Complexes of Glucarolactones with Water-Soluble Copolymers of N-Vinylpyrrolidone with N-Vinylamine as Inhibitors of β-Glucuronidase Efficacy
Abstract
:1. Introduction
2. Materials and Methods
2.1. Materials
2.2. Instruments and Measurements
2.3. Synthesis of [N-VP]n-[N-VFA]m and [N-VP]n-[N-VA]m Copolymers
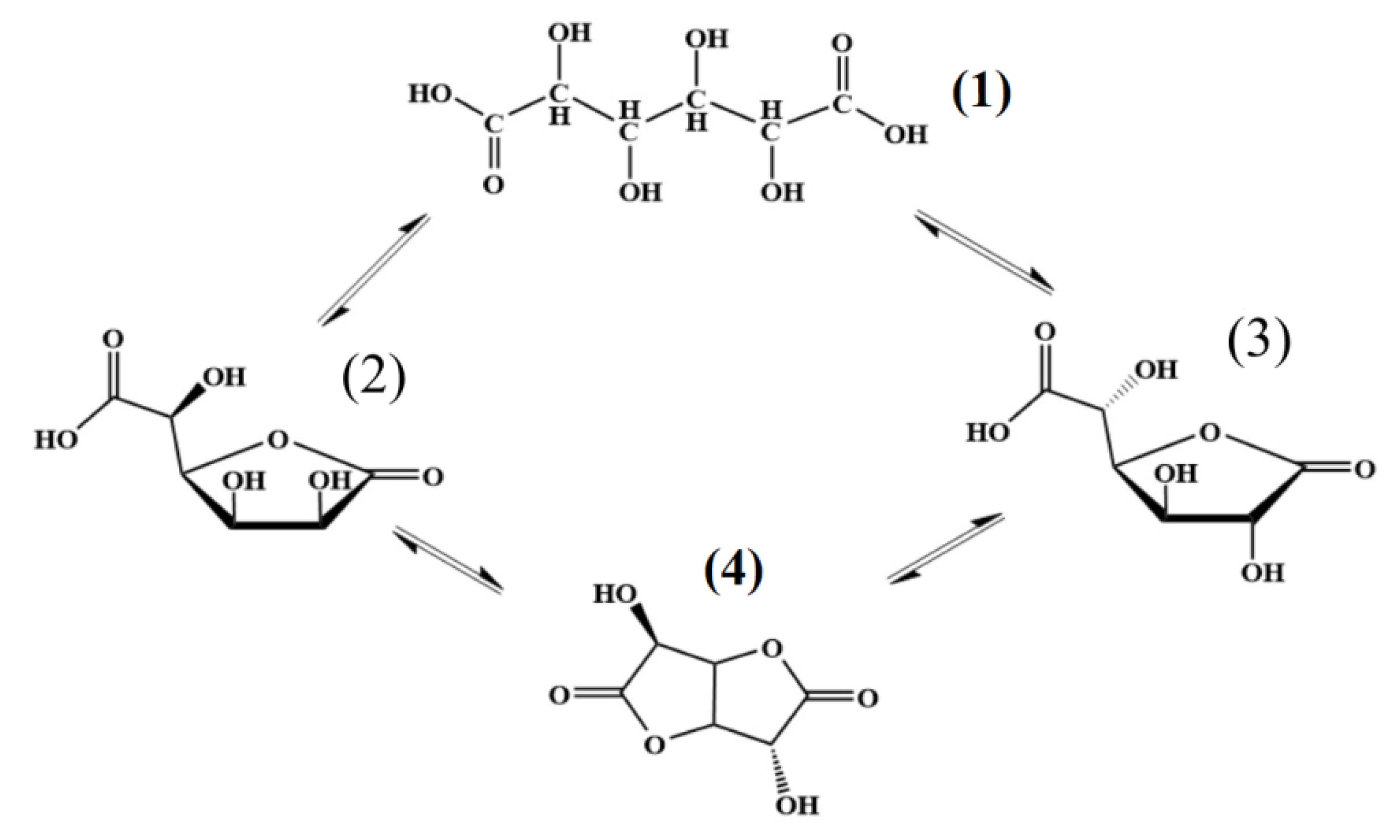
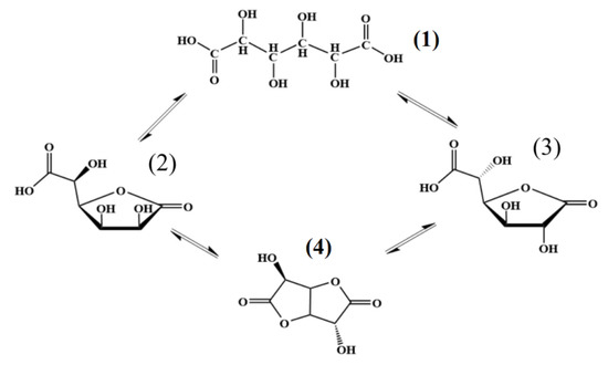
2.4. Synthesis of Lactones of Saccharic Acid
2.5. Synthesis of [N-VP]n-[N-VA]m- β-GA Complexes
2.6. In Vitro and Vivo Experiments
3. Results and Discussion
3.1. Synthesis of Water-Soluble Copolymers of N-Vinylamines
3.2. Determination of Molecular and Structural Characteristics of Copolymers
3.3. Preparation of Polymer-Based Complexes with Glucarolactones
Investigations of Formation of Polymer/Glucarolactone Complexes by Spectral and Chromatographic Methods
3.4. Investigation of Inhibiting Action and Stability of Complex
4. Conclusions
Supplementary Materials
Author Contributions
Funding
Institutional Review Board Statement
Informed Consent Statement
Data Availability Statement
Acknowledgments
Conflicts of Interest
References
- Li, I.; Alsehli, M.; Scotti, L.; Scotti, T.M.; Tsai, S.-T.; Yu, R.-S.; Chen, J.-C. Progress in Polymeric Nano-Medicines for Theranostic Cancer Treatment. Polymers 2020, 12, 598. [Google Scholar] [CrossRef] [Green Version]
- Englert, C.; Brendel, J.C.; Majdanski, T.C.; Yildirim, T.; Schubert, S.; Gottschaldt, M.; Schubert, U.S. Pharmapolymers in the 21st Century: Synthetic Polymers in Drug Delivery Applications. Progress in Polymer. Science 2018, 87, 107–164. [Google Scholar] [CrossRef]
- Hunter, A.C.; Moghimi, S.M. Smart polymers in drug delivery: A biological perspective. Polym. Chem. 2017, 8, 41–51. [Google Scholar] [CrossRef] [Green Version]
- Prabha, S.; Dorothy, R.; Jancirani, S.; Rajendran, S.; Singh, G.; Senthil, K.S. Recent advances in the study of toxicity of polymer-based nanomaterials. Nanotoxicity 2020, 7, 143–165. [Google Scholar] [CrossRef]
- Panarin, E.F.; Lavrov, N.A.; Solovskiy, M.V.; Shalnova, L.I. Polymers–Carriers of Biologically Active Substances; CSC Journals: Kuala Lumpur, Malaysia, 2014; p. 304. [Google Scholar]
- Slita, A.V.; Kasyanenko, N.A.; Nazarova, O.V.; Gavrilova, J.J.; Eropkina, E.M.; Sirotkin, A.K.; Smirnova, T.D.; Kiselev, O.J.; Panarin, E.F. DNA-polycation complexes Effect of polycation structure on physicochemical and biological properties. J. Biotechnol. 2007, 127, 679–693. [Google Scholar] [CrossRef] [PubMed]
- Duncan, R. Polymer conjugates as anticancer nanomedicines. Nat. Rev. Cancer 2006, 6, 688–701. [Google Scholar] [CrossRef] [PubMed]
- Marhefka, J.N.; Marascalco, P.J.; Chapman, T.M.; Russell, A.J.; Kameneva, M.V. Poly (N-vinylformamide)-A drag-reducing polymer for biomedical applications. Biomacromolecules 2006, 7, 1597. [Google Scholar] [CrossRef] [PubMed]
- Panarin, E.F.; Solovskij, M.V.; Zaikina, N.V.; Afinogenov, G.E. Biological activity of cationic polyelectrolytes. Macromol. Chem. Suppl. 1985, 9, 25–33. [Google Scholar] [CrossRef]
- Gorshkov, N.I.; Shatik, S.V.; Tokarev, A.V.; Gavrilova, I.I.; Nazarova, O.V.; Murko, A.Y.; Krasikov, V.D.; Panarin, E.F. Synthesis of complexes of N-vinylpyrrolidone-vinylamine or N-vinylpyrrolidone-allylamine containing macrocyclicpolyligand 1,4,7,10-tetraazacyclododecane-1,4,7,10_tetraacetate (DOTA) with gallium-68 isotope and estimation of their in vivodistribution. Russ. Chem. Bull. 2017, 66, 1. [Google Scholar] [CrossRef]
- Duncan, R.; Vicent, M.J. Polymer therapeutics-prospects for 21st century: The end of the beginning. Adv. Drug. Deliv. Rev. 2013, 65, 60. [Google Scholar] [CrossRef] [PubMed]
- Panarin, E.F. N-vinylamides and related polymers as delivery agents of biologically active compounds. Russ. Chem. Bull. Int. Ed. 2015, 64, 15–23. [Google Scholar] [CrossRef]
- Robinson, B.; Sullivan, F.; Borzelleca, J.; Schwartz, S. PVP-A Critical Review of the Kinetics and Toxicology of Polyvinylpyrrolidone (Povidone); CRC Press: Boca Raton, Fl, USA, 1990; p. 209. [Google Scholar]
- Bailly, N.; Thomas, M.; Klumperman, B. Poly(N-vinylpyrrolidone)-block-poly(vinyl acetate) as a Drug Delivery Vehicle for Hydrophobic Drugs. Biomacromolecules 2012, 13, 4109–4117. [Google Scholar] [CrossRef] [PubMed]
- Gorshkov, N.I.; Murko, A.Y.; Gavrilova, I.I.; Bezrukova, M.A.; Kipper, A.I.; Shatik, S.V.; Tokarev, A.V.; Krasikov, V.D.; Panarin, E.F. Metal-Polymer Complexes of Gallium/Gallium-68 with Copolymers of N-Vinylpyrrolidonewith N-Vinylformamide and N-Vinyliminodiacetic Acid: A Hint for Radiolabeling of Water-Soluble Synthetic Flexible Chain Macromolecules. Polymers 2020, 12, 2889. [Google Scholar] [CrossRef]
- Kirsh, Y.E. Water Soluble Poly-N-Vinylamides: Synthesis and Physicochemical Properties; John Wiley & Sons: Chichester, UK, 1998; p. 248. [Google Scholar]
- Stanworth, D.R. Molecular basis of mast cell triggering processes. Monogr. Allergy 1979, 14, 271–280. [Google Scholar]
- Stanworth, D.R. Oligopeptide Induced Release of Histamine. In Pseudoallergic Reactions–Involvement of Drugs and Chemicals; Dukor, P., Kallos, H.D., Eds.; Springer: Basel, Switzerland, 1980; Volume 1, pp. 56–107. [Google Scholar]
- Droller, M.J. Bladder cancer. Curr. Probl. Surg. 1981, 18, 205–279. [Google Scholar] [CrossRef]
- Vlasov, N.N.; Pliss, G.B. The role of beta-glucuronidase in the tumor process and cancer prevention. Probl. Oncol. 1990, 36, 1037–1044. [Google Scholar]
- Adlercreutz, A.; Martin, F.; Pulkkinen, M.; Dencker, H.; Rimér, U.; Sjöberg, N.O.; Tikkanen, M.J. Intestinal metabolism of estrogens. J. Clin. Endocrinol. Metab. 1976, 43, 497–505. [Google Scholar] [CrossRef]
- Dipple, A. Polycyclic aromatic hydrocarbons carcinogenesis. In Polycyclic Hydrocarbons and Carcinogenesis; ACS Symposium Series; ACS Publications: Washington, DC, USA, 1985; Volume 283, pp. 26–31. [Google Scholar] [CrossRef] [Green Version]
- Kerr, L.M.; Campbell, J.G.; Levvy, G.A. β-Glucuronidase as an index of growth in the uterus and other organs. Biochem. J. 1949, 44, 487–494. [Google Scholar] [CrossRef] [Green Version]
- Levvy, G.A. The inhibition of β-glucuronidase by derivatives of saccharic acid. Biochem. J. 1952, 50, 15–22. [Google Scholar]
- Beland, F.; Kadlubar, F.F. Factors involved in the induction of urinary bladder cancer by aromatic amines. Banbury Rep. 1986, 315–326. Available online: https://agris.fao.org/agris-search/search.do?recordID=US201301425175 (accessed on 1 December 2021).
- Redinbo, M.R.; Mani, S.; Williams, A.; Scott, J.; Yeh, L.A.; Wallace, B.D.; Lane, K.T. Selective Beta-Glucuronidase Inhibitors as a Treatment for Side Effects of Camptothecin Antineoplastic Agents. U.S. Patent US8557808B2, 15 October 2013. [Google Scholar]
- Boyland, E.; Wallace, D.M.; Avis, P.R.D. Attempted prophylaxis of bladder cancer with 1,4-glucosaccharolactone. Br. J. Urol. 1964, 36, 563–569. [Google Scholar] [CrossRef]
- Taha, M.; Ismail, N.H.; Imran, S.; Rahim, F.; Wadood, A.; Khan, H.; Khan, K.M. Synthesis, β-glucuronidase inhibition and molecular docking studies of hybrid bisindole-thiosemicarbazides analogs. Bioorganic Chem. 2016, 68, 56–63. [Google Scholar] [CrossRef] [PubMed]
- Wakabayyashi, M.; Fishman, W.H. (Eds.) Metabolic Conjugation and Metabolic Hydrolysis; Academic Press: New York, NY, USA, 1970; pp. 519–602. [Google Scholar] [CrossRef]
- Roberts, A.B.; Wallace, B.D.; Venkatesh, M.K.; Mani, S.; Redinbo, M.R. Molecular Insights into Microbial β-Glucuronidase Inhibition to Abrogate CPT-11 Toxicity. Mol. Pharmacol. 2013, 84, 208–217. [Google Scholar] [CrossRef] [PubMed] [Green Version]
- Ahmad, S.; Hughes, M.A.; Lane, K.T.; Redinbo, M.R.; Yeh, L.A.; Scott, J.E. A High. Throughput Assay for Discovery of Bacterial β–Glucuronidase Inhibitors. Curr. Chem. Genom. 2011, 5, 13–20. [Google Scholar] [CrossRef] [Green Version]
- Ryohei, I.; Sachiko, N.; Morio, K.; Hiroaki, A.; Hiroko, W.; Akitoshi, S. 2,5-di-o-acetyl-d-glucosaccharo-(1→4), (6→3)-dilactone, a new potent β-glucuronidase inhibitor. Jpn. J. Pharmacol. 1965, 15, 88–90. [Google Scholar] [CrossRef] [Green Version]
- Pliss, G.B.; Vlasov, N.N. New agent for the prevention of bladder tumors. Probl. Oncol. 1996, 42, 68–73. [Google Scholar]
- Akamutsu, S.; Kiomoto, A.; Harigaya, S.; Ohshima, S. Inhibition of β -glucuronidase by oral administration of D-gIycosaccharolactone-l,4. Nature 1971, 191, 1298–1305. [Google Scholar] [CrossRef] [PubMed]
- Kawaguchi, A.W.; Kaida, T.; Okawa, H.; Hashimoto, K. The Synthesis of the Glycopolymers Containing Pendant D,L-Xylaric and L-Tartaric Moieties and Their Inhibition Behavior on the β-Glucuronidase Activity. Polym. J. 2008, 40, 944–952. [Google Scholar] [CrossRef] [Green Version]
- Hashimoto, K.; Ohsawa, R.; Imai, N.; Okada, M. Glycopolymeric inhibitors of β -glucuronidase I. Synthesis and polymerization of styrene derivatives having pendant D(+)-glucaric moieties. J. Polym. Sci. Part A Polym. Chem. 1999, 37, 303–312. [Google Scholar] [CrossRef]
- Hashimoto, K.; Ohsawa, R.; Saito, H. Glycopolymeric inhibitors of β-glucuronidase. II. Synthesis of glycopolymers containing pendantL-gulonic moieties and effects of the carboxyl group in the glycopolymers upon the activity of β-glucuronidase. J. Polym. Sci. Part A Polym. Chem. 1999, 37, 2773–2779. [Google Scholar] [CrossRef]
- Kirsh, Y.E.; Semina, N.V.; Kalninsh, K.K.; Shatalov, G.V. Radical copolymerization of N-vinylpyrrolidone and N-vinylformamide. Vysokomolekulyarnie soedineniya. Polym. Sci. Ser. B 1996, 38, 1905–1908. (In Russian) [Google Scholar]
- Krasikov, V.D. Fundamentals of Planar Chromatography; Khimizdat Publishing House: Saint Petersburg, Russia, 2005; p. 232. (In Russian) [Google Scholar]
- Pavlov, G.M.; Korneeva, E.V.; Gavrilova, I.I.; Nesterova, N.A.; Panarin, E.F.; Ebel, C. Hydrodynamic behavior, molecular mass, and conformational parameters of poly(vinylformamide) molecules. Polym. Sci. Ser. A 2004, 46, 1063–1067. [Google Scholar]
- Tsvetkov, V.N.; Eskin, V.E.; Frenkel, S.Y. Structure of Macromolecules in Solutions; Nauka: Moscow, Russia, 1964. [Google Scholar]
- Brown, W. Dynamic Light Scattering: The Method and Some Application; Clarondon Press: Oxford, UK, 1993; p. 617. [Google Scholar]
- Tikhonov, A.N. On the solution of ill-posed problems and the method of regularization. Dokl. Acad. Sci. USSR 1963, 151, 501–504. [Google Scholar]
- Eskin, V.E. Light Scattering by Polymer Solutions; Leningrad, Science Publishing House: Saint Petersburg, Russia, 1986; Volume 350. [Google Scholar]
- Kratochvil, P. Classical Light Scattering from Polymer Solution; Elsevier: Amsterdam, The Netherlands, 1987; p. 346. [Google Scholar]
- Yamakawa, H. Modern Theory of Polymer Solutions; Harper and Row: New York, NY, USA, 1971; p. 419. [Google Scholar]
- Gruz, R.I.; Verkhoglyadova, T.Y.; Panarin, E.F.; Ushakov, S.N. Preparation and properties of copolymers of N-vinylpyrrolidone and N-vinylamine. Vysokomolekulyarnie soedineniya. Polym. Sci. 1971, 13, 647–652. (In Russian) [Google Scholar]
- Panarin, E.F.; Santuryan, Y.G.; Gavrilova, I.I.; Nesterova, N.A. Preparation Method for Water-Soluble Homo- and Copolymers of Vinylamine. RU Patent 2243977, 10 January 2005. [Google Scholar]
- Gu, L.; Zhu, S.; Hrymak, A.N. Acidic and basic hydrolysis of poly(N-vinylformamide). J. Appl. Polym. Sci. 2002, 86, 3412–3419. [Google Scholar] [CrossRef]
- Santuryan, Y.G.; Malakhova, I.I.; Gorshkov, N.I.; Krasikov, V.; Panarin, E.F. Water-soluble poly(N-vinylamides) as a basis for the synthesis of polymeric carriers of biologically active compounds. Int. J. Polym. Anal. Charact. 2019, 24, 105–113. [Google Scholar] [CrossRef]
- Suyber, S.L.; Sobosinski, P.Z. An improved 2.4.6-trinitrobenzensulfonic acid method for the determination of amines. Analyt. Biochem. 1975, 64, 284–288. [Google Scholar] [CrossRef]
- Panarin, E.F.; Ivanova, N.P.; Belokhvostova, A.T.; Potapenkova, L.S. immunomodulating properties of homo- and copolymers of n-vinylamides. Pharm. Chem. J. 2006, 40, 141–144. [Google Scholar] [CrossRef]
- Najdis, F.B.; Kopejkin, V.V.; Panarin, E.F.; Santurjan, J.G. Method of Synthesis of 1,4-d(+)-glucarolactone and 6,3-d(+)-glucarolactone. RU Patent 2057136, 27 March 1996. [Google Scholar]
- Fishman, W.H. β-Glukuronidase. Method Enzym. Anal. 1973, 2, 929. [Google Scholar] [CrossRef]
- Pliss, G.B.; Vlasov, N.N.; Anikin, I.V. New possibilities for the prevention of bowel cancer using preparations of β-glucuronidase inhibitors. Probl. Oncol. 1998, 44, 68–73. [Google Scholar]
- Gavrilova, I.I.; Panarin, E.F.; Nesterova, N.A. Homopolymerization of n-vinylamides in the presence of water-soluble initiators and preparation of polyelectrolytes from the polymerization products. Russ. J. Appl. Chem. 2012, 85, 413–416. [Google Scholar] [CrossRef]
- Snyder, L.R. Classification of the solvent properties. J. Chromatogr. Sci. 1978, 16, 223. [Google Scholar] [CrossRef]
- Nyiredy, S.; Evdelmeier, C.A.; Meier, B. TLC mobile phase optimization procedure using the “PRIZMA” model. Planta Med. 1985, 2, 241–252. [Google Scholar] [CrossRef]
- Solovskii, M.V.; Nikolskaya, N.V.; Korneeva, E.V.; Mikhailova, N.A.; Pavlov, G.M. Synthesis of Water-Soluble Chemically Degradable Polymers from Glutaraldehyde and N-Vinylpyrrolidone-Allylamine Copolymers. Russ. J. Appl. Chem. 2001, 74, 663–668. [Google Scholar] [CrossRef]
- Arturson, G.; Groth, T.; Grotte, G. Human Glomerular Membrane Porosity and Filtration Pressure: Dextran Clearance Data Analysed by Theoretical Models. Clin. Sci. 1971, 40, 137–158. [Google Scholar] [CrossRef] [Green Version]
- Kirkland, J.J. Modern Practice of Liquid Chromatography; Wiley-Interscience: New York, NY, USA, 1971; Volume 19, p. 454. [Google Scholar]
- Belenkii, B.G.; Vilenchik, L.Z. Modern Liquid Chromatography of Macromolecules; Elsevier: Amsterdam, The Netherlands, 1983; p. 149. [Google Scholar]
- Frietag, R. Modern Advances in Chromatography; Springer: Berlin/Heidelberg, Germany; New York, NY, USA, 2002; p. 279. [Google Scholar] [CrossRef]
- Nesterov, V.V.; Kurenbin, O.I.; Krasikov, V.D.; Belenkii, B.G. Determination of molecular-weight distribution and average molecular weights of block copolymers by gel-permeation chromatography. Talanta 1987, 34, 161–165. [Google Scholar] [CrossRef]
- Krasikov, V.D.; Nesterov, V.V.; Byelenkii, B.G.; Zgonnik, V.N.; Yerusalimskii, B.L. Methods of investigation Application of highly effective exclusion liquid chromatography to investigation of statistical-block and multiblock butadiene and styrene copolymers. Polym. Sci. 1989, 31, 226–231. [Google Scholar] [CrossRef]
- Inagaki, H.; Tanaka, T. Characterisation of copolymers by TLC, GPC, and other methods. Puer Appl. Chem. 1982, 54, 309–322. [Google Scholar] [CrossRef]
- Krasikov, V.D.; Borisenko, M.S.; Malakhova, I.I.; Gorshkov, N.I.; Bezrukova, M.A.; Solovskii, M.V. Chromatographic Analytical Control and Purification of Water-Soluble Carboxylated Copolymers Based on N-Vinylamides. J. Anal. Chem. 2019, 74, 1122–1126. [Google Scholar] [CrossRef]
- Grubisic, Z.; Rempp, P.; Benoit, H. A universal calibration for gel-permiation. J. Polym. Sci. 1967, 85, 753–759. [Google Scholar]
- Vilenchik, L.Z.; Zhmakina, T.P.; Belenkii, B.G. General universal calibration dependence in size exclusion chromatography. Vysokomol. Soedin. Polym. Sci. 1984, A26, 416–418. [Google Scholar]
- Pavlov, G.M. Size and average density spectra of macromolecules obtained from hydrodynamic data. Eur. Phys. J. E 2007, 22, 171–180. [Google Scholar] [CrossRef]
- Horton, D.; Wałaszek, Z. Conformations of the D-glucarolactones and D(+)-glucaric acid in solution. Carbohydr. Res. 1982, 105, 95–109. [Google Scholar] [CrossRef]
- Brown, J.M.; Manley-Harris, M.; Field, R.J.; Kiely, D.E. An NMR Study of the Equilibration of d-Glucaric Acid with Lactone Forms in Aqueous Acid Solutions. J. Carbohydr. Chem. 2007, 26, 455–467. [Google Scholar] [CrossRef]
- Armstrong, R.K.; Benson, K.D.; Hutchings, G.J. How to synthesise high purity, crystalline D(+)-glucaric acid selectively. Eur. J. Org. Chem. 2017, 45, 6811–6814. [Google Scholar] [CrossRef] [Green Version]
- Banach, M.; Makara, A. Thermal decomposition of sodium phosphates. J. Chem. Eng. Data 2011, 56, 3095–3099. [Google Scholar] [CrossRef]
- Hodge, H.C.; Sterner, J.H. Tabulation of Toxicity Classes. Am. Ind. Hyg. Assoc. Quart. 1949, 10, 93–96. [Google Scholar] [CrossRef] [PubMed]
- United Nations. Economic Commission for Europe. In Secretariat Globally Harmonized System of Classification and Labelling of Chemicals (GHS); United Nations Publications: New York, NY, USA, 2011. [Google Scholar]









| № | Copolymerization of N-VP and N-VFA | Removal of Formyl Protection | ||||||||
|---|---|---|---|---|---|---|---|---|---|---|
| N-VP/N-VFA Ratio, mol.% | Monomer Content, wt.% | H2O2, wt.% with Respect to the Total Amount of Monomers | NH4OH wt.% with Respect to the Total Amount of Monomers | t, h | [η]; 238 K, 0.1M KCl, cm3/g | Copolymer Content in Solution, wt.% | H3PO4 Content wt.% | T, K | t, h | |
| 1 | 90:10 | 46.6 | 0.8 | 2.0 | 4 | 36 | 30 | 13.70 | 383 | 24 |
| 2 | 89:11 | 50 | 0.5 | 1.37 | 4 | 24 | 10 | 7.33 | 383 | 24 |
| 3 | 91:9 | 35 | 0.6 | 1.8 | 5 | 15 | 31 | 7.78 | 373 | 24 |
| 4 | 50:50 | 30 | 0.8 | 1.4 | 4 | 29 | 10 | 5.50 | 373 | 20 |
| № | N-VP, mol.% | [η], cm3/g | D × 10−7, cm3/g | Rh, nm | MSD, kDa | w *, kDa | w kDa | |
|---|---|---|---|---|---|---|---|---|
| 1 | 90 | 32.0 | 4.6 | 5.7 | 50.0 | 54.0 | 60.0 | 2.3 |
| 2 | 89 | 25.0 | 5.2 | 4.1 | 31.0 | 36.0 | 40.0 | 2.2 |
| 3 | 91 | 19.0 | 5.9 | 3.8 | 27.0 | 28.0 | 25.0 | 2.1 |
| 4 | 50 | 28.0 | 5.3 | 4.2 | 48.0 | 42.0 | 50.0 | 2.2 |
| № | Extracting Agent * | Content of 1,4-GL in Alcohol Solution, wt.% | Content of 6,3-GL in Aqueous Phase, wt.% |
|---|---|---|---|
| 1 | Butanol-1 | 6.5 | 84.3 |
| 2 | Tert-butanol | 5.9 | 67.5 |
| 3 | Tert-amyl alcohol | 9.3 | 31.3 |
| № | Substance | Retention Time, min | Content of a Substance in Complex, % | Content of a Substance in Complex (without Phosphates), % |
|---|---|---|---|---|
| 1 | D(+)-glucaric acid | 13.70 | 17.7 | 25.7 |
| 2 | 1.4-glucarolactone | 14.37 | 78.1 | 72.8 |
| 3 | 6.3-glucarolactone | 16.42 | 4.2 | 1.5 |
| Substance | ID50, mg/mL |
|---|---|
| 1,4-lactone of glucaric acid | 0.005 |
| Complex | 0.06 |
| № | Characteristics of the Copolymer (Polyelectrolyte) | Binding of Lactones (%) | Stability of Complex in Aqueous Solution (24 h), % | Residual Activity of Enzyme β-GA, Fishman Units | |
|---|---|---|---|---|---|
| Content of VA Units, mol.% | MM × 103,Da | ||||
| 1 | 15 | 80 | 90 | 85 | <10 |
| 2 | 20 | 30 | 84 | 90 | <10 |
| 3 | 20 | 60 | 90 | 88 | <10 |
| 4 | 20 | 100 | 90 | 91 | <10 |
| 5 | 20 | 150 | 95 | 80 | 20…40 |
| Groups of Animals | Introduced Compounds | Activity of β-GA (Fishman Units) in: | |||||||
|---|---|---|---|---|---|---|---|---|---|
| 1 Day | 3 Months | 6 Months | 9 Months | 12 Month | 18 Months | 24 Months | 28 Months | ||
| 1 | BBNA | 0.3 | 112 ± 1.6 | 120 ± 2.4 | 268 ± 4.2 | 348 + 6.7 * | |||
| 2 | BBNA + complex | 0.3 | 4.0 ± 0.3 | 6.0 + 0.4 | 5.0 ± 0.4 | 3.0 + 0.2 | 4.2 + 0.3 | 5.4 + 0.7 | 6.2 + 0.8 |
Publisher’s Note: MDPI stays neutral with regard to jurisdictional claims in published maps and institutional affiliations. |
© 2021 by the authors. Licensee MDPI, Basel, Switzerland. This article is an open access article distributed under the terms and conditions of the Creative Commons Attribution (CC BY) license (https://creativecommons.org/licenses/by/4.0/).
Share and Cite
Krasikov, V.D.; Santuryan, Y.G.; Malahova, I.I.; Ivanov, A.G.; Gorshkov, N.I.; Panarin, E.F. Complexes of Glucarolactones with Water-Soluble Copolymers of N-Vinylpyrrolidone with N-Vinylamine as Inhibitors of β-Glucuronidase Efficacy. Polymers 2022, 14, 105. https://doi.org/10.3390/polym14010105
Krasikov VD, Santuryan YG, Malahova II, Ivanov AG, Gorshkov NI, Panarin EF. Complexes of Glucarolactones with Water-Soluble Copolymers of N-Vinylpyrrolidone with N-Vinylamine as Inhibitors of β-Glucuronidase Efficacy. Polymers. 2022; 14(1):105. https://doi.org/10.3390/polym14010105
Chicago/Turabian StyleKrasikov, Valerii D., Yulia G. Santuryan, Irina I. Malahova, Alexey G. Ivanov, Nikolay I. Gorshkov, and Evgenii F. Panarin. 2022. "Complexes of Glucarolactones with Water-Soluble Copolymers of N-Vinylpyrrolidone with N-Vinylamine as Inhibitors of β-Glucuronidase Efficacy" Polymers 14, no. 1: 105. https://doi.org/10.3390/polym14010105
APA StyleKrasikov, V. D., Santuryan, Y. G., Malahova, I. I., Ivanov, A. G., Gorshkov, N. I., & Panarin, E. F. (2022). Complexes of Glucarolactones with Water-Soluble Copolymers of N-Vinylpyrrolidone with N-Vinylamine as Inhibitors of β-Glucuronidase Efficacy. Polymers, 14(1), 105. https://doi.org/10.3390/polym14010105

