Physical Effects of Radiation Modification of Biodegradable Xylitol-Based Materials Synthesized Using a Combination of Different Monomers
Abstract
1. Introduction
2. Materials and Methods
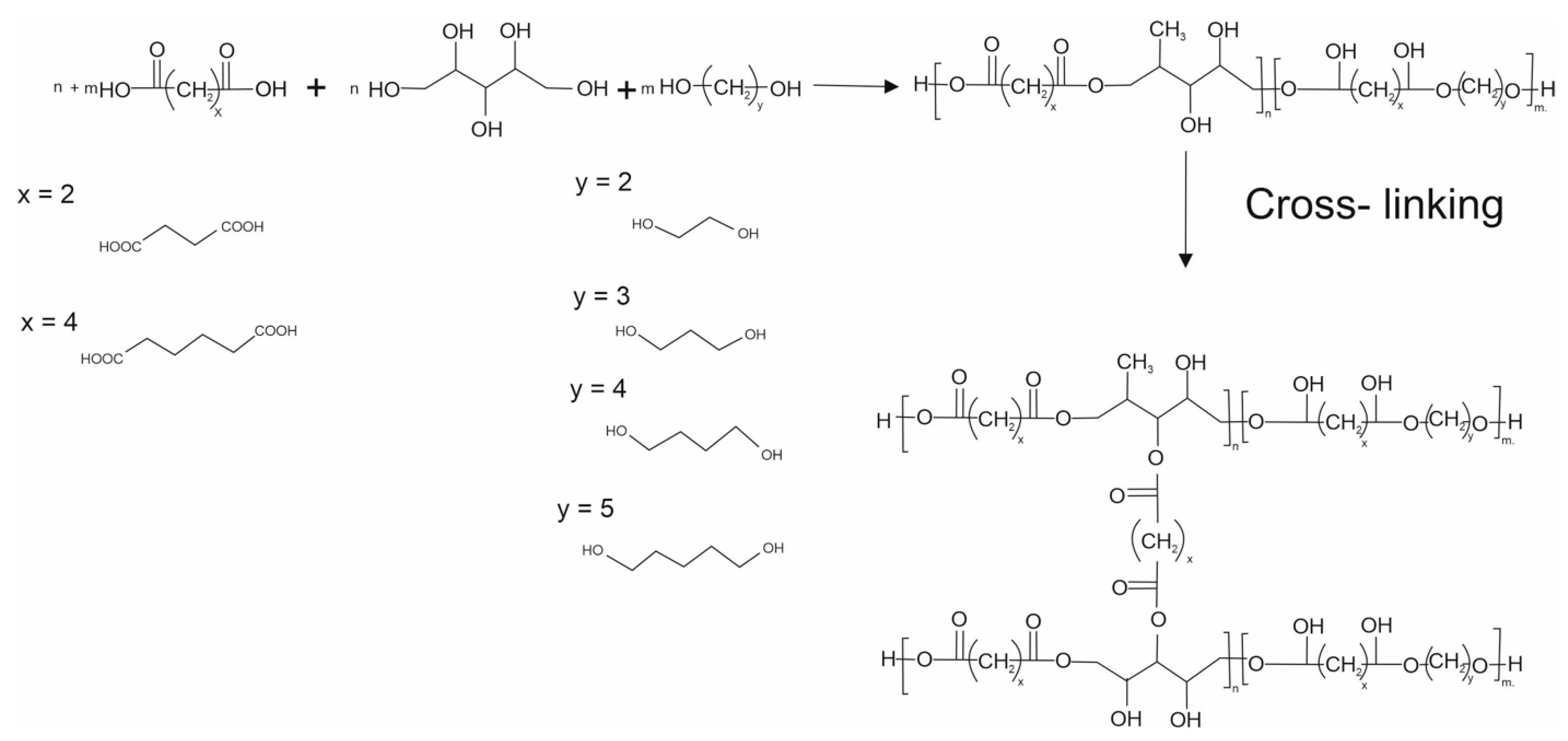
2.1. Synthesis of Elastomers
2.2. Irradiation
3. Experimental Methods
3.1. Nuclear Magnetic Resonance Spectroscopy (NMR)
3.2. Fourier Transform Infrared Spectroscopy (FTIR)
3.3. Differential Scanning Calorimetry (DSC)
3.4. Dynamic Thermomechanical Analysis (DMTA)
3.5. Mechanical Properties
3.6. Gel Fraction
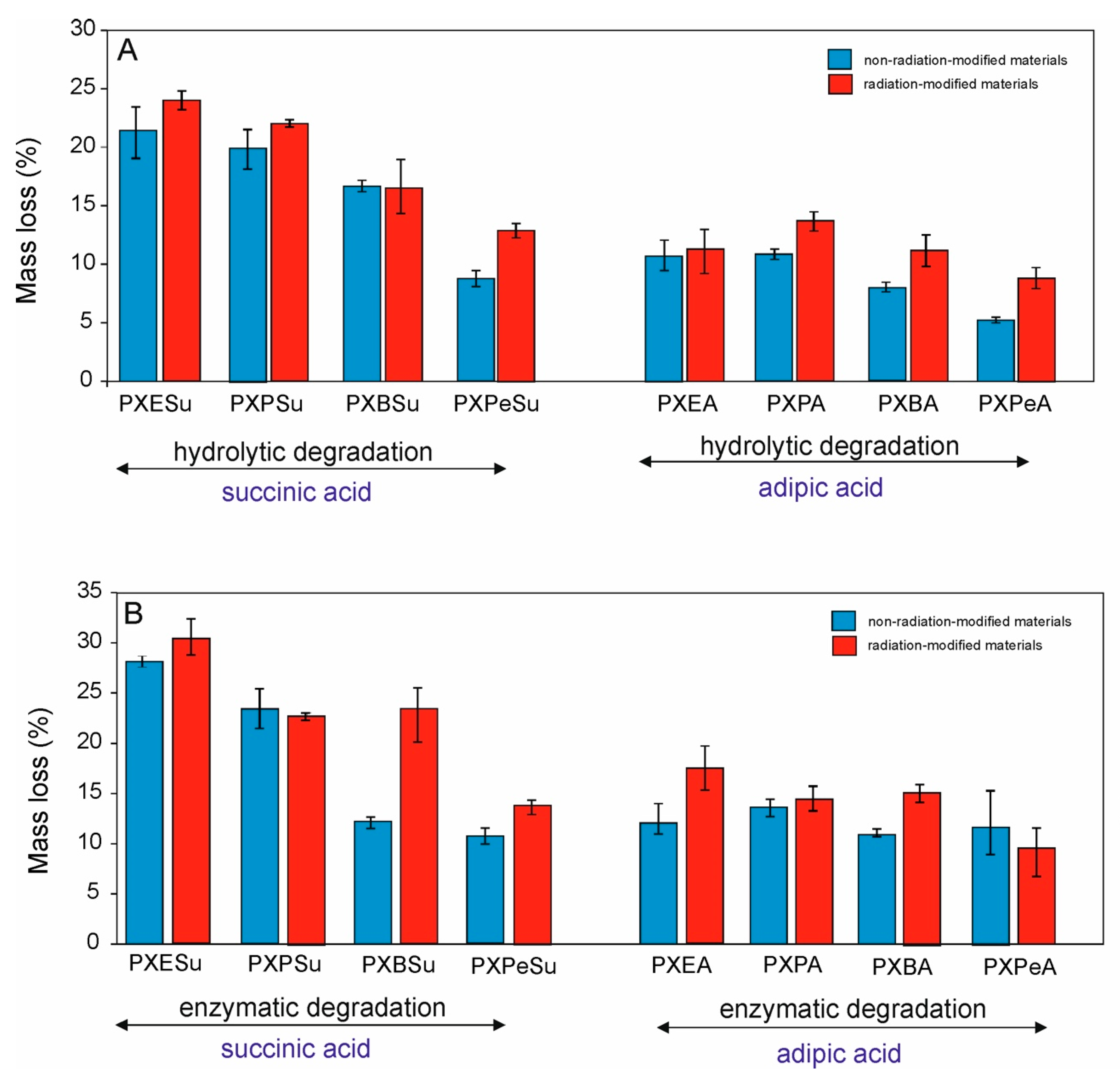
3.7. Hydrolytic Degradation
3.8. Enzymatic Degradation
3.9. Thermogravimetric Analysis (TGA)
3.10. Gel Permeation Chromatography (GPC)
3.11. Scanning Electron Microscopy (SEM)
4. Results and Discussion
4.1. Nuclear Magnetic Resonance Spectroscopy (NMR)
4.2. Fourier Transform Infrared Spectroscopy (FTIR)
4.3. Thermal Properties: Differential Scanning Calorimetry (DSC)
4.4. Dynamic Thermomechanical Analysis (DMTA)
4.5. Mechanical Properties
4.6. Gel Fraction
4.7. Biodegradation
4.8. Thermogravimetric Analysis (TGA)
4.9. Scanning Electron Microscopy (SEM)
5. Conclusions
Author Contributions
Funding
Institutional Review Board Statement
Informed Consent Statement
Data Availability Statement
Conflicts of Interest
References
- Bruggeman, J.P.; de Bruin, B.J.; Bettinger, C.J.; Langer, R. Biodegradable poly(polyol sebacate) polymers. Biomaterials 2008, 29, 4726–4735. [Google Scholar] [CrossRef]
- Ning, Z.Y.; Zhang, Q.S.; Wu, Q.P.; Li, Y.Z.; Ma, D.X.; Chen, J.Z. Efficient synthesis of hydroxyl functioned polyesters from natural polyols and sebacic acid. Chin. Chem. Lett. 2011, 22, 635–638. [Google Scholar] [CrossRef]
- Dasgupta, Q.; Chatterjee, K.; Madras, G. Combinatorial approach to develop tailored biodegradable poly(xylitol dicarboxylate) polyesters. Biomacromolecules 2014, 15, 4302–4313. [Google Scholar] [CrossRef]
- Chen, Q.Z.; Bismarck, A.; Hansen, U.; Junaid, S.; Tran, M.Q.; Harding, S.E.; Ali, N.N.; Boccaccini, A.R. Characterisation of a soft elastomer poly(glycerol sebacate) designed to match the mechanical properties of myocardial tissue. Biomaterials 2008, 29, 47–57. [Google Scholar] [CrossRef] [PubMed]
- Sundback, C.A.; Shyu, J.Y.; Wang, Y.; Faquin, W.C.; Langer, R.S.; Vacanti, J.P.; Hadlock, T.A. Biocompatibility analysis of poly(glycerol sebacate) as a nerve guide material. Biomaterials 2005, 26, 5454–5464. [Google Scholar] [CrossRef] [PubMed]
- Zaky, S.H.; Lee, K.W.; Gao, J.; Jensen, A.; Verdelis, K.; Wang, Y.; Almarza, A.J.; Sfeir, C. Poly (glycerol sebacate) elastomer supports bone regeneration by its mechanical properties being closer to osteoid tissue rather than to mature bone. Acta Biomater. 2017, 54, 95–106. [Google Scholar] [CrossRef] [PubMed]
- Motlagh, D.; Yang, J.; Lui, K.Y.; Webb, A.R.; Ameer, G.A. Hemocompatibility evaluation of poly(glycerol-sebacate) in vitro for vascular tissue engineering. Biomaterials 2006, 27, 4315–4324. [Google Scholar] [CrossRef]
- Kemppainen, J.M.; Hollister, S.J. Tailoring the mechanical properties of 3D-designed poly(glycerol sebacate) scaffolds for cartilage applications. J. Biomed. Mater. Res. Part A 2010, 94, 9–18. [Google Scholar] [CrossRef] [PubMed]
- Moorhoff, C.; Li, Y.; Cook, W.D.; Braybrook, C.; Chen, Q.Z. Characterization of the prepolymer and gel of biocompatible poly(xylitol sebacate) in comparison with poly(glycerol sebacate) using a combination of mass spectrometry and nuclear magnetic resonance. Polym. Int. 2015, 64, 668–688. [Google Scholar] [CrossRef]
- Li, Y.; Chen, Q.Z. Fabrication of mechanically tissue-like fibrous poly(xylitol sebacate) using core/shell electrospinning technique. Adv. Eng. Mater. 2015, 17, 324–329. [Google Scholar] [CrossRef]
- Li, Y.; Thouas, G.A.; Chen, Q. Novel elastomeric fibrous networks produced from poly(xylitol sebacate)2:5 by core/shell electrospinning: Fabrication and mechanical properties. J. Mech. Behav. Biomed. Mater. 2014, 40, 210–221. [Google Scholar] [CrossRef][Green Version]
- Ma, P.; Li, T.; Wu, W.; Shi, D.; Duan, F.; Bai, H.; Dong, W.; Chen, M. Novel poly(xylitol sebacate)/hydroxyapatite bio-nanocomposites via one-step synthesis. Polym. Degrad. Stab. 2014, 110, 50–55. [Google Scholar] [CrossRef]
- Hu, J.; Gao, W.; Kulshrestha, A.; Gross, R.A. “Sweet polyesters”: Lipase-catalyzed condensation—Polymerizations of alditols. Macromolecules 2006, 39, 6789–6792. [Google Scholar] [CrossRef]
- Kavimani, V.; Jaisankar, V. Synthesis and Characterisation of Sorbitol Based Copolyesters for Biomedical Applications. J. Phys. Sci. Appl. 2014, 4, 507–515. [Google Scholar]
- Piatek-Hnat, M.; Bomba, K.; Peksinśki, J.; Kozłowska, A.; Sośnicki, J.G.; Idzik, T.J. Effect of e-beam irradiation on thermal and mechanical properties of ester elastomers containing multifunctional alcohols. Polymers 2020, 12, 1043. [Google Scholar] [CrossRef] [PubMed]
- Piatek-Hnat, M.; Bomba, K.; Peksiński, J.; Kozłowska, A.; Sośnicki, J.G.; Idzik, T.J.; Piwowarska, D.; Janik, J. Influence of e-beam irradiation on the physicochemical properties of poly(polyol succinate-co-butylene succinate) ester elastomers. Materials 2020, 13, 3196. [Google Scholar] [CrossRef] [PubMed]
- Piatek-Hnat, M.; Bomba, K.; Pęksiński, J. Structure and properties of biodegradable poly (xylitol sebacate-co-butylene sebacate) copolyester. Molecules 2020, 25, 1541. [Google Scholar] [CrossRef] [PubMed]
- Piątek-Hnat, M.; Sładkiewicz, P.; Bomba, K.; Pęksiński, J.; Kozłowska, A.; Sośnicki, J.; Idzik, T. Tailoring the Physico-Chemical Properties of Poly(xylitol-dicarboxylate-co-butylene dicarboxylate) Polyesters by Adjusting the Cross-Linking Time. Polymers 2020, 12, 1493. [Google Scholar] [CrossRef] [PubMed]
- Piatek-Hnat, M.; Bomba, K.; Peksiński, J. Synthesis and selected properties of ester elastomer containing sorbitol. Appl. Sci. 2020, 10, 1628. [Google Scholar] [CrossRef]
- Piątek-Hnat, M.; Bomba, K. The influence of of cross-linking process on the physicochemical properties of new copolyesters containing xylitol. Mater. Today Commun. 2020, 20, 100734. [Google Scholar] [CrossRef]
- Firoozi, N.; Kang, Y. A Highly Elastic and Autofluorescent Poly(xylitol-dodecanedioic Acid) for Tissue Engineering. ACS Biomater. Sci. Eng. 2019, 5, 1257–1267. [Google Scholar] [CrossRef]
- Bruggeman, J.P.; Bettinger, C.J.; Langer, R. Biodegradable xylitol-based elastomers: In vivo behavior and biocompatibility. J. Biomed. Mater. Res. Part A 2010, 95, 92–104. [Google Scholar] [CrossRef] [PubMed]
- Minh Quynh, T.; Mitomo, H.; Yoneyama, M.; Quoc Hien, N. Properties of Radiation-Induced Crosslinking Stereocomplexes Derived From Poly(L-Lactide) and Different Poly(D-Lactide). Trans. Polym. Eng. Sci. 2009, 49, 970–976. [Google Scholar] [CrossRef]
- Nagasawa, N.; Kasai, N.; Yagi, T.; Yoshii, F.; Tamada, M. Radiation-induced crosslinking and post-processing of poly(l-lactic acid) composite. Radiat. Phys. Chem. 2011, 80, 145–148. [Google Scholar] [CrossRef]
- Huang, Y.; Gohs, U.; Müller, M.T.; Zschech, C.; Wiessner, S. Electron beam treatment of polylactide at elevated temperature in nitrogen atmosphere. Radiat. Phys. Chem. 2019, 159, 166–173. [Google Scholar] [CrossRef]
- Changyu, H.; Xianghai, R.; Kunyu, Z.; Zhuang, Y.; Dong, L. Thermal and Mechanical Properties of Poly(e-caprolactone) Crosslinked with g Radiation in the Presence of Triallyl Isocyanurate. J. Appl. Polym. Sci. 2010, 116, 2658–2667. [Google Scholar]
- Zhu, G.; Liang, G.; Xu, Q.; Yu, Q. Shape-memory effects of radiation crosslinked Poly(ε-caprolactone). J. Appl. Polym. Sci. 2003, 90, 1589–1595. [Google Scholar] [CrossRef]
- Suhartini, M.; Mitomo, H.; Nagasawa, N.; Yoshii, F.; Kume, T. Radiation crosslinking of poly(butylene succinate) in the presence of low concentrations of trimethallyl isocyanurate and its properties. J. Appl. Polym. Sci. 2003, 88, 2238–2246. [Google Scholar] [CrossRef]
- Ashby, R.D.; Cromwick, A.M.; Foglia, T.A. Radiation crosslinking of a bacterial medium-chain-length poly(hydroxyalkanoate) elastomer from tallow. Int. J. Biol. Macromol. 1998, 23, 61–72. [Google Scholar] [CrossRef]
- Bergmann, A.; Teßmar, J.; Owen, A. Influence of electron irradiation on the crystallisation, molecular weight and mechanical properties of poly-(R)-3-hydroxybutyrate. J. Mater. Sci. 2007, 42, 3732–3738. [Google Scholar] [CrossRef]
















| Material | MC | Stress at Break σr [MPa] | Elongation at Break ε [%] | Modulus at 50% Elongation E_50% [MPa] | Mw (g/mol) | PDI |
|---|---|---|---|---|---|---|
| PXESu (x = 2, y = 2) | 1.21 | 6.60 +/− 0.88 | 283.2 +/− 17.23 | 0.97 +/− 0.20 | 34,000 | 2.5 |
| PXESu (radiation-modified) | - | 3.49 +/− 0.29 | 182.3 +/− 3.4 | 0.67 +/− 0.08 | ||
| PXPSu (x = 2, y = 3) | 0.28 | 2.72 +/− 0.36 | 233.7 +/− 11.01 | 0.44 +/− 0.05 | 20,000 | 1.6 |
| PXPSu (radiation-modified) | - | 1.99 +/− 0.13 | 213 +/− 14.4 | 1.37 +/− 0.5 | ||
| PXBSu (x = 2, y = 4) | 0.28 | 2.15 +/− 0.22 | 200.30 +/− 17.85 | 0.41 +/− 0.09 | 21,000 | 1.5 |
| PXBSu (radiation-modified) | - | 2.02 +/− 0.19 | 192 +/− 14.7 | 0.4 +/− 0.06 | ||
| PXPeSu (x = 2, y = 5) | 0.37 | 1.08 +/− 0.12 | 196.88 +/− 23.68 | 0.25 +/− 0.05 | 24,000 | 2.1 |
| PXPeSu (radiation-modified) | - | 1.57 +/− 0.39 | 218 +/− 11.25 | 0.278 +/− 0.09 | ||
| PXEA (x = 4, y = 2) | 1.21 | 0.98 +/− 0.18 | 84.41 +/− 7.05 | 0.72 +/− 0.18 | 36,000 | 2.4 |
| PXEA (radiation-modified) | - | 1.19 +/− 0.255 | 76.7 +/− 10.25 | 0.95 +/− 0.035 | ||
| PXPA (x = 4, y = 3) | 0.4 | 0.59 +/− 0.16 | 85.32 +/− 20.56 | 0.44 +/− 0.08 | 27,000 | 1.9 |
| PXPA (radiation-modified) | - | 0.96 +/− 0.14 | 103 +/− 10.7 | 0.54 +/− 0.05 | ||
| PXBA (x = 4, y = 4) | 0.2 | 0.59 +/− 0.08 | 82.08 +/− 4.48 | 0.47 +/− 0.03 | 22,000 | 1.4 |
| PXBA (radiation-modified) | - | 0.7 +/− 0.09 | 81.1 +/− 11 | 0.54 +/− 0.05 | ||
| PXPeA (x = 4, y = 5) | 0.26 | 0.67 +/− 0.6 | 85.74 +/− 10.46 | 0.50 +/− 0.06 | 21,000 | 1.5 |
| PXPeA (radiation-modified) | - | 0.67 +/− 0.17 | 73.21 +/− 7.12 | 0.61 +/− 0.05 |
| Material | Glass Transition Temperature Tg [°C] | Change in Heat Capacity ∆Cp [J/g °C] | Melting Temperature Tm2 [°C] | Melting Enthalphy Hm2 [J/g] | Degradation Onset Temperature Td [°C] |
|---|---|---|---|---|---|
| PXESu prepolymer | −10.21 | 0.63 | ─ | ─ | |
| PXESu crosslinked | 10.22 | 0.61 | ─ | ─ | 231 |
| PXESu (radiation-modified) | −2.11 | 0.6050 | |||
| PXPSu prepolymer | −14.36 | 0.6701 | ─ | ─ | |
| PXPSu crosslinked | 1.62 | 0.55 | ─ | ─ | 220.6 |
| PXPSu (radiation-modified) | −9.69 | 0.6326 | |||
| PXBSu prepolymer | −15.35 | 0.56 | 47.27 | 12.59 | |
| PXBSu crosslinked | −6.07 | 0.58 | ─ | ─ | 224.5 |
| PXBSu (radiation-modified) | −14.92 | 0.5953 | |||
| PXPeSu prepolymer | −18.11 | 0.60 | ─ | ─ | |
| PXPeSu crosslinked | −12.63 | 0.61 | ─ | ─ | 227 |
| PXPeSu (radiation-modified) | −20.23 | 0.6186 | |||
| PXEA prepolymer | −33.29 | 0.62 | ─ | ─ | |
| PXEA crosslinked | −16.79 | 0.53 | ─ | ─ | 213.5 |
| PXEA (radiation-modified) | −26.67 | 0.56 | |||
| PXPA prepolymer | −34.86 | 0.61 | ─ | ─ | |
| PXPA crosslinked | −28.37 | 0.58 | ─ | ─ | 209.5 |
| PXPA (radiation-modified) | −31.21 | 0.5580 | |||
| PXBA prepolymer | −40.52 | 0.64 | ─ | ─ | |
| PXBA crosslinked | −25.73 | 0.4758 | ─ | ─ | 215.8 |
| PXBA (radiation-modified) | −34.99 | 0.5807 | |||
| PXPeA prepolymer | −46.33 | 0.61 | ─ | ─ | |
| PXPeA crosslinked | −28.63 | 0.51 | ─ | ─ | 207.9 |
| PXPeA (radiation-modified) | −33.31 | 0.55 |
Publisher’s Note: MDPI stays neutral with regard to jurisdictional claims in published maps and institutional affiliations. |
© 2021 by the authors. Licensee MDPI, Basel, Switzerland. This article is an open access article distributed under the terms and conditions of the Creative Commons Attribution (CC BY) license (http://creativecommons.org/licenses/by/4.0/).
Share and Cite
Piątek-Hnat, M.; Bomba, K.; Kowalski-Stankiewicz, J.P.; Pęksiński, J.; Kozłowska, A.; Sośnicki, J.G.; Idzik, T.J.; Schmidt, B.; Kowalczyk, K.; Walo, M.; et al. Physical Effects of Radiation Modification of Biodegradable Xylitol-Based Materials Synthesized Using a Combination of Different Monomers. Polymers 2021, 13, 1041. https://doi.org/10.3390/polym13071041
Piątek-Hnat M, Bomba K, Kowalski-Stankiewicz JP, Pęksiński J, Kozłowska A, Sośnicki JG, Idzik TJ, Schmidt B, Kowalczyk K, Walo M, et al. Physical Effects of Radiation Modification of Biodegradable Xylitol-Based Materials Synthesized Using a Combination of Different Monomers. Polymers. 2021; 13(7):1041. https://doi.org/10.3390/polym13071041
Chicago/Turabian StylePiątek-Hnat, Marta, Kuba Bomba, Janusz P. Kowalski-Stankiewicz, Jakub Pęksiński, Agnieszka Kozłowska, Jacek G. Sośnicki, Tomasz J. Idzik, Beata Schmidt, Krzysztof Kowalczyk, Marta Walo, and et al. 2021. "Physical Effects of Radiation Modification of Biodegradable Xylitol-Based Materials Synthesized Using a Combination of Different Monomers" Polymers 13, no. 7: 1041. https://doi.org/10.3390/polym13071041
APA StylePiątek-Hnat, M., Bomba, K., Kowalski-Stankiewicz, J. P., Pęksiński, J., Kozłowska, A., Sośnicki, J. G., Idzik, T. J., Schmidt, B., Kowalczyk, K., Walo, M., & Kochmańska, A. (2021). Physical Effects of Radiation Modification of Biodegradable Xylitol-Based Materials Synthesized Using a Combination of Different Monomers. Polymers, 13(7), 1041. https://doi.org/10.3390/polym13071041

