàro, A. Calorimetric study of the order-disorder conformational transition in succinoglycan. Biopolymers 1996, 39, 517–529. [Google Scholar] [CrossRef]
- Kim, S.; Jeong, D.; Lee, H.; Kim, D.; Jung, S. Succinoglycan dialdehyde-reinforced gelatin hydrogels with toughness and thermal stability. Int. J. Biol. Macromol. 2020, 149, 281–289. [Google Scholar] [CrossRef] [PubMed]
- Choi, J.-M.; Kim, K.-T.; Cho, E.; Jung, S.-H. Solubility enhancement of salicylic acid by complexation with succinoglycan monomers isolated from Sinorhizobium meliloti. Bull. Korean Chem. Soc. 2012, 33, 2091–2094. [Google Scholar] [CrossRef][Green Version]
- Kim, K.; Cho, E.; Choi, J.M.; Kim, H.; Jang, A.; Choi, Y.; Yu, J.-H.; Jung, S. Intermolecular complexation of low-molecular-weight succinoglycans directs solubility enhancement of pindolol. Carbohydr. Polym. 2014, 106, 101–108. [Google Scholar] [CrossRef]
- Milas, M.; Rinaudo, M. Properties of xanthan gum in aqueous solutions: Role of the conformational transition. Carbohydr. Res. 1986, 158, 191–204. [Google Scholar] [CrossRef]
- Harada, T.; Amemura, A.; Jansson, P.-E.; Lindberg, B. Comparative studies of polysaccharides elaborated by Rhizobium, Alcaligenes, and Agrobacterium. Carbohydr. Res. 1979, 77, 285–288. [Google Scholar] [CrossRef]
- Rinaudo, M.; Mils, M. Polyelectroyte behavior of a bacterial polysaccharide from Xanthomonas campestris: Comparison with carboxymethylcellulose. Biopolym. Orig. Res. Biomol. 1978, 17, 2663–2678. [Google Scholar]
- Milas, M.; Rinaudo, M.; Tinland, B. Comparative depolymerization of xanthan gum by ultrasonic and enzymic treatments. Rheological and structural properties. Carbohydr. Polym. 1986, 6, 95–107. [Google Scholar] [CrossRef]
- Boutebba, A.; Milas, M.; Rinaudo, M. On the interchain associations in aqueous solutions of a succinoglycan polysaccharide. Int. J. Biol. Macromol. 1999, 24, 319–327. [Google Scholar] [CrossRef]
- Manning, G.S. Counterion binding in polyelectrolyte theory. Acc. Chem. Res. 1979, 12, 443–449. [Google Scholar] [CrossRef]
- Manning, G.S. Limiting laws and counterion condensation in polyelectrolyte solutions I. Colligative properties. J. Chem. Phys. 1969, 51, 924–933. [Google Scholar] [CrossRef]
- Gravanis, G.; Milas, M.; Rinaudo, M.; Tinland, B. Comparative behavior of the bacterial polysaccharides xanthan and succinoglycan. Carbohydr. Res. 1987, 160, 259–265. [Google Scholar] [CrossRef]
- Barry, S.I.; Gowman, L.M.; Ethier, C.R. Obtaining the concentration-dependent diffusion coefficient from ultrafiltration experiments: Application to hyaluronate. Biopolymers 1996, 39, 1–11. [Google Scholar] [CrossRef]
- Kido, S.; Nakanishi, T.; Norisuye, T.; Kaneda, I.; Yanaki, T. Ordered conformation of succinoglycan in aqueous sodium chloride. Biomacromolecules 2001, 2, 952–957. [Google Scholar] [CrossRef]
- Kaneda, I.; Kobayashi, A.; Miyazaw, K.; Yanaki, T. Double helix of Agrobacterium tumefaciens succinoglycan in dilute solution. Polymer 2002, 43, 1301–1305. [Google Scholar] [CrossRef]
- York, G.M.; Walker, G.C. The succinyl and acetyl modifications of succinoglycan influence susceptibility of succinoglycan to cleavage by the Rhizobium meliloti glycanases ExoK and ExsH. J. Bacteriol. 1998, 180, 4184–4191. [Google Scholar] [CrossRef] [PubMed]
- Leigh, J.A.; Reed, J.W.; Hanks, J.F.; Hirsch, A.M.; Walker, G.C. Rhizobium meliloti mutants that fail to succinylate their calcofluor-binding exopolysaccharide are defective in nodule invasion. Cell 1987, 51, 579–587. [Google Scholar] [CrossRef]
- Reuber, T.L.; Walker, G.C. The acetyl substituent of succinoglycan is not necessary for alfalfa nodule invasion by Rhizobium meliloti Rm1021. J. Bacteriol. 1993, 175, 3653–3655. [Google Scholar] [CrossRef] [PubMed]
- Reuber, T.L.; Walker, G.C. Biosynthesis of succinoglycan, a symbiotically important exopolysaccharide of Rhizobium meliloti. Cell 1993, 74, 269–280. [Google Scholar] [CrossRef]
- Morris, V.; Brownsey, G.; Gunning, A.; Harris, J. Gelation of the extracellular polysaccharide produced by Agrobacterium rhizogenes. Carbohydr. Polym. 1990, 13, 221–225. [Google Scholar] [CrossRef]
- Dentini, M.; Crescenzi, V.; Blasi, D. Conformational properties of xanthan derivatives in dilute aqueous solution. Int. J. Biol. Macromol. 1984, 6, 93–98. [Google Scholar] [CrossRef]
- Rinaudo, M. Role of substituents on the properties of some polysaccharides. Biomacromolecules 2004, 5, 1155–1165. [Google Scholar] [CrossRef]
- Morfin, I.; Reed, W.F.; Rinaudo, M.; Borsali, R. Further evidence of liquid-like correlations in polyelectrolyte solutions. J. Phys. II 1994, 4, 1001–1019. [Google Scholar] [CrossRef]
- Boutebba, A.; Milas, M.; Rinaudo, M. Order—Disorder conformational transition in succinoglycan: Calorimetric measurements. Biopolym. Orig. Res. Biomol. 1997, 42, 811–819. [Google Scholar] [CrossRef]
- Milas, M.; Rinaudo, M.; Knipper, M.; Schuppiser, J.L. Flow and viscoelastic properties of xanthan gum solutions. Macromolecules 1990, 23, 2506–2511. [Google Scholar] [CrossRef]
- Robinson, G.; Manning, C.E.; Morris, E.R. Conformation and physical properties of the bacterial polysaccharides gellan, welan, and rhamsan. In Food Polymers, Gels and Colloids; Elsevier: Amsterdam, The Netherlands, 1991; pp. 22–33. [Google Scholar]
- Rinaudo, M.; Milas, M.; Lambert, F.; Vincendon, M. Proton and carbon-13 NMR investigation of xanthan gum. Macromolecules 1983, 16, 816–819. [Google Scholar] [CrossRef]
- Chouly, C.; Colquhoun, I.J.; Jodelet, A.; York, G.; Walker, G.C. NMR studies of succinoglycan repeating-unit octasaccharides from Rhizobium meliloti and Agrobacterium radiobacter. Int. J. Biol. Macromol. 1995, 17, 357–363. [Google Scholar] [CrossRef]
- Andhare, P.; Goswami, D.; Delattre, C.; Pierre, G.; Michaud, P.; Pathak, H. Edifying the strategy for the finest extraction of succinoglycan from Rhizobium radiobacter strain CAS. Appl. Biol. Chem. 2017, 60, 339–348. [Google Scholar] [CrossRef]
- Cao, Y.; Dickinson, E.; Wedlock, D.J. Creaming and flocculation in emulsions containing polysaccharide. Food Hydrocoll. 1990, 4, 185–195. [Google Scholar] [CrossRef]
- Kwon, C.-H.; Park, B.-H.; Kim, H.-W.; Jung, S.-H. Green synthesis of silver nanoparticles by sinorhizobial octasaccharide isolated from Sinorhizobium meliloti. Bull. Korean Chem. Soc. 2009, 30, 1651–1654. [Google Scholar]
- Cumberland, S.A.; Lead, J.R. Synthesis of NOM-capped silver nanoparticles: Size, morphology, stability, and NOM binding characteristics. ACS Sustain. Chem. Eng. 2013, 1, 817–825. [Google Scholar] [CrossRef]
- Dhadge, V.L.; Morgado, P.I.; Freitas, F.; Reis, M.A.; Azevedo, A.; Aires-Barros, R.; Roque, A.C.A. An extracellular polymer at the interface of magnetic bioseparations. J. R. Soc. Interface 2014, 11, 20140743. [Google Scholar] [CrossRef]
- Palma, S.I.; Rodrigues, C.A.; Carvalho, A.; del Puerto Morales, M.; Freitas, F.; Fernandes, A.R.; Cabral, J.M.; Roque, A.C. A value-added exopolysaccharide as a coating agent for MRI nanoprobes. Nanoscale 2015, 7, 14272–14283. [Google Scholar] [CrossRef]
- Guerreiro, B.M.; Freitas, F.; Lima, J.C.; Silva, J.C.; Dionísio, M.; Reis, M.A. Demonstration of the cryoprotective properties of the fucose-containing polysaccharide FucoPol. Carbohydr. Polym. 2020, 245, 116500. [Google Scholar] [CrossRef] [PubMed]
- Guerreiro, B.M.; Freitas, F.; Lima, J.C.; Silva, J.C.; Reis, M.A. Photoprotective effect of the fucose-containing polysaccharide FucoPol. Carbohydr. Polym. 2021, 259, 117761. [Google Scholar] [CrossRef] [PubMed]
- Fialho, L.; Araújo, D.; Alves, V.D.; Roma-Rodrigues, C.; Baptista, P.V.; Fernandes, A.R.; Freitas, F.; Reis, M.A. Cation-mediated gelation of the fucose-rich polysaccharide FucoPol: Preparation and characterization of hydrogel beads and their cytotoxicity assessment. Int. J. Polym. Mater. Polym. Biomater. 2021, 70, 90–99. [Google Scholar] [CrossRef]
- Guerreiro, B.M.; Silva, J.C.; Lima, J.C.; Reis, M.A.; Freitas, F. Antioxidant Potential of the Bio-Based Fucose-Rich Polysaccharide FucoPol Supports Its Use in Oxidative Stress-Inducing Systems. Polymers 2021, 13, 3020. [Google Scholar] [CrossRef]









| EPS | Strain | Structure | Components | Molecular Weight (g/mol) | Main Properties | Main Applications | Market Value (US$) | Ref. |
|---|---|---|---|---|---|---|---|---|
| Price (US$)/kg | ||||||||
| Xanthan | Xanthomonas sp. | ![]() | Glucose Mannose Glucuronic acid Acetate Pyruvate | <50 × 106 |
|
| 987.7 million (2020) | [47,48,49,50] |
| 3–5 | ||||||||
| Gellan | Sphingomonas paucimobilis ATCC 31461 | ![]() | Glucose Rhamnose Glucuronic acid Acetate Glycerate | 5.0 × 105 |
|
| 15 million | [51,52] |
| 55–66 | ||||||||
| Alginate | Pseudomonas sp. Azotobacter sp. | ![]() | Guluronic acid Mannuronic acid Acetate | <1.3 × 106 |
|
| 923.8 million (2025) | [53,54] |
| 5–20 | ||||||||
| Hyaluronan | Diplococcus sp. Streptococcus sp. Staphylococcus sp. | ![]() | Glucuronic acid Acetylglucosmine | 2.0 × 106 |
|
| 15.4 billion (2025) | [55] |
| 100,000 | ||||||||
| Succinoglycan | Agrobacterium sp. Rhizobium sp. Pseudomonas sp. | ![]() | Glucose Galactose Acetate Pyruvate Succinate | LMW < 5 × 103 HMW > 1 × 106 |
|
| N.A. | [56] |
| Strain | Monosaccharide Composition | Acyl Group Composition | Analysis Method | Ref. |
|---|---|---|---|---|
| Sinorhizobium meliloti | Glucose (87.5%) Galactose (12.5%) | Pyruvyl Acetyl Succinyl | Nuclear magnetic resonance spectroscopy (NMR) Electrospray mass spectrometry (ES-MS) Fourier-transform infrared spectroscopy (FTIR) | [57,58,59] |
| Pseudomonas oleovorans | Galactose (70%) Mannose (23%) Glucose (4%) Rhamnose (3%) | Pyruvyl Acetyl Succinyl | FTIR Solid-state NMR Gas chromatography/mass spectrometry (GC/MS) | [60,61,62] |
| Enterobacter strain A47 | Fucose (37.8%) Galactose (35.8%) Glucose (17%) Glucuronic acid (9.4%) | Pyruvyl Acetyl Succinyl | FTIR High Performance Liquid Chromatography (HPLC) | [63,64] |
| Agrobacterium sp. ZCC3656 | Glucose (87.5%) Galactose (12.5%) | Pyruvyl Succinyl | NMR GC/MS FTIR | [65,66,67] |
| Rhizobium radiobacter strain CAS | Glucose (87.5%) Galactose (12.5%) | Acetyl Succinyl | NMR FTIR High Pressure Anion Exchange Chromatoraphy (HPAEC) | [68] |
Publisher’s Note: MDPI stays neutral with regard to jurisdictional claims in published maps and institutional affiliations. |
© 2022 by the authors. Licensee MDPI, Basel, Switzerland. This article is an open access article distributed under the terms and conditions of the Creative Commons Attribution (CC BY) license (https://creativecommons.org/licenses/by/4.0/).
Share and Cite
Jeong, J.-p.; Kim, Y.; Hu, Y.; Jung, S. Bacterial Succinoglycans: Structure, Physical Properties, and Applications. Polymers 2022, 14, 276. https://doi.org/10.3390/polym14020276
Jeong J-p, Kim Y, Hu Y, Jung S. Bacterial Succinoglycans: Structure, Physical Properties, and Applications. Polymers. 2022; 14(2):276. https://doi.org/10.3390/polym14020276
Chicago/Turabian StyleJeong, Jae-pil, Yohan Kim, Yiluo Hu, and Seunho Jung. 2022. "Bacterial Succinoglycans: Structure, Physical Properties, and Applications" Polymers 14, no. 2: 276. https://doi.org/10.3390/polym14020276
APA StyleJeong, J.-p., Kim, Y., Hu, Y., & Jung, S. (2022). Bacterial Succinoglycans: Structure, Physical Properties, and Applications. Polymers, 14(2), 276. https://doi.org/10.3390/polym14020276






