Prediction of Cutting Force and Chip Formation from the True Stress–Strain Relation Using an Explicit FEM for Polymer Machining
Abstract
:1. Introduction
2. Experiment
3. FE Modelling
4. Discussion and Results
4.1. Validation of the FE Model
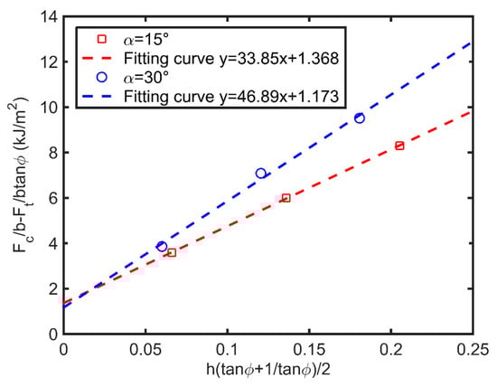
4.2. Determination of Fracture Toughness Using Orthogonal Cutting
4.3. Parametric Analysis
5. Conclusions
- The value of Fc/b increases with the increase in cutting depth, while Ft/b show an opposite trend. The cutting forces induced by the cutting tool with a rake angle of 30° are smaller than those with a rake angle of 15°, which means improved surface cutting quality can be produced by a cutting tool with a rake angle of 30°.
- The friction coefficient has more significant effects on cutting force (Ft/b and Fc/b) than that of cutting depth and rake angle. The value of Ft/b increased by 277% and 73% on average for the cutting with rake angles of 15° and 30°, respectively, and the value of Fc/b increased by 58% and 45%, respectively. This implies that the friction coefficient has a greater impact on Ft/b than Fc/b. Hence, the machining quality of the composite materials can be greatly improved by reducing the friction force.
- The chip formations and stress distributions of each HDPE cutting are almost the same. The diameter of the chip curling increase with an increase in friction coefficient and cutting depth. The stresses at the triangular region have a relatively high value but have lower values in the vicinity of the tool edge.
- The yielding stress during cutting, at a speed of 10 mm/s, is a factor that is 1.7 times higher than the quasi-static compression test value. Hence, it is recommended that the material strain rate effect should be considered in the orthogonal cutting FE model, even when the cutting speed is relatively small.
Author Contributions
Funding
Institutional Review Board Statement
Informed Consent Statement
Data Availability Statement
Conflicts of Interest
References
- Merchant, E. Mechanics of the metal cutting process. 1. Orthogonal cutting and a type-2 chip. J. Appl. Phys. 1945, 16, 267–275. [Google Scholar] [CrossRef]
- Merchant, E. Mechanics of the metal cutting process. 2. Plasticity conditions in orthognal cutting. J. Appl. Phys. 1945, 16, 318–324. [Google Scholar] [CrossRef]
- Lee, E.H.; Shaffer, B.W. The theory of plasticity applied to a problem of machining. J. Appl. Mech. 1951, 18, 405–413. [Google Scholar] [CrossRef]
- Barry, J.; Byrne, G. The Mechanisms of Chip Formation in Machining Hardened Steels. ASME J. Manuf. Sci. Eng. 2002, 124, 528–535. [Google Scholar] [CrossRef]
- Ducobu, F.; Rivière-Lorphèvre, E.; Filippi, E. On the importance of the choice of the parameters of the Johnson-Cook con-stitutive model and their influence on the results of a Ti6Al4V orthogonal cutting model. Int. J. Mech. Sci. 2017, 122, 143–155. [Google Scholar] [CrossRef]
- Chenwei, S.H.A.N.; Zhang, X.; Bin, S.H.E.N.; Zhang, D. An improved analytical model of cutting temperature in orthogonal cutting of Ti6Al4V. Chin. J. Aeronaut. 2019, 32, 759–769. [Google Scholar]
- Molnar, T.G.; Berezvai, S.; Kiss, A.K.; Bachrathy, D.; Stepan, G. Experimental investigation of dynamic chip formation in orthogonal cutting. Int. J. Mach. Tools Manuf. 2019, 145, 103429. [Google Scholar] [CrossRef]
- Chen, Y.; Wang, J.; An, Q. Mechanisms and predictive force models for machining with rake face textured cutting tools under orthogonal cutting conditions. Int. J. Mech. Sci. 2021, 195, 106246. [Google Scholar] [CrossRef]
- Denkena, B.; Krödel, A.; Ellersiek, L. Influence of metal working fluid on chip formation and mechanical loads in orthogonal cutting. Int. J. Adv. Manuf. Technol. 2021, 1–9. [Google Scholar] [CrossRef]
- Kümmel, J.; Gibmeier, J.; Müller, E.; Schneider, R.; Schulze, V.; Wanner, A. Detailed analysis of microstructure of intentionally formed built-up edges for improving wear behaviour in dry metal cutting process of steel. Wear 2014, 311, 21–30. [Google Scholar] [CrossRef]
- Wang, C.; Xie, Y.; Zheng, L.; Qin, Z.; Tang, D.; Song, Y. Research on the Chip Formation Mechanism during the high-speed milling of hardened steel. Int. J. Mach. Tools Manuf. 2014, 79, 31–48. [Google Scholar] [CrossRef]
- Artozoul, J.; Lescalier, C.; Dudzinski, D. Experimental and analytical combined thermal approach for local tribo-logical understanding in metal cutting. Appl. Therm. Eng. 2015, 89, 394–404. [Google Scholar] [CrossRef] [Green Version]
- Movahhedy, M.; Gadala, M.; Altintas, Y. Simulation of the orthogonal metal cutting process using an arbitrary Lagrangian–Eulerian finite-element method. J. Mater. Process. Technol. 2000, 103, 267–275. [Google Scholar] [CrossRef]
- Wan, L.; Dazhong, W. Numerical analysis of the formation of the dead metal zone with different tools in or-thogonal cutting. Simul. Model. Pract. Theory 2015, 56, 1–15. [Google Scholar] [CrossRef]
- Shi, G.; Deng, X.; Shet, C. A finite element study of the effect of friction in orthogonal metal cutting. Finite Elem. Anal. Des. 2002, 38, 863–883. [Google Scholar] [CrossRef]
- Zhang, X.; Wu, S.; Wang, H.; Liu, C.R. Predicting the Effects of Cutting Parameters and Tool Geometry on Hard Turning Process Using Finite Element Method. J. Manuf. Sci. Eng. 2011, 133, 041010. [Google Scholar] [CrossRef]
- Long, Y.; Guo, C. Finite Element Modeling of Burr Formation in Orthogonal CuttinG. Mach. Sci. Technol. 2012, 16, 321–336. [Google Scholar] [CrossRef]
- Gordon, S.; Hillery, M.T. A review of the cutting of composite materials. Proc. Inst. Mech. Eng. Part L J. Mater. Des. Appl. 2003, 217, 35–45. [Google Scholar] [CrossRef]
- Rao, G.V.G.; Mahajan, P.; Bhatnagar, N. Micro-mechanical modeling of machining of FRP composites-Cutting force analysis. Compos. Sci. Technol. 2007, 67, 579–593. [Google Scholar] [CrossRef]
- Wang, H.; Chang, L.; Ye, L.; Williams, J. On the toughness measurement for ductile polymers by orthogonal cutting. Eng. Fract. Mech. 2015, 149, 276–286. [Google Scholar] [CrossRef]
- Cepero-Mejías, F.; Curiel-Sosa, J.; Zhang, C.; Phadnis, V. Effect of cutter geometry on machining induced damage in orthogonal cutting of UD polymer composites: FE study. Compos. Struct. 2019, 214, 439–450. [Google Scholar] [CrossRef]
- Yan, Y.; Mao, Y.; Li, B.; Zhou, P. Machinability of the Thermoplastic Polymers: PEEK, PI, and PMMA. Polymers 2020, 13, 69. [Google Scholar] [CrossRef]
- An, Q.; Cai, C.; Cai, X.; Chen, M. Experimental investigation on the cutting mechanism and surface generation in orthogonal cutting of UD-CFRP laminates. Compos. Struct. 2019, 230, 111441. [Google Scholar] [CrossRef]
- Criado, V.; Feito, N.; Guisández, J.L.C.; Díaz-Álvarez, J. A New Cutting Device Design to Study the Orthogonal Cutting of CFRP Laminates at Different Cutting Speeds. Materials 2019, 12, 4074. [Google Scholar] [CrossRef] [PubMed] [Green Version]
- Hassouna, A.; Mzali, S.; Zemzemi, F.; Mezlini, S. Orthogonal cutting of UD-CFRP using multiscale analysis: Finite element modeling. J. Compos. Mater. 2020, 54, 2505–2518. [Google Scholar] [CrossRef]
- Alothman, O.Y. Processing and Characterization of High Density Polyethylene/Ethylene Vinyl Acetate Blends with Different VA Contents. Adv. Mater. Sci. Eng. 2012, 2012, 635693. [Google Scholar] [CrossRef] [Green Version]
- Bhatnagar, N.; Ramakrishnan, N.; Naik, N.; Komanduri, R. On the machining of fiber reinforced plastic (FRP) composite laminates. Int. J. Mach. Tools Manuf. 1995, 35, 701–716. [Google Scholar] [CrossRef]
- Cepero-Mejias, F.; Phadnis, V.; Curiel-Sosa, J. Machining induced damage in orthogonal cutting of UD composites: FEA based assessment of Hashin and Puck criteria. Procedia CIRP 2019, 82, 332–337. [Google Scholar] [CrossRef]
- An, Q.; Ming, W.; Cai, X.; Chen, M. Study on the cutting mechanics characteristics of high-strength UD-CFRP laminates based on orthogonal cutting method. Compos. Struct. 2015, 131, 374–383. [Google Scholar] [CrossRef]
- Liu, Y.; Agmell, M.; Xu, D.; Ahadi, A.; Stahl, J.E.; Zhou, J. Numerical contribution to segmented chip effect on residual stress distribution in orthogonal cutting of Inconel718. Int. J. Adv. Manuf. Technol. 2020, 109, 993–1005. [Google Scholar] [CrossRef]
- Patel, Y.; Blackman, B.R.K.; Williams, J.G. Determining fracture toughness from cutting tests on polymers. Eng. Fract. Mech. 2009, 76, 2711–2730. [Google Scholar] [CrossRef]
- Ramesh, M.; Gopinath, A. Measurement and analysis of thrust force in drilling sisal-glass fiber reinforced polymer composites. IOP Conf. Ser. Mater. Sci. Eng. 2017, 197, 012056. [Google Scholar] [CrossRef] [Green Version]













Publisher’s Note: MDPI stays neutral with regard to jurisdictional claims in published maps and institutional affiliations. |
© 2021 by the authors. Licensee MDPI, Basel, Switzerland. This article is an open access article distributed under the terms and conditions of the Creative Commons Attribution (CC BY) license (https://creativecommons.org/licenses/by/4.0/).
Share and Cite
Yang, B.; Wang, H.; Fu, K.; Wang, C. Prediction of Cutting Force and Chip Formation from the True Stress–Strain Relation Using an Explicit FEM for Polymer Machining. Polymers 2022, 14, 189. https://doi.org/10.3390/polym14010189
Yang B, Wang H, Fu K, Wang C. Prediction of Cutting Force and Chip Formation from the True Stress–Strain Relation Using an Explicit FEM for Polymer Machining. Polymers. 2022; 14(1):189. https://doi.org/10.3390/polym14010189
Chicago/Turabian StyleYang, Bin, Hongjian Wang, Kunkun Fu, and Chonglei Wang. 2022. "Prediction of Cutting Force and Chip Formation from the True Stress–Strain Relation Using an Explicit FEM for Polymer Machining" Polymers 14, no. 1: 189. https://doi.org/10.3390/polym14010189
APA StyleYang, B., Wang, H., Fu, K., & Wang, C. (2022). Prediction of Cutting Force and Chip Formation from the True Stress–Strain Relation Using an Explicit FEM for Polymer Machining. Polymers, 14(1), 189. https://doi.org/10.3390/polym14010189

