Numerical Study on the Effect of Matrix Self-Heating on the Thermo-Visco-Plastic Response of Continuous Fiber-Reinforced Polymers under Transverse Tensile Loading
Abstract
:1. Introduction
2. RVE Modeling
3. Material Constitutive Behavior
3.1. Fiber Material
3.2. Matrix Material
3.3. Fiber-Matrix Interface
4. Results and Discussion
4.1. Optimal RVE Size for Reliable Coupled Thermomechanical Analysis
4.2. Effect of Volume Fraction
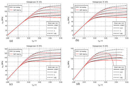
4.3. Effect of Self-Heating and Strain Rate
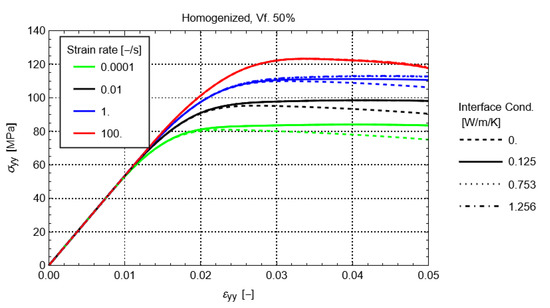
4.4. Effect of Interface Conductivity
5. Conclusions
- 32 fibers are sufficient to provide a converged homogenized thermomechanical response of an RVE with volume fractions ranging between 30% and 60%.
- The double-yield phenomenon, observed in stress-strain curves of semi-crystalline polymers, is concealed in the homogenized behavior of the composite material.
- Localized highly strained matrix regions can be present with significant self-heating. Although they do not notably increase the homogenized temperature of the RVE, the self-heating can be significant, leading to premature plastic-like failure of the material. The lack of visibility in the homogenized temperature also indicates that this phenomenon will be very hard to measure experimentally since it happens on a microscopic scale.
- The effect of the conductivity of the fiber-matrix interface is limited to cases where the conductivity is lower than the conductivity of the matrix. Since this is an unlikely scenario, the influence of this parameter is of secondary importance.
Author Contributions
Funding
Institutional Review Board Statement
Informed Consent Statement
Data Availability Statement
Conflicts of Interest
References
- Gómez, D.G. Multiscale framework. Concept of geometry, materials, load conditions, and homogenization. In Multi-Scale Continuum Mechanics Modelling of Fibre-Reinforced Polymer Composites; Elsevier: Amsterdam, The Netherlands, 2021; pp. 3–30. [Google Scholar]
- Chevalier, J.; Camanho, P.; Lani, F.; Pardoen, T. Multi-scale characterization and modelling of the transverse compression response of unidirectional carbon fiber reinforced epoxy. Compos. Struct. 2018, 209, 160–176. [Google Scholar] [CrossRef]
- Cai, R.; Jin, T. The effect of microstructure of unidirectional fibre-reinforced composites on mechanical properties under transverse loading: A review. J. Reinf. Plast. Compos. 2018, 37, 1360–1377. [Google Scholar] [CrossRef]
- Melro, A.; Camanho, P.; Pinho, S. Influence of geometrical parameters on the elastic response of unidirectional composite materials. Compos. Struct. 2012, 94, 3223–3231. [Google Scholar] [CrossRef]
- Huang, F.; Pang, X.; Zhu, F.; Zhang, S.; Fan, Z.; Chen, X. Transverse mechanical properties of unidirectional FRP including resin-rich areas. Comput. Mater. Sci. 2021, 198, 110701. [Google Scholar] [CrossRef]
- Garoz, D.; Gilabert, F.A.; Sevenois, R.D.B.; Spronk, S.W.F.; Van Paepegem, W. Material parameter identification of the elementary ply damage mesomodel using virtual micro-mechanical tests of a carbon fiber epoxy system. Compos. Struct. 2017, 181, 391–404. [Google Scholar] [CrossRef]
- Sharma, A.; Daggumati, S. Computational micromechanical modeling of transverse tensile damage behavior in unidirectional glass fiber-reinforced plastic composite plies: Ductile versus brittle fracture mechanics approach. Int. J. Damage Mech. 2019, 29, 943–964. [Google Scholar] [CrossRef]
- Liu, P.; Li, X. Explicit finite element analysis of failure behaviors of thermoplastic composites under transverse tension and shear. Compos. Struct. 2018, 192, 131–142. [Google Scholar] [CrossRef]
- Wan, L.; Ismail, Y.; Zhu, C.; Zhu, P.; Sheng, Y.; Liu, J.; Yang, D. Computational micromechanics-based prediction of the failure of unidirectional composite lamina subjected to transverse and in-plane shear stress states. J. Compos. Mater. 2020, 54, 3637–3654. [Google Scholar] [CrossRef]
- Yang, L.; Yan, Y.; Liu, Y.; Ran, Z. Microscopic failure mechanisms of fiber-reinforced polymer composites under transverse tension and compression. Compos. Sci. Technol. 2012, 72, 1818–1825. [Google Scholar] [CrossRef]
- Asp, L.; Berglund, L.; Talreja, R. Effects of fiber and interphase on matrix-initiated transverse failure in polymer composites. Compos. Sci. Technol. 1996, 56, 657–665. [Google Scholar] [CrossRef]
- Hobbiebrunken, T.; Hojo, M.; Adachi, T.; De Jong, C.; Fiedler, B. Evaluation of interfacial strength in CF/epoxies using FEM and in-situ experiments. Compos. Part A Appl. Sci. Manuf. 2006, 37, 2248–2256. [Google Scholar] [CrossRef]
- Moraleda, J.; Segurado, J.; Llorca, J. Effect of interface fracture on the tensile deformation of fiber-reinforced elastomers. Int. J. Solids Struct. 2009, 46, 4287–4297. [Google Scholar] [CrossRef] [Green Version]
- Wang, X.; Guan, Z.; Liu, X.; Li, Z.; Han, G.; Meng, Q.; Du, S. Prediction of the inter-fiber mechanical properties of composites: Part I standardization micro-scale modelling method and damage analysis. Compos. Struct. 2021, 271, 114127. [Google Scholar] [CrossRef]
- Maligno, A.; Warrior, N.; Long, A. Effects of interphase material properties in unidirectional fibre reinforced composites. Compos. Sci. Technol. 2010, 70, 36–44. [Google Scholar] [CrossRef]
- Totry, E.; González, C.; Llorca, J. Failure locus of fiber-reinforced composites under transverse compression and out-of-plane shear. Compos. Sci. Technol. 2008, 68, 829–839. [Google Scholar] [CrossRef] [Green Version]
- Totry, E.; Molina-Aldareguía, J.M.; González, C.; Llorca, J. Effect of fiber, matrix and interface properties on the in-plane shear deformation of carbon-fiber reinforced composites. Compos. Sci. Technol. 2010, 70, 970–980. [Google Scholar] [CrossRef]
- Segurado, J.; Llorca, J. A computational micromechanics study of the effect of interface decohesion on the mechanical behavior of composites. Acta Mater. 2005, 53, 4931–4942. [Google Scholar] [CrossRef]
- Vaughan, T.; McCarthy, C. Micromechanical modelling of the transverse damage behaviour in fibre reinforced composites. Compos. Sci. Technol. 2011, 71, 388–396. [Google Scholar] [CrossRef]
- Vaughan, T.; McCarthy, C. A micromechanical study on the effect of intra-ply properties on transverse shear fracture in fibre reinforced composites. Compos. Part A Appl. Sci. Manuf. 2011, 42, 1217–1228. [Google Scholar] [CrossRef]
- Sato, M.; Shirai, S.; Koyanagi, J.; Ishida, Y.; Kogo, Y. Numerical simulation for strain rate and temperature dependence of transverse tensile failure of unidirectional carbon fiber-reinforced plastics. J. Compos. Mater. 2019, 53, 4305–4312. [Google Scholar] [CrossRef]
- Shafiei, E.; Kiasat, M.S.; Barbero, E.J. Rate-dependent viscoplastic modeling and experimental validation of woven glass/epoxy composite materials. Compos. Part B Eng. 2021, 216, 108827. [Google Scholar] [CrossRef]
- Arteiro, A.; Catalanotti, G.; Melro, A.; Linde, P.; Camanho, P. Micro-mechanical analysis of the in situ effect in polymer composite laminates. Compos. Struct. 2014, 116, 827–840. [Google Scholar] [CrossRef] [Green Version]
- Jordan, J.L.; Foley, J.R.; Siviour, C.R. Mechanical properties of Epon 826/DEA epoxy. Mech. Time-Depend. Mater. 2008, 12, 249–272. [Google Scholar] [CrossRef]
- Bai, X.; Bessa, M.; Melro, A.; Camanho, P.; Guo, L.; Liu, W.K. High-fidelity micro-scale modeling of the thermo-visco-plastic behavior of carbon fiber polymer matrix composites. Compos. Struct. 2015, 134, 132–141. [Google Scholar] [CrossRef] [Green Version]
- Hobbiebrunken, T.; Fiedler, B.; Hojo, M.; Tanaka, M. Experimental determination of the true epoxy resin strength using micro-scaled specimens. Compos. Part A Appl. Sci. Manuf. 2007, 38, 814–818. [Google Scholar] [CrossRef]
- Verschatse, O.; Daelemans, L.; Van Paepegem, W.; De Clerck, K. In-Situ Observations of Microscale Ductility in a Quasi-Brittle Bulk Scale Epoxy. Polymers 2020, 12, 2581. [Google Scholar] [CrossRef]
- Uematsu, H.; Kurita, D.; Nakakubo, S.; Yamaguchi, A.; Yamane, M.; Kawabe, K.; Tanoue, S. Mechanical behavior of unidirectional carbon fiber-reinforced polyamide 6 composites under transverse tension and the structure of polyamide 6 among carbon fibers. Polym. J. 2020, 52, 1195–1201. [Google Scholar] [CrossRef]
- Shah, O.R.; Tarfaoui, M. Effect of damage progression on the heat generation and final failure of a polyester–glass fiber composite under tension–tension cyclic loading. Compos. Part B Eng. 2014, 62, 121–125. [Google Scholar] [CrossRef]
- Krairi, A.; Doghri, I.; Schalnat, J.; Robert, G.; Van Paepegem, W. Thermo-mechanical coupling of a viscoelastic-viscoplastic model for thermoplastic polymers: Thermodynamical derivation and experimental assessment. Int. J. Plast. 2019, 115, 154–177. [Google Scholar] [CrossRef]
- Hao, P.; Laheri, V.; Dai, Z.; Gilabert, F.A. A rate-dependent constitutive model predicting the double yield phenomenon, self-heating and thermal softening in semi-crystalline polymers. Int. J. Plast. 2022, 153, 103233. [Google Scholar] [CrossRef]
- Gilabert, F.A.; Roux, J.-N.; Castellanos, A. Computer simulation of model cohesive powders: Influence of assembling procedure and contact laws on low consolidation states. Phys. Rev. E 2007, 75, 011303. [Google Scholar] [CrossRef] [PubMed] [Green Version]
- Abaqus—SIMULIA User Assistance 2022. Available online: https://help.3ds.com/2022/english/dssimulia_established/SIMULIA_Established_FrontmatterMap/sim-r-DSDocAbaqus.htm?contextscope=all&id=e23d3652f9e547138753fa316ff0de4a (accessed on 20 January 2022).
- Garoz, D.; Gilabert, F.A.; Sevenois, R.D.B.; Spronk, S.W.F.; Van Paepegem, W. Consistent application of periodic boundary conditions in implicit and explicit finite element simulations of damage in composites. Compos. Part B Eng. 2018, 168, 254–266. [Google Scholar] [CrossRef]
- Dong, K.; Zhang, J.; Cao, M.; Wang, M.; Gu, B.; Sun, B. A mesoscale study of thermal expansion behaviors of epoxy resin and carbon fiber/epoxy unidirectional composites based on periodic temperature and displacement boundary conditions. Polym. Test. 2016, 55, 44–60. [Google Scholar] [CrossRef] [Green Version]
- Dong, K.; Liu, K.; Zhang, Q.; Gu, B.; Sun, B. Experimental and numerical analyses on the thermal conductive behaviors of carbon fiber/epoxy plain woven composites. Int. J. Heat Mass Transf. 2016, 102, 501–517. [Google Scholar] [CrossRef] [Green Version]
- Hao, P.; Dai, Z.; Laheri, V.; Gilabert, F.A. A unified semi-crystalline polymer modelling approach capturing double yielding, self-heating and isothermal-to-adiabatic transition. Int. J. Eng. Sci. 2022; under review. [Google Scholar]
- Poulain, X.; Benzerga, A.; Goldberg, R. Finite-strain elasto-viscoplastic behavior of an epoxy resin: Experiments and modeling in the glassy regime. Int. J. Plast. 2014, 62, 138–161. [Google Scholar] [CrossRef]
- Parodi, E. Structure Properties Relations for Polyamide 6. Ph.D. Thesis, Technische Universiteit Eindhoven, Eindhoven, The Netherlands, 2017. [Google Scholar]
- Dai, Z.; Tsangouri, E.; Van Tittelboom, K.; Zhu, X.; Gilabert, F.A. Understanding fracture mechanisms via validated virtual tests of encapsulation-based self-healing concrete beams. Mater. Des. 2021, 213, 110299. [Google Scholar] [CrossRef]
- Hasselman, D.; Donaldson, K.; Thomas, J. Effective Thermal Conductivity of Uniaxial Composite with Cylindrically Orthotropic Carbon Fibers and Interfacial Thermal Barrier. J. Compos. Mater. 1993, 27, 637–644. [Google Scholar] [CrossRef]
- Lu, Y.; Donaldson, K.Y.; Hasselman, D.P.H.; Thomas, J.R.; Tiwari, A.; Reifsnider, K.L.; Henneke, E.G. Thermal Conductivity of Uniaxial Coated Cylindrically Orthotropic Fiber-Reinforced Composite with Thermal Barriers. J. Compos. Mater. 1995, 29, 1719–1724. [Google Scholar] [CrossRef]
- Gao, M.; Yang, B.; Huang, Y.; Wang, G. Effects of general imperfect interface/interphase on the in-plane conductivity of thermal composites. Int. J. Heat Mass Transf. 2021, 172, 121213. [Google Scholar] [CrossRef]
- Hu, N.; Chiang, S.W.; Yi, J.; Li, X.; Li, J.; Du, H.; Xu, C.; He, Y.; Li, B.; Kang, F. Prediction of interfacial thermal resistance of carbon fiber in one dimensional fiber-reinforced composites using laser flash analysis. Compos. Sci. Technol. 2015, 110, 69–75. [Google Scholar] [CrossRef]
- Khan, A.; Farrokh, B. Thermo-mechanical response of nylon 101 under uniaxial and multi-axial loadings: Part I, Experimental results over wide ranges of temperatures and strain rates. Int. J. Plast. 2006, 22, 1506–1529. [Google Scholar] [CrossRef]










| Mechanical [26] | Thermal [36] | ||
|---|---|---|---|
| [GPa] | 276.0 | [Wm−1K−1] | 10.2 |
| [GPa] | 15.0 | [Wm−1K−1] | 1.256 |
| [GPa] | 15.0 | [kg m−3] | 1800 |
| [GPa] | 5.8 | [J kg−1 K−1] | 750 |
| [-] | 0.01 | ||
| [-] | 0.3 | ||
| Mechanical | Thermal [31] | ||
|---|---|---|---|
| [GPa] | 2.6 | [Wm−1K−1] | 0.25 |
| [K] | 296.15 | [Jkg−1K−1] | 1700 |
| [K−1] | 0.0072 | [kg m−3] | 1200 |
| [-] | 0.39 | ||
| [1/s] | 3.55 × 1011 | ||
| [K MPa−1] | 104.0 | ||
| [-] | 0.80 | ||
| [MPa] | 184.2 | ||
| [MPa] | 195.6 | ||
| [MPa] | 192.6 | ||
| [MPa] | 232.6 | ||
| [MPa] | 32,350.9 | ||
| [MPa] | 14,827.2 | ||
| [MPa] | 900.0 | ||
| [-] | 0.00905 | ||
| [-] | 0.03205 | ||
| [-] | 0.30 | ||
Publisher’s Note: MDPI stays neutral with regard to jurisdictional claims in published maps and institutional affiliations. |
© 2022 by the authors. Licensee MDPI, Basel, Switzerland. This article is an open access article distributed under the terms and conditions of the Creative Commons Attribution (CC BY) license (https://creativecommons.org/licenses/by/4.0/).
Share and Cite
Sevenois, R.D.B.; Hao, P.; Van Paepegem, W.; Gilabert, F.A. Numerical Study on the Effect of Matrix Self-Heating on the Thermo-Visco-Plastic Response of Continuous Fiber-Reinforced Polymers under Transverse Tensile Loading. Polymers 2022, 14, 1941. https://doi.org/10.3390/polym14101941
Sevenois RDB, Hao P, Van Paepegem W, Gilabert FA. Numerical Study on the Effect of Matrix Self-Heating on the Thermo-Visco-Plastic Response of Continuous Fiber-Reinforced Polymers under Transverse Tensile Loading. Polymers. 2022; 14(10):1941. https://doi.org/10.3390/polym14101941
Chicago/Turabian StyleSevenois, Ruben D. B., Pei Hao, Wim Van Paepegem, and Francisco A. Gilabert. 2022. "Numerical Study on the Effect of Matrix Self-Heating on the Thermo-Visco-Plastic Response of Continuous Fiber-Reinforced Polymers under Transverse Tensile Loading" Polymers 14, no. 10: 1941. https://doi.org/10.3390/polym14101941
APA StyleSevenois, R. D. B., Hao, P., Van Paepegem, W., & Gilabert, F. A. (2022). Numerical Study on the Effect of Matrix Self-Heating on the Thermo-Visco-Plastic Response of Continuous Fiber-Reinforced Polymers under Transverse Tensile Loading. Polymers, 14(10), 1941. https://doi.org/10.3390/polym14101941

