The Development of Eletriptan Hydrobromide Immediate Release Buccal Films Using Central Composite Rotatable Design: An In Vivo and In Vitro Approach
Abstract
1. Introduction
2. Materials and Methods
2.1. Preparation of Film Formulations
2.2. Analytical Method
2.3. Numerical Optimization
2.4. Characterization of Films
2.4.1. Organoleptic Evaluation
2.4.2. Weight Variation
2.4.3. Film Thickness
2.4.4. Content Uniformity
2.4.5. Surface pH
2.4.6. FTIR Analysis
2.4.7. DSC Analysis
2.4.8. X-Ray diffraction (XRD)
2.4.9. Optical Microscopy
2.4.10. Surface Electron Microscopy (SEM)
2.4.11. Percentage Moisture Content
2.4.12. Disintegration Time (DT) and Total Dissolving Time (TDT)
2.4.13. Mechanical Strength
2.4.14. Tensile Strength (TS)
2.4.15. Percentage Elongation at break (% EB)
2.4.16. Strain
2.4.17. Folding Endurance (FE)
2.4.18. In Vitro Drug Release Studies
2.4.19. In Vitro Diffusion Studies
2.4.20. Kinetic Modeling
2.4.21. Numerical Optimization
2.4.22. Ex Vivo Permeation
2.4.23. In Vivo Analysis
2.4.24. Selection of animals
2.4.25. Dose Administration
2.4.26. Drugs Extraction from Animal Plasma
2.4.27. Statistical Analysis
2.4.28. Stability Studies
2.4.29. Histopathological Slides
3. Results and Discussions
3.1. Organoleptic Evaluation
3.2. Weight Variation
3.3. Film Thickness
3.4. Content Uniformity
3.5. Surface pH
3.6. FTIR Analysis
3.7. Differential Scanning Calorimetry (DSC) Analysis
3.8. X-ray Diffraction (XRD)
3.9. Optical Microscopy
3.10. SEM
3.11. Percentage Moisture Content
3.12. Disintegration Time (DT) and Total Dissolving Time (TDT)
3.13. Mechanical Strength
3.13.1. TS
3.13.2. % EB
3.13.3. Strain
3.13.4. FE
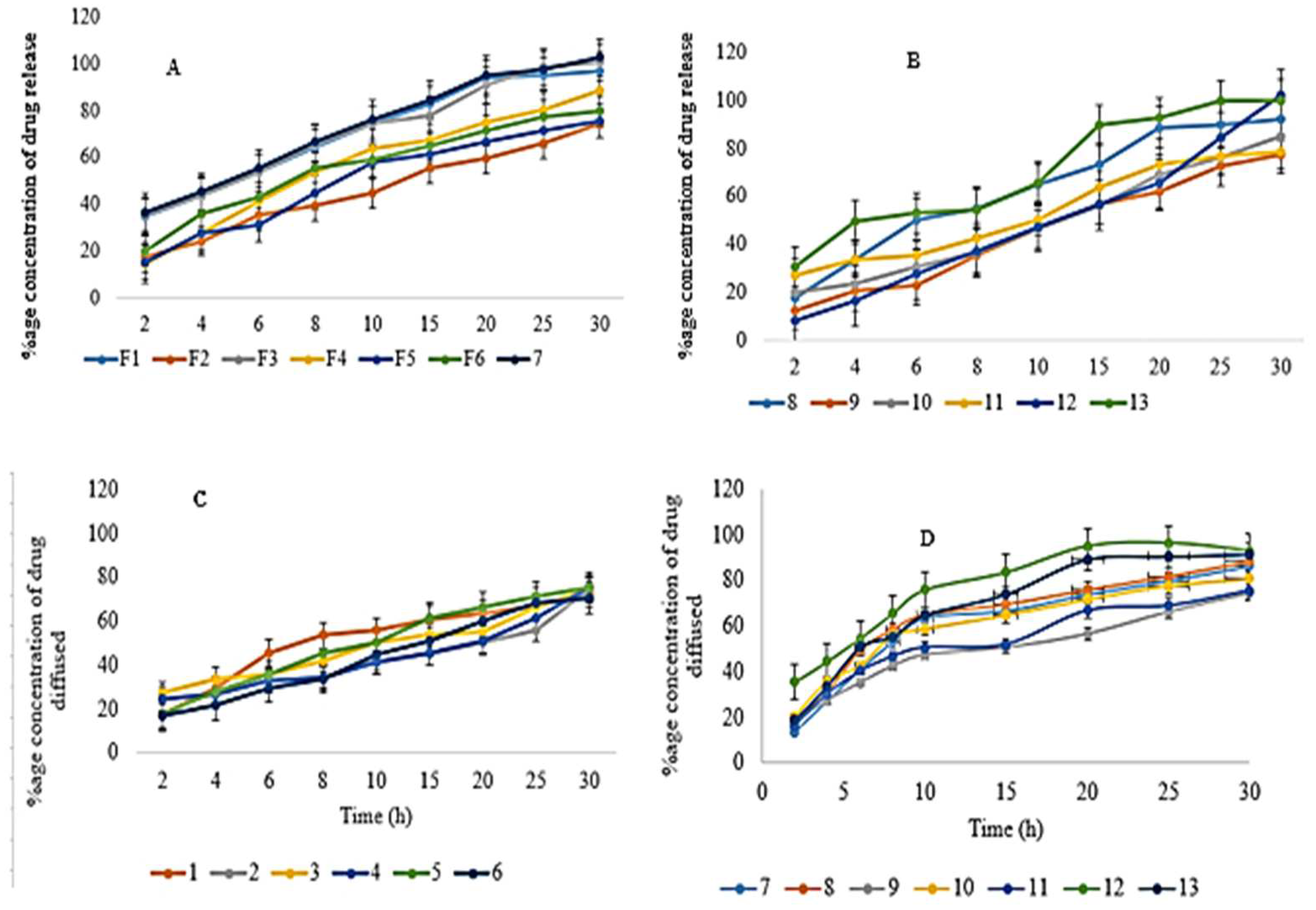
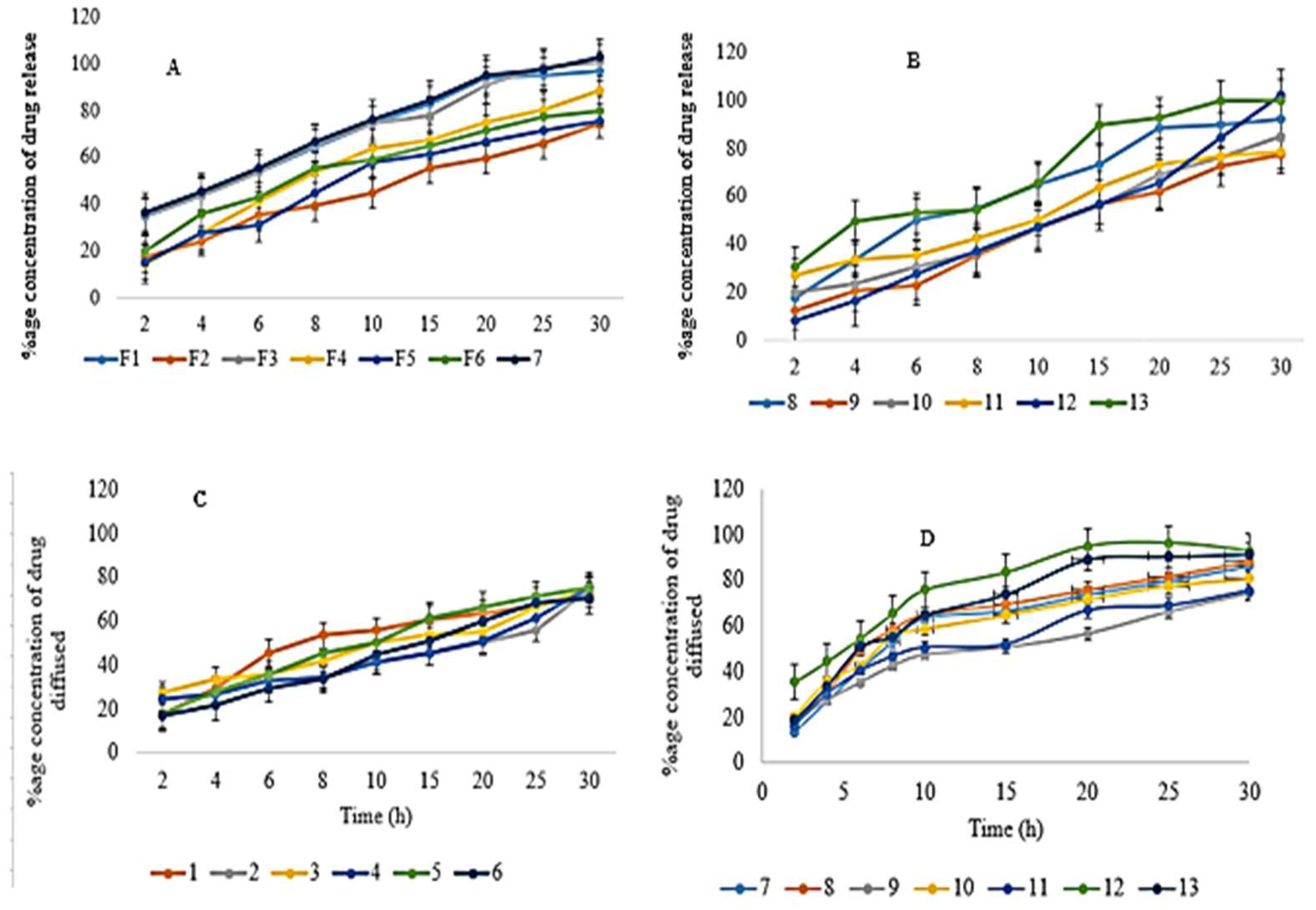
3.14. In Vitro Drug Release
3.15. Drug Diffusion (DD)
3.16. Kinetic Modeling
3.17. Model-Independent Approach
3.18. Numerical Optimization
3.19. Ex Vivo Permeation
3.20. In Vivo Pharmacokinetics
3.21. Stability Studies
3.22. Histopathological Slides
4. Conclusions
Author Contributions
Funding
Institutional Review Board Statement
Informed Consent Statement
Data Availability Statement
Acknowledgments
Conflicts of Interest
References
- Gupta, M.S.; Kumar, T.P.; Gowda, D.V. Orodispersible thin films: A new patient centered innovation. J. Drug Deliv. Sci. Technol. 2020, 59, 1–10. [Google Scholar] [CrossRef]
- Gupta, P. An overview of applications of mucoadhesive buccal film in Oral Medicine. J. Orofac. Res. 2020, 9, 14–19. [Google Scholar]
- Bilal, Q.; Unhale, S.; Shelke, S.; Kale, P.; Sarode, P.; Biyani, D. A review on mouth dissolving films. Eur. J. Pharm. Med. Res. 2020, 7, 232–238. [Google Scholar]
- Tizkam, H.H.; Fadhil, O.Q.; Ghazy, E. Formulation and Evaluation of Metoclopramide Fast Dissolving Film (FDF). Syst. Rev. Pharm. 2020, 11, 1641–1646. [Google Scholar]
- Winarti, L.; Laksono, B.T.; Sari, L.O.R.K. Optimization of Hydroxy Propyl Methyl Cellulose and Carbomer In Diltiazem Hydrochloride Mucoadhesive Buccal Film. Indones. J. Pharm. 2021, 32, 43–51. [Google Scholar] [CrossRef]
- Tawfik, E.; Scarpa, M.; Abdelhakim, H.; Bukhary, H.; Craig, D.; Barker, S.; Orlu, M. A Potential Alternative Orodispersible Formulation to Prednisolone Sodium Phosphate Orally Disintegrating Tablets. Pharmaceutics 2021, 13, 120. [Google Scholar] [CrossRef]
- A Ahmed, T.; O Bawazir, A.; Alharbi, W.S.; Safo, M.K. Enhancement of Simvastatin ex vivo Permeation from Mucoadhesive Buccal Films Loaded with Dual Drug Release Carriers. Int. J. Nanomed. 2020, 15, 4001–4020. [Google Scholar] [CrossRef]
- Notario-Pérez, F.; Martín-Illana, A.; Cazorla-Luna, R.; Ruiz-Caro, R.; Bedoya, L.-M.; Peña, J.; Veiga, M.-D. Development of mucoadhesive vaginal films based on HPMC and zein as novel formulations to prevent sexual transmission of HIV. Int. J. Pharm. 2019, 570, 1–14. [Google Scholar] [CrossRef]
- Müller, K.; Zollfrank, C.; Schmid, M. Natural polymers from biomass resources as feedstocks for thermoplastic materials. Macromol. Mater. Eng. 2019, 304, 1–17. [Google Scholar] [CrossRef]
- Ahmad, A.; Butt, M.H.; Misbah, S.; Saleem, R.T.; Jamshaid, M.; Alvi, M.N. Development and evaluation of orodispersible films by solvent casting method using eletriptan hydrobromide as a model drug. Lat. Am. J. Pharm. 2020, 39, 1951–1956. [Google Scholar]
- Bhatt, P.; Singh, S.; Sharma, S.K.; Rabiu, S. Development and Characterization of Fast Dissolving Buccal Strip of Frovatriptan Succinate Monoydrate for Buccal Delivery. Int. J. Pharm. Investig. 2021, 11, 69–75. [Google Scholar] [CrossRef]
- Nair, A.B.; Al-Dhubiab, B.E.; Shah, J.; Jacob, S.; Saraiya, V.; Attimarad, M.; SreeHarsha, N.; Akrawi, S.H.; Shehata, T.M. Mucoadhesive buccal film of almotriptan improved therapeutic delivery in rabbit model. Saudi Pharm. J. 2020, 28, 201–209. [Google Scholar] [CrossRef] [PubMed]
- Zaman, M.; Hassan, R.; Razzaq, S.; Mahmood, A.; Amjad, M.W.; Raja, M.A.G.; Qaisar, A.A.; Majeed, A.; Hanif, M.; Tahir, R.A. Fabrication of polyvinyl alcohol based fast dissolving oral strips of sumatriptan succinate and metoclopramide HCL. Sci. Prog. 2020, 103, 1–21. [Google Scholar] [CrossRef]
- Doulberis, M.; Saleh, C.; Beyenburg, S. Is there an association between migraine and gastrointestinal disorders? J. Clin. Neurol. 2017, 13, 215. [Google Scholar]
- Aurora, S.K.; Shrewsbury, S.B.; Ray, S.; Hindiyeh, N.; Nguyen, L. A link between gastrointestinal disorders and migraine: Insights into the gut–brain connection. Headache J. Head Face Pain 2021, 61, 576–589. [Google Scholar] [CrossRef] [PubMed]
- Oswald, J.; Schuster, N.M. Lasmiditan for the treatment of acute migraine: A review and potential role in clinical practice. J. Pain Res. 2018, 11, 2221–2227. [Google Scholar] [CrossRef] [PubMed]
- McCormack, P.L.; Keating, G.M. Eletriptan. Drugs 2006, 66, 1129–1149. [Google Scholar] [CrossRef]
- Kothapuvari, P.K.; Rawat, S.; Bhikshapathi, D. Estimation of Eletriptan Hydrobromide in Oral Film Dosage Form by. Int. J. Pharm. Sci. Drug Res. 2015, 7, 484–488. [Google Scholar]
- Spandana, B.; Shashidher, B.; Dinesh, S.; Nagaraj, B. Eletriptan hydrobromide Orodispersible tablets: Design, Development and In vitro characterization. Res. J. Pharm. Technol. 2020, 13, 5339–5344. [Google Scholar]
- Scott, L.J. Repaglinide. Drugs 2012, 72, 249–272. [Google Scholar] [CrossRef]
- Shah, A.K.; Harris, S.C.; Greenhalgh, C.; Morganroth, J. The pharmacokinetics and safety of single escalating oral doses of eletriptan. J. Clin. Pharmacol. 2002, 42, 520–527. [Google Scholar] [CrossRef]
- Capi, M.; Curto, M.; Lionetto, L.; De Andrés, F.; Gentile, G.; Negro, A.; Martelletti, P. Eletriptan in the management of acute migraine: An update on the evidence for efficacy, safety, and consistent response. Ther. Adv. Neurol. Disord. 2016, 9, 414–423. [Google Scholar] [CrossRef] [PubMed]
- Esim, O.; Savaser, A.; Kurbanoglu, S.; Ozkan, C.K.; Ozkan, S.A.; Ozkan, Y. Development of assay for determination of eletriptan hydrobromide in loaded PLGA nanoparticles. J. Pharm. Biomed. Anal. 2017, 142, 74–83. [Google Scholar] [CrossRef] [PubMed]
- Zaman, M.; Hassan, R.; Amjad, M.W.; Khan, S.M.; Raja, M.A.G.; Shah, S.S.; Siddique, W.; Aman, W.; Abid, Z.; Butt, M.H. Formulation of instant disintegrating buccal films without using disintegrant: An in-vitro study. Pak. J. Pharm. Sci. 2021, 34, 2357–2364. [Google Scholar]
- El-Maghraby, G.M.; Abdelzaher, M.M. Formulation and evaluation of simvastatin buccal film. J. Appl. Pharm. Sci. 2015, 5, 70–77. [Google Scholar] [CrossRef]
- Bîrsan, M.; Apostu, M.; Todoran, N.; Antonoaea, P.; Rusu, A.; Ciurba, A. Development of dermal films containing miconazole nitrate. Molecules 2018, 23, 1640. [Google Scholar] [CrossRef]
- Salehi, S.; Boddohi, S. New formulation and approach for mucoadhesive buccal film of rizatriptan benzoate. Prog. Biomater. 2017, 6, 175–187. [Google Scholar] [CrossRef] [PubMed]
- Al-Dhubiab, B.E.; Nair, A.B.; Kumria, R.; Attimarad, M.; Harsha, S. Development and evaluation of buccal films impregnated with selegiline-loaded nanospheres. Drug Deliv. 2016, 23, 2154–2162. [Google Scholar] [CrossRef]
- Khan, R.; Zaman, M.; Salawi, A.; Khan, M.A.; Iqbal, M.O.; Riaz, R.; Ahmed, M.M.; Butt, M.H.; Alvi, M.N.; Almoshari, Y. Synthesis of Chemically Cross-Linked PH-Sensitive Hydrogels for the Sustained Delivery of Ezetimibe. Gels 2022, 8, 281. [Google Scholar] [CrossRef]
- Nagaich, U.; Chaudhary, V.; Nagaich, J. Development and Statistical Optimisation of Buspirone Hydrochloride Buccoadhesive Films. Int. Sch. Res. Not. 2014, 2014, 1–12. [Google Scholar] [CrossRef]
- Ikram; Gilhotra, N.; Gilhotra, R.M. Formulation and optimization of mucoadhesive buccal patches of losartan potassium by using response surface methodology. Adv. Biomed. Res. 2015, 4, 1–13. [Google Scholar]
- Hussain, M.W.; Kushwaha, P.; Rahman, M.A.; Akhtar, J. Development and evaluation of fast dissolving film for oro-buccal drug delivery of chlorpromazine. Indian J. Pharm. Educ. Res. 2017, 51 (Suppl. S4), 539–547. [Google Scholar] [CrossRef]
- Basahih, T.S.; AlAmoudi, A.A.; El-Say, K.M.; Alhakamy, N.A.; Ahmed, O.A.A. Improved Transmucosal Delivery of Glimepiride via Unidirectional Release Buccal Film Loaded with Vitamin E TPGS-Based Nanocarrier. Dose-Response 2020, 18, 1–12. [Google Scholar] [CrossRef]
- Siddique, W.; Sarfraz, R.M.; Zaman, M.; Butt, M.H.; Hayat, Z.; Gul, M.; Gul, M.; Asghar, F. Impact of polymer and plasticizer on mechanical properties of film: A quality by design approach. Lat. Am. J. Pharm. 2021, 40, 3002–3008. [Google Scholar]
- Rashid, R.; Zaman, M.; Ahmad, M.; Khan, M.A.; Butt, M.H.; Salawi, A.; Almoshari, Y.; Alshamrani, M.; Sarfraz, R.M. Press-Coated Aceclofenac Tablets for Pulsatile Drug Delivery: Formulation and In Vitro Evaluations. Pharmaceuticals 2022, 15, 326. [Google Scholar] [CrossRef]
- Alves, T.F.; Rios, A.C.; da Silva Pontes, K.; Portella, D.L.; Aranha, N.; Severino, P.; Souto, E.B.; Gonsalves, J.K.; de Souza Nunes, R.; Chaud, M.V. Bilayer mucoadhesive buccal film for mucosal ulcers treatment: Development, characterization, and single study case. Pharmaceutics 2020, 12, 657. [Google Scholar] [CrossRef]
- Salawi, A.; Khan, A.; Zaman, M.; Riaz, T.; Ihsan, H.; Butt, M.H.; Aman, W.; Khan, R.; Majeed, I.; Almoshari, Y.; et al. Development of Statistically Optimized Chemically Cross-Linked Hydrogel for the Sustained-Release Delivery of Favipiravir. Polymers 2022, 14, 2369. [Google Scholar] [CrossRef]
- Alshamrani, M.; Mubeen, I.; Iqbal, M.H.; Farooq, M.; Zaman, M.; Chaudhry, M.A.; Qureshi, O.S.; Butt, M.H.; Salawi, A.; Khan, M.R. Fast dissolving oral films: An approach to co-load and deliver the atorvastatin and ezetimibe for better therapeutic response. Pak. J. Pharm. Sci. 2022, 35, 1229–1239. [Google Scholar] [CrossRef]
- Anwar, S.; Zaman, M.; Raja, M.A.G.; Mahmood, A.; Amjad, M.W. Rosuvastatin, Perindopril and Ezetimibe loaded instant release buccal films: Development and in vitro characterization. J. Appl. Biomed. 2020, 18, 115–125. [Google Scholar] [CrossRef]
- Faisal, W.; Farag, F.; Abdellatif, A.A.; Abbas, A. Taste masking approaches for medicines. Curr. Drug Deliv. 2018, 15, 167–185. [Google Scholar] [CrossRef]
- Khalid, G.M.; Selmin, F.; Musazzi, U.M.; Gennari, C.G.; Minghetti, P.; Cilurzo, F. Trends in the characterization methods of orodispersible films. Curr. Drug Deliv. 2021, 18, 935–946. [Google Scholar] [CrossRef]
- Di Prima, G.; Conigliaro, A.; De Caro, V. Mucoadhesive polymeric films to enhance barbaloin penetration into buccal mucosa: A novel approach to chemoprevention. AAPS PharmSciTech. 2019, 20, 18. [Google Scholar] [CrossRef]
- Mubeen, I.; Zaman, M.; Farooq, M.; Mehmood, A.; Azeez, F.K.; Rehman, W.; Akhtar, S.; Chaudhry, M.A.; Butt, M.H.; Shamim, Q.-U.; et al. Formulation of Modified-Release Bilayer Tablets of Atorvastatin and Ezetimibe: An In-Vitro and In-Vivo Analysis. Polymers 2022, 14, 3770. [Google Scholar] [CrossRef]
- Chauhan, S.S.; Lin, S.; Madan, P. Preparation and evaluation of nicotine hydrogen tartrate fast dissolving films for smoking cessation. Asian J. Pharm. Sci. 2012, 7, 181–192. [Google Scholar]
- Abouhussein, D.; El Nabarawi, M.A.; Shalaby, S.H.; El-Bary, A.A. Cetylpyridinium chloride chitosan blended mucoadhesive buccal films for treatment of pediatric oral diseases. J. Drug Deliv. Sci. Technol. 2020, 59, 1–9. [Google Scholar] [CrossRef]
- Dangre, P.V.; PhaD, R.D.; Surana, S.J.; Chalikwar, S.S. Quality by design (QbD) assisted fabrication of fast dissolving buccal film for clonidine hydrochloride: Exploring the quality attributes. Adv. Polym. Technol. 2019, 2019, 1–13. [Google Scholar] [CrossRef]
- Choi, A.; Ben-Nissan, B.; Bendavid, A.; Latella, B. Mechanical behavior and properties of thin films for biomedical applications. Thin Film. Coat. Biomater. Biomed. Appl. 2016, 117–141. [Google Scholar]
- Fernandes, F.P.; Fortes, A.C.; Fonseca, S.G.D.C.; Breitkreutz, J.; Ferraz, H.G. Manufacture and characterization of mucoadhesive buccal films based on pectin and gellan gum containing triamcinolone acetonide. Int. J. Polym. Sci. 2018, 2018, 1–10. [Google Scholar] [CrossRef]
- Adhikari, S.N.R.; Panda, S. Development Evaluation and characterization of losartan Potassium buccal patches using hydrophilic polymers. Int. J. Pharm. Sci. Res. 2018, 9, 5474–5484. [Google Scholar]
- Naz, K.; Shahnaz, G.; Ahmed, N.; Qureshi, N.A.; Sarwar, H.S.; Imran, M.; Khan, G.M. Formulation and in vitro characterization of thiolated buccoadhesive film of fluconazole. Aaps Pharmscitech. 2017, 18, 1043–1055. [Google Scholar] [CrossRef]
- Thimmasetty, J.; Pandey, G.S.; Babu, P.R.S. Design and in vivo evaluation of carvedilol buccal mucoadhesive patches. Pak. J. Pharm. Sci. 2008, 21, 241–248. [Google Scholar]
- Koland, M.; Charyulu, R.N.; Vijayanarayana, K.; Prabhu, P. In vitro and in vivo evaluation of chitosan buccal films of ondansetron hydrochloride. Int. J. Pharm. Investig. 2011, 1, 164. [Google Scholar] [CrossRef]
- Rana, P.; Murthy, R. Formulation and evaluation of mucoadhesive buccal films impregnated with carvedilol nanosuspension: A potential approach for delivery of drugs having high first-pass metabolism. Drug Deliv. 2013, 20, 224–235. [Google Scholar] [CrossRef]
- Singh, A.V.; Nath, L.K.; Pani, N.R. Development and validation of analytical method for the estimation of lamivudine in rabbit plasma. J. Pharm. Anal. 2011, 1, 251–257. [Google Scholar] [CrossRef]
- Kothapuvari, P.K.; Rawat, S.; Bhikshapathi, D. Preparation, optimization and in vivo evaluation of eletriptan hbr fast dissolving oral films. Int. J. Drug Deliv. 2015, 7, 141–154. [Google Scholar]
- Hadi, M.A.; Rao, N.G.R.; Rao, A.S. Pharmacokinetic Parameters Determination and In Vitro–In Vivo Correlation of Ileocolonic-Targeted pH-Responsive Coated Mini-Tablets of Naproxen. Sci. Pharm. 2015, 83, 645–658. [Google Scholar] [CrossRef]
- Ammanage, A.; Rodriques, P.; Kempwade, A.; Hiremath, R. Formulation and evaluation of buccal films of piroxicam co-crystals. Future J. Pharm. Sci. 2020, 6, 1–11. [Google Scholar] [CrossRef]
- El Sharawy, A.M.; Shukr, M.H.; Elshafeey, A.H. Formulation and optimization of duloxetine hydrochloride buccal films: In vitro and in vivo evaluation. Drug Deliv. 2017, 24, 1762–1769. [Google Scholar] [CrossRef]
- World Health Organization. Stability testing of active substances and pharmaceutical products. Restricted Work. Doc. QAS/06 2006, 179, 10–32. [Google Scholar]
- Cherian, A.K.; Thomas, N.; Raj, P.; Jacob, L.; George, B.J. Formulation and evaluation of cefpodoxime proxetil buccal film. Int. J. Pharm. Chem. Anal. 2015, 2, 1–13. [Google Scholar]
- Erum, A.; Bashir, S.; Saghir, S.; Tulain, U.R.; Saleem, U.; Nasir, M.; Kanwal, F.; Malik, M.N.H. Acute toxicity studies of a novel excipient arabinoxylan isolated from Ispaghula (Plantago ovata) husk. Drug Chem. Toxicol. 2015, 38, 300–305. [Google Scholar] [CrossRef] [PubMed]
- Zaman, M.; Bajwa, R.I.; Qureshi, O.S.; Rehman, A.U.; Saeed, S.; Amjad, M.W.; Raja, M.A.G.; Hussain, M.A. Synthesis of Thiol-Modified Hemicellulose, Its Biocompatibility, Studies, and Appraisal as a Sustained Release Carrier of Ticagrelor. Front. Pharmacol. 2021, 12, 1–15. [Google Scholar] [CrossRef] [PubMed]
- Lakshmi, V.S.; Menon, R.B.; Raju, K.; Aiswarya, M.; Nair, S.C. Formulation and Evaluation of Lorazepam Encapsulated Collagen/Pectin Buccal Patch. Int. J. Appl. Pharm. 2019, 11, 200–209. [Google Scholar]
- Kassem, A.A.; Issa, D.A.E.; Kotry, G.S.; Farid, R.M. Thiolated alginate-based multiple layer mucoadhesive films of metformin forintra-pocket local delivery: In vitro characterization and clinical assessment. Drug Dev. Ind. Pharm. 2017, 43, 120–131. [Google Scholar] [CrossRef]
- Abbas, I.K.; Rajab, N.A.; Hussein, A.A. Formulation and In-Vitro Evaluation of Darifenacin Hydrobromide as Buccal Films. Iraqi J. Pharm. Sci. 2019, 28, 83–94. [Google Scholar] [CrossRef]
- Patel, R.S.; Poddar, S.S. Development and characterization of mucoadhesive buccal patches of salbutamol sulphate. Curr. Drug Deliv. 2009, 6, 140–144. [Google Scholar] [CrossRef]
- Patel, V.F.; Liu, F.; Brown, M. Modeling the oral cavity: In vitro and in vivo evaluations of buccal drug delivery systems. J. Control. Release 2012, 161, 746–756. [Google Scholar] [CrossRef]
- Ahmed, M.K.; McLeod, M.P.; Nézivar, J.; Giuliani, A.W. Fourier transform infrared and near-infrared spectroscopic methods for the detection of toxic diethylene glycol (DEG) contaminant in glycerin based cough syrup. Spectroscopy 2010, 24, 601–608. [Google Scholar] [CrossRef]
- Sindhu, R.; Binod, P.; Pandey, A. Microbial Poly-3-Hydroxybutyrate and Related Copolymers. In Industrial Biorefineries & White Biotechnology; Elsevier: Amsterdam, The Netherlands, 2015; pp. 575–605. [Google Scholar]
- Fung, M.H.; Suryanarayanan, R. Use of a plasticizer for physical stability prediction of amorphous solid dispersions. Cryst. Growth Des. 2017, 17, 4315–4325. [Google Scholar] [CrossRef]
- Kommavarapu, P.; Maruthapillai, A.; Palanisamy, K. Identification and quantitative determination of eletriptan hydrobromide polymorphs: Thermal, diffractometric and spectrometric studies. J. Taibah Univ. Sci. 2015, 9, 586–593. [Google Scholar] [CrossRef][Green Version]
- Shah, S.; Madan, S.; Agrawal, S. Formulation and evaluation of microsphere based oro dispersible tablets of itopride hcl. DARU J. Pharm. Sci. 2012, 20, 24. [Google Scholar] [CrossRef]
- Preetam, A.; Devi, A.S.; Sarbajna, R.M.; Suryanarayana, M.; Radhakrishna, S.; Rao, K.N.; Datta, D.; Lakshmi, P.A. Crystallographic studies of eletriptan hydrobromide: α-form, β-form and its physicochemical characterisation. Mol. Cryst. Liq. Cryst. 2013, 570, 128–147. [Google Scholar] [CrossRef]
- Ammar, H.O.; Ghorab, M.M.; Mahmoud, A.A.; Shahin, H.I. Design and in vitro/in vivo evaluation of ultra-thin mucoadhesive buccal film containing fluticasone propionate. AAPS PharmSciTech. 2017, 18, 93–103. [Google Scholar] [CrossRef]
- Okonogi, S.; Khongkhunthian, S.; Jaturasitha, S. Development of mucoadhesive buccal films from rice for pharmaceutical delivery systems. Drug Discov. Ther. 2014, 8, 262–267. [Google Scholar] [CrossRef]
- Puri, V.; Sharma, A.; Kumar, P.; Singh, I. Thiolation of biopolymers for developing drug delivery systems with enhanced mechanical and mucoadhesive properties: A review. Polymers 2020, 12, 1803. [Google Scholar] [CrossRef]
- Pedada, R.B.; Vanka, E.; Babu, A.S.; Desu, P.K.; Bharathi, P.R.; Rao, P.V. Enhancement of Solubility; an Over View. PharmaTutor 2013, 1, 60–74. [Google Scholar]
- Bin Liew, K.; Tan, Y.T.F.; Peh, K.-K. Effect of polymer, plasticizer and filler on orally disintegrating film. Drug Dev. Ind. Pharm. 2014, 40, 110–119. [Google Scholar] [CrossRef]
- Zaman, M.; Hanif, M. In vitro and ex vivo assessment of hydrophilic polymer-and plasticizer-based thin buccal films designed by using central composite rotatable design for the delivery of meloxicam. Adv. Polym. Technol. 2018, 37, 1823–1836. [Google Scholar] [CrossRef]
- Priya, S.; Rathnanand, M.; Udupa, N.; Ongole, R.; Joshi, U. Preparation and evaluation of buccal mucoadhesive patch of betamethasone sodium phosphate for the treatment of oral submucous fibrosis. J. Chem. Pharm. Res. 2011, 3, 56–65. [Google Scholar]
- Sharma, S.K.; Kumar, A.; Jaimini, M.; Chauhan, B.S. Development and In Vitro Evaluation of Fast Dissolving Tablets of Tizanidine Hydrochloride By Direct Compression Method. J. Drug Deliv. Ther. 2014, 4, 52–58. [Google Scholar] [CrossRef]
- Takeuchi, Y.; Ikeda, N.; Tahara, K.; Takeuchi, H. Mechanical characteristics of orally disintegrating films: Comparison of folding endurance and tensile properties. Int. J. Pharm. 2020, 589, 1–10. [Google Scholar] [CrossRef]
- Skulason, S.; Asgeirsdottir, M.; Magnusson, J.; Kristmundsdottir, T. Evaluation of polymeric films for buccal drug delivery. Die Pharm. Int. J. Pharm. Sci. 2009, 64, 197–201. [Google Scholar]
- Satyanarayana, D.A.; Keshavarao, K.P. Fast disintegrating films containing anastrozole as a dosage form for dysphagia patients. Arch. Pharmacal Res. 2012, 35, 2171–2182. [Google Scholar] [CrossRef]
- Rodríguez, M.; Osés, J.; Ziani, K.; Maté, J.I. Combined effect of plasticizers and surfactants on the physical properties of starch based edible films. Food Res. Int. 2006, 39, 840–846. [Google Scholar] [CrossRef]
- Bonsu, M.A.; Ofori-Kwakye, K.; Kipo, S.L.; El Boakye-Gyasi, M.; Fosu, M.-A. Development of oral dissolvable films of diclofenac sodium for osteoarthritis using Albizia and Khaya gums as hydrophilic film formers. J. Drug Deliv. 2016, 2016, 1–12. [Google Scholar] [CrossRef]
- Prabhu, P.; Malli, R.; Koland, M.; Vijaynarayana, K.; D′souza, U.; Harish, N.; Shastry, C.; Charyulu, R. Formulation and evaluation of fast dissolving films of levocitirizine di hydrochloride. Int. J. Pharm. Investig. 2011, 1, 99. [Google Scholar] [CrossRef]
- Hanif, M.; Zaman, M. Thiolation of arabinoxylan and its application in the fabrication of controlled release mucoadhesive oral films. DARU J. Pharm. Sci. 2017, 25, 1–13. [Google Scholar] [CrossRef]
- Akhtar, N.; Rehman, M.; Khan, H.; Rasool, F.; Saeed, T.; Murtaz, G. Penetration enhancing effect of polysorbate 20 and 80 on the in vitro percutaneous absorption of lascorbic acid. Trop. J. Pharm. Res. 2011, 10, 281–288. [Google Scholar] [CrossRef]
- Boateng, J.; Okeke, O. Evaluation of clay-functionalized wafers and films for nicotine replacement therapy via buccal mucosa. Pharmaceutics 2019, 11, 104. [Google Scholar] [CrossRef]
- Diaz, D.A.; Colgan, S.T.; Langer, C.S.; Bandi, N.T.; Likar, M.D.; Van Alstine, L. Dissolution similarity requirements: How similar or dissimilar are the global regulatory expectations? AAPS J. 2016, 18, 15–22. [Google Scholar] [CrossRef]
- Gohel, M.C.; Ramkishan, A.; Patel, T.M.; Pandya, R.; Suthar, V.; Koradia, H.; Madat, D.V.; Bariya, S.; Mehta, T. Nomogram for computing the value of similarity factor. Indian J. Pharm. Sci. 2014, 76, 245–251. [Google Scholar]
- Ruxton, G.D.; Neuhäuser, M. When should we use one-tailed hypothesis testing? Methods Ecol. Evol. 2010, 1, 114–117. [Google Scholar] [CrossRef]








| Independent Factors | Levels | ||||
|---|---|---|---|---|---|
| −α | −1 | 0 | +1 | +α | |
| Polymer | 109.47 | 125 | 162.5 | 200 | 215.53 |
| Plasticizer | 9.5 | 12 | 18 | 24 | 26.49 |
| Surfactant | Constant 5% of polymer concentration | ||||
| Formulation No | Polymer (HPMC E5) (mL) | Plasticizer (Glycerol) (mL) | (Surfactant Tween 80) (mL) |
|---|---|---|---|
| 1 | 3.125 | 0.6 | 0.31 |
| 2 | 4.06 | 0.58 | 0.4 |
| 3 | 5 | 0.96 | 0.5 |
| 4 | 5.4 | 0.78 | 0.54 |
| 5 | 4.06 | 0.58 | 0.4 |
| 6 | 4.06 | 0.58 | 0.4 |
| 7 | 4.06 | 0.86 | 0.4 |
| 8 | 5 | 0.48 | 0.5 |
| 9 | 4.06 | 0.58 | 0.4 |
| 10 | 4.06 | 0.31 | 0.4 |
| 11 | 4.06 | 0.58 | 0.4 |
| 12 | 2.74 | 0.4 | 0.27 |
| 13 | 3.125 | 0.3 | 0.31 |
| Formulation No | Zero Order | First Order | Highuci Model | Hixson Crowell Model | Korsmeyer Peppas Model | n | Best Fit Model |
|---|---|---|---|---|---|---|---|
| 1 | 0.2783 | 0.9648 | 0.8918 | 0.9178 | 0.9650 | 0.379 | Korsmeyer Peppas |
| 2 | 0.5023 | 0.8981 | 0.9892 | 0.8130 | 0.9892 | 0.497 | Korsmeyer Peppas |
| 3 | 0.1842 | 0.9469 | 0.9182 | 0.8919 | 0.9789 | 0.388 | Korsmeyer Peppas |
| 4 | 0.4648 | 0.9604 | 0.9381 | 0.8983 | 0.9381 | 0.495 | First-order |
| 5 | 0.4120 | 0.9010 | 0.9342 | 0.8076 | 0.9351 | 0.483 | Korsmeyer Peppas |
| 6 | 0.0521 | 0.8387 | 0.9109 | 0.6768 | 0.9527 | 0.402 | Korsmeyer Peppas |
| 7 | 0.2820 | 0.9605 | 0.9014 | 0.9223 | 0.9761 | 0.378 | Korsmeyer Peppas |
| 8 | 0.3889 | 0.9878 | 0.9482 | 0.9532 | 0.9501 | 0.475 | First-order |
| 9 | 0.8158 | 0.9834 | 0.9390 | 0.9622 | 0.9728 | 0.637 | Korsmeyer Peppas |
| 10 | 0.7848 | 0.9768 | 0.9704 | 0.9577 | 0.9924 | 0.604 | Korsmeyer Peppas |
| 11 | 0.2663 | 0.8704 | 0.9629 | 0.7677 | 0.9721 | 0.449 | Korsmeyer Peppas |
| 12 | 0.9571 | 0.9405 | 0.8778 | 0.9661 | 0.9846 | 0.807 | Korsmeyer Peppas |
| 13 | 0.0822 | 0.9368 | 0.9309 | 0.9149 | 0.9564 | 0.420 | Korsmeyer Peppas |
| Pharmacokinetic Parameters | Film (Mean ± SD) | Oral Solution (Mean ± SD) |
|---|---|---|
| t1/2 (h) | 4.54 ± 0.18 | 5.20 ± 0.21 |
| Tmax (h) | 1 ± 0.04 | 1 ± 0.39 |
| Cmax (ng/ml) | 128 ± 0.87 | 89.5 ± 0.26 |
| AUC 0-t (ng/mL×h) | 663 ± 1.02 | 644.75 ± 1.15 |
| MRT (h) | 6.15 ± 0.24 | 7.92 ± 0.15 |
| t-Test | Mean Diff. | p Value | R2 |
|---|---|---|---|
| Cmax | |||
| Film vs. oral solution | 38.50 | <0.0001 | 0.9998 |
| t1/2 | |||
| Film vs. oral solution | 0.6600 | 0.0007 | 0.9986 |
| AUC | |||
| Film vs. oral solution | 18.25 | <0.0001 | 1.000 |
| Stability Profiling of Films at 40 °C and 75% RH after 1st Month | |||||
|---|---|---|---|---|---|
| DT | TDT | Drug Content | In Vitro Drug Release | DD Studies | Color |
| 10.1 ± 1.30 | 24 ± 1.2 | 99.75% | 99 ± 1.25 | 79.1 ± 1.0 | No change |
| Stability profiling of films at 40 °C and 75% RH after 3rd month | |||||
| 9.1 ± 0.30 | 22 ± 1.5 | 97.85% | 98.35 ± 0.5 | 78.1 ± 1.5 | No change |
| Stability profiling of Films at 30 °C and 65% RH at the end of 1st month | |||||
| 10.1 ± 1.30 | 23 ± 1.5 | 101.35% | 99.3 ± 1.15 | 79.13 ± 1.05 | No change |
| Stability profiling of Films at 30 °C and 65% RH after 3rd month | |||||
| 10.0 ±0.75 | 22.45 ± 0.5 | 99.25% | 98.25 ± 0.24 | 79.3 ± 0.65 | No change |
Publisher’s Note: MDPI stays neutral with regard to jurisdictional claims in published maps and institutional affiliations. |
© 2022 by the authors. Licensee MDPI, Basel, Switzerland. This article is an open access article distributed under the terms and conditions of the Creative Commons Attribution (CC BY) license (https://creativecommons.org/licenses/by/4.0/).
Share and Cite
Siddique, W.; Zaman, M.; Sarfraz, R.M.; Butt, M.H.; Rehman, A.U.; Fassih, N.; Albadrani, G.M.; Bayram, R.; Alfaifi, M.Y.; Abdel-Daim, M.M. The Development of Eletriptan Hydrobromide Immediate Release Buccal Films Using Central Composite Rotatable Design: An In Vivo and In Vitro Approach. Polymers 2022, 14, 3981. https://doi.org/10.3390/polym14193981
Siddique W, Zaman M, Sarfraz RM, Butt MH, Rehman AU, Fassih N, Albadrani GM, Bayram R, Alfaifi MY, Abdel-Daim MM. The Development of Eletriptan Hydrobromide Immediate Release Buccal Films Using Central Composite Rotatable Design: An In Vivo and In Vitro Approach. Polymers. 2022; 14(19):3981. https://doi.org/10.3390/polym14193981
Chicago/Turabian StyleSiddique, Waqar, Muhammad Zaman, Rai Muhammad Sarfraz, Muhammad Hammad Butt, Atta Ur Rehman, Noman Fassih, Ghadeer M. Albadrani, Roula Bayram, Mohammad Y. Alfaifi, and Mohamed M. Abdel-Daim. 2022. "The Development of Eletriptan Hydrobromide Immediate Release Buccal Films Using Central Composite Rotatable Design: An In Vivo and In Vitro Approach" Polymers 14, no. 19: 3981. https://doi.org/10.3390/polym14193981
APA StyleSiddique, W., Zaman, M., Sarfraz, R. M., Butt, M. H., Rehman, A. U., Fassih, N., Albadrani, G. M., Bayram, R., Alfaifi, M. Y., & Abdel-Daim, M. M. (2022). The Development of Eletriptan Hydrobromide Immediate Release Buccal Films Using Central Composite Rotatable Design: An In Vivo and In Vitro Approach. Polymers, 14(19), 3981. https://doi.org/10.3390/polym14193981

