Concerning Synthesis of New Biobased Polycarbonates with Curcumin in Replacement of Bisphenol A and Recycled Diphenyl Carbonate as Example of Circular Economy
Abstract
1. Introduction
2. Materials and Methods
2.1. Depolymerization of PC Waste
2.2. Synthesis of THCM
2.3. Preparation of PC Polymers
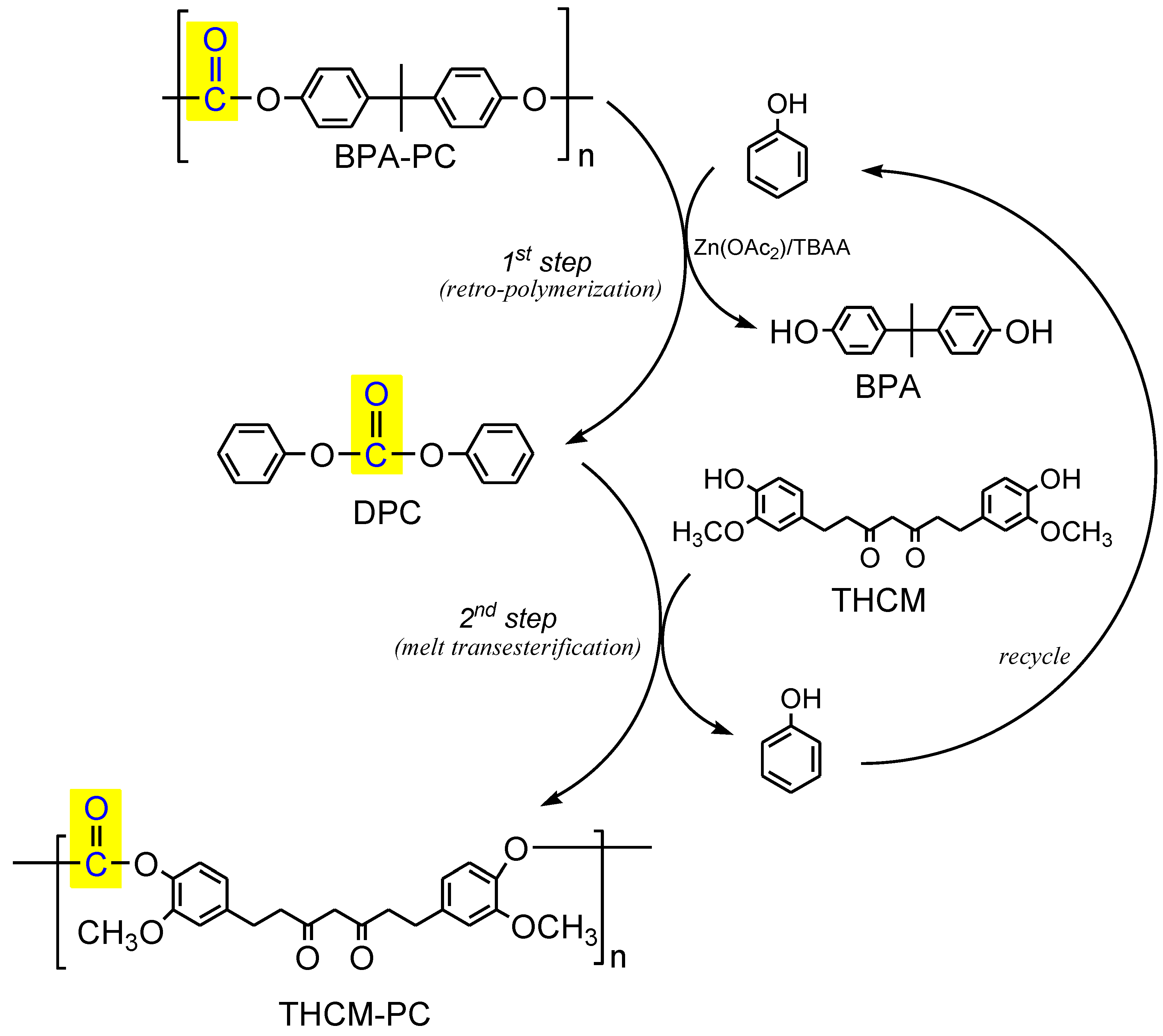
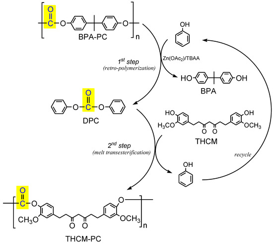
3. Results and Discussion
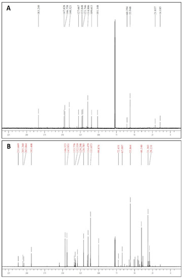
3.1. Synthesis of THCM
3.2. Preparation of Polycarbonates
4. Conclusions
Author Contributions
Funding
Institutional Review Board Statement
Informed Consent Statement
Data Availability Statement
Conflicts of Interest
References
- Beaumont, N.J.; Aanesen, M.; Austen, M.C.; Börger, T.; Clark, J.R.; Cole, M.; Hooper, T.; Lindeque, P.K.; Pascoe, C.; Wyles, K.J. Global ecological, social and economic impacts of marine plastic. Mar. Pollut. Bull. 2019, 142, 189–195. [Google Scholar] [CrossRef] [PubMed]
- Wilson, D.C.; Rodic, L.; Modak, P.; Soos, R.; Rogero, A.C.; Velis, C.; Lyer, M.; Simonett, O. Global Waste Management Outlook; Wilson, D.C., Ed.; United Nations Environment Programme: Nairobi, Kenya; International Solid Waste Association General Secretariat: Vienna, Austria, 2015. [Google Scholar]
- Forrest, A.; Giacovazzi, L.; Dunlop, S.; Reisser, J.; Tickler, D.; Jamieson, A.; Meeuwig, J.J. Eliminating Plastic Pollution: How a Voluntary Contribution From Industry Will Drive the Circular Plastics Economy. Front. Mar. Sci. 2019, 6, 627. [Google Scholar] [CrossRef]
- Crippa, M.; De Wilde, B.; Koopmans, R.; Leyssens, J.; Muncke, J.; Ritschkoff, A.-C.; Van Doorsselaer, K.; Velis, C.; Wagner, M.A. A Circular Economy for Plastics—Insights from Research and Innovation to Inform Policy and Funding Decisions; De Smet, M., Linder, M., Eds.; European Commission: Brussels, Belgium, 2019. [Google Scholar]
- Oku, A.; Tanaka, S.; Hata, S. Chemical conversion of poly(carbonate) to bis(hydroxyethyl) ether of bisphenol A. An approach to the chemical recycling of plastic wastes as monomers. Polymer 2000, 41, 6749–6753. [Google Scholar] [CrossRef]
- Deirram, N.; Rahmat, A.R. Hydrolysis Degradation of Polycarbonate Using Different Co-solvent Under Microwave Irradiation. APCBEE Procedia 2012, 3, 172–176. [Google Scholar] [CrossRef]
- Siddiqui, M.N.; Achilias, D.S.; Redhwi, H.H.; Bikiaris, D.N.; Katsogiannis, K.-A.G.; Karayannidis, G.P. Hydrolytic Depolymerization of PET in a Microwave Reactor. Macromol. Mater. Eng 2010, 295, 575–584. [Google Scholar] [CrossRef]
- Barclay, L.R.C.; Vinqvist, M.R.; Mukai, K.; Goto, H.; Hashimoto, Y.; Tokunaga, A.; Uno, H. On the Antioxidant Mechanism of Curcumin: Classical Methods Are Needed To Determine Antioxidant Mechanism and Activity. Org. Lett. 2000, 2, 2841–2843. [Google Scholar] [CrossRef] [PubMed]
- Almeida, S.; Raposo, A.; Almeida-González, M.; Carrascosa, C. Bisphenol A: Food Exposure and Impact on Human Health. Compr. Rev. Food Sci. Food Saf. 2018, 17, 1503–1517. [Google Scholar] [CrossRef]
- The European Commission Directive 2011/8/EU Amending Directive 2002/72/EC as Regards the Restriction of Use of Bisphenol A in Plastic Infant Feeding Bottles (Text with EEA Relevance); Official Journal of the European Union: Brussels, Belgium, 28 January 2011.
- Kim, J.G. Chemical recycling of poly(bisphenol A carbonate). Polym. Chem. 2020, 11, 4830–4849. [Google Scholar] [CrossRef]
- Iannone, F.; Casiello, M.; Monopoli, A.; Cotugno, P.; Sportelli, M.C.; Picca, R.A.; Cioffi, N.; Dell’Anna, M.M.; Nacci, A. Ionic liquids/ZnO nanoparticles as recyclable catalyst for polycarbonate depolymerization. J. Mol. Catal. A Chem. 2017, 426, 107–116. [Google Scholar] [CrossRef]
- Matsumi, N.; Nakamura, N.; Aoi, K. Novel Bio-Based Polyesters Derived from Curcumin as an Inherent Natural Diol Monomer. Polym. J. 2008, 40, 400–401. [Google Scholar] [CrossRef]
- De Leo, V.; Milano, F.; Mancini, E.; Comparelli, R.; Giotta, L.; Nacci, A.; Longobardi, F.; Garbetta, A.; Agostiano, A.; Catucci, L. Encapsulation of Curcumin-Loaded Liposomes for Colonic Drug Delivery in a pH-Responsive Polymer Cluster Using a pH-Driven and Organic Solvent-Free Process. Molecules 2018, 23, 739. [Google Scholar] [CrossRef] [PubMed]
- De Leo, V.; Di Gioia, S.; Milano, F.; Fini, P.; Comparelli, R.; Mancini, E.; Agostiano, A.; Conese, M.; Catucci, L. Eudragit S100 Entrapped Liposome for Curcumin Delivery: Anti-Oxidative Effect in Caco-2 Cells. Coatings 2020, 10, 114. [Google Scholar] [CrossRef]
- De Leo, V.; Mattioli-Belmonte, M.; Cimmarusti, M.T.; Panniello, A.; Dicarlo, M.; Milano, F.; Agostiano, A.; De Giglio, E.; Catucci, L. Liposome-modified titanium surface: A strategy to locally deliver bioactive molecules. Colloids Surf. B Biointerfaces 2017, 158, 387–396. [Google Scholar] [CrossRef] [PubMed]
- He, Y.; Liu, H.; Bian, W.; Liu, Y.; Liu, X.; Ma, S.; Zheng, X.; Du, Z.; Zhang, K.; Ouyang, D. Molecular Interactions for the Curcumin-Polymer Complex with Enhanced Anti-Inflammatory Effects. Pharmaceutics 2019, 11, 442. [Google Scholar] [CrossRef] [PubMed]
- Mahmood, K.; Zia, K.M.; Aftab, W.; Zuber, M.; Tabasum, S.; Noreen, A.; Zia, F. Synthesis and characterization of chitin/curcumin blended polyurethane elastomers. Int. J. Biol. Macromol. 2018, 113, 150–158. [Google Scholar] [CrossRef]
- Dodangeh, M.; Gharanjig, K.; Tang, R.-C.; Grabchev, I. Functionalization of PAMAM dendrimers with curcumin: Synthesis, characterization, fluorescent improvement and application on PET polymer. Dyes Pigm. 2020, 174, 108081. [Google Scholar] [CrossRef]
- Pan, R.; Zeng, Y.; Liu, G.; Wei, Y.; Xu, Y.; Tao, L. Curcumin-polymer conjugates with dynamic boronic acid ester linkages for selective killing of cancer cells. Polym. Chem. 2020, 11, 1321–1326. [Google Scholar] [CrossRef]
- Mishra, A.; Daswal, S. Curcumin, A Novel Natural Photoinitiator for the Copolymerization of Styrene and Methylmethacrylate. J. Macromol. Sci. Part A 2005, 42, 1667–1678. [Google Scholar] [CrossRef]
- Zhao, J.; Lalevée, J.; Lu, H.; MacQueen, R.W.; Kable, S.H.; Schmidt, T.W.; Stenzel, M.H.; Xiao, P. A new role of curcumin: As a multicolor photoinitiator for polymer fabrication under household UV to red LED bulbs. Polym. Chem. 2015, 6, 5053–5061. [Google Scholar] [CrossRef]
- Mukherjee, I.; Drake, K.; Berke-Schlessel, D.; Lelkes, P.I.; Yeh, J.-M.; Wei, Y. Novel Thermally Cross-Linkable Poly[(arylenedioxy)(diorganylsilylene)]s Based on Curcumin: Synthesis and Characterization. Macromolecules 2010, 43, 3277–3285. [Google Scholar] [CrossRef]
- Oprea, S.; Potolinca, V.O.; Oprea, V. Synthesis and characterization of novel polyurethane elastomers that include curcumin with various cross-linked structures. J. Polym. Res. 2020, 27, 60. [Google Scholar] [CrossRef]
- Caló, V.; Nacci, A.; Monopoli, A.; Damascelli, A.; Ieva, E.; Cioffi, N. Palladium-nanoparticles catalyzed hydrodehalogenation of aryl chlorides in ionic liquids. J. Organomet. Chem. 2007, 692, 4397–4401. [Google Scholar] [CrossRef]
- Hersh, S.N.; Choi, K.Y. Melt transesterification of diphenyl carbonate with bisphenol a in a batch reactor. J. Appl. Polym. Sci. 1990, 41, 1033–1046. [Google Scholar] [CrossRef]
- Wagner, C.E.; Marshall, P.A.; Cahill, T.M.; Mohamed, Z. Visually Following the Hydrogenation of Curcumin to Tetrahydrocurcumin in a Natural Product Experiment That Enhances Student Understanding of NMR Spectroscopy. J. Chem. Educ. 2013, 90, 930–933. [Google Scholar] [CrossRef]
- Zambonin, C.G.; Calvano, C.D.; D’Accolti, L.; Palmisano, F. Laser desorption/ionization time-of-flight mass spectrometry of squalene in oil samples. Rapid Commun. Mass Spectrom. 2005, 20, 325–327. [Google Scholar] [CrossRef]
- Hassaninasab, A.; Hashimoto, Y.; Tomita-Yokotani, K.; Kobayashi, M. Discovery of the curcumin metabolic pathway involving a unique enzyme in an intestinal microorganism. Proc. Natl. Acad. Sci. USA 2011, 108, 6615–6620. [Google Scholar] [CrossRef]
- Kraus, R.G.; Emmons, E.D.; Thompson, J.S.; Covington, A.M. Infrared absorption spectroscopy of polycarbonate at high pressure. J. Polym. Sci. Part B Polym. Phys. 2008, 46, 734–742. [Google Scholar] [CrossRef]
- Shrivastava, A. Polymerization. In Introduction to Plastics Engineering; Shrivastava, A., Ed.; William Andrew: Norwich, NY, USA, 2018; pp. 17–48. [Google Scholar]
- Sheu, W.-S. Molecular Weight Averages and Polydispersity of Polymers. J. Chem. Educ. 2001, 78, 554. [Google Scholar] [CrossRef]
- Roy, S.; Rhim, J.-W. Carboxymethyl cellulose-based antioxidant and antimicrobial active packaging film incorporated with curcumin and zinc oxide. Int. J. Biol. Macromol. 2020, 148, 666–676. [Google Scholar] [CrossRef]
- Tátraaljai, D.; Kirschweng, B.; Kovács, J.; Földes, E.; Pukánszky, B. Processing stabilisation of PE with a natural antioxidant, curcumin. Eur. Polym. J. 2013, 49, 1196–1203. [Google Scholar] [CrossRef]
- Sienkiewicz, N.; Członka, S.; Kairyte, A.; Vaitkus, S. Curcumin as a natural compound in the synthesis of rigid polyurethane foams with enhanced mechanical, antibacterial and anti-ageing properties. Polym. Test. 2019, 79, 106046. [Google Scholar] [CrossRef]
- Shah, S.A.A.; Imran, M.; Lian, Q.; Shehzad, F.K.; Athir, N.; Zhang, J.; Cheng, J. Curcumin incorporated polyurethane urea elastomers with tunable thermo-mechanical properties. React. Funct. Polym. 2018, 128, 97–103. [Google Scholar] [CrossRef]










| Frequency (cm−1) | Attributions |
|---|---|
| 3600–3100 | O–H stretching |
| 3000–3100 | Aromatic C–H stretching |
| 2975–2845 | Symmetric and asymmetric aliphatic stretching |
| 1777 | C=O carbonate stretching |
| 1629 | C=O ketone stretching |
| 1510 | Bending C=C–H; aromatic bending C–C |
| Frequency (cm−1) | Attributions |
|---|---|
| 3600–3100 | O–H stretching |
| 3000–3100 | Aromatic C–H stretching |
| 2975–2845 | Symmetric and asymmetric aliphatic stretching |
| 1754 | C=O carbonate stretching |
| 1695 | C=O ketone stretching |
| 1510 | Bending C=C–H; aromatic bending C–C |
| Polymer | Yield (%) | Mw (g mol−1) | Mn (g mol−1) | Ð |
|---|---|---|---|---|
| THCM-PC | 82 | 1218 | 764 | 1.59 |
| CM-PC | 78 | 1019 | 673 | 1.51 |
| BPA-PC | 86 | 679 | 572 | 1.19 |
Publisher’s Note: MDPI stays neutral with regard to jurisdictional claims in published maps and institutional affiliations. |
© 2021 by the authors. Licensee MDPI, Basel, Switzerland. This article is an open access article distributed under the terms and conditions of the Creative Commons Attribution (CC BY) license (http://creativecommons.org/licenses/by/4.0/).
Share and Cite
De Leo, V.; Casiello, M.; Deluca, G.; Cotugno, P.; Catucci, L.; Nacci, A.; Fusco, C.; D’Accolti, L. Concerning Synthesis of New Biobased Polycarbonates with Curcumin in Replacement of Bisphenol A and Recycled Diphenyl Carbonate as Example of Circular Economy. Polymers 2021, 13, 361. https://doi.org/10.3390/polym13030361
De Leo V, Casiello M, Deluca G, Cotugno P, Catucci L, Nacci A, Fusco C, D’Accolti L. Concerning Synthesis of New Biobased Polycarbonates with Curcumin in Replacement of Bisphenol A and Recycled Diphenyl Carbonate as Example of Circular Economy. Polymers. 2021; 13(3):361. https://doi.org/10.3390/polym13030361
Chicago/Turabian StyleDe Leo, Vincenzo, Michele Casiello, Giuseppe Deluca, Pietro Cotugno, Lucia Catucci, Angelo Nacci, Caterina Fusco, and Lucia D’Accolti. 2021. "Concerning Synthesis of New Biobased Polycarbonates with Curcumin in Replacement of Bisphenol A and Recycled Diphenyl Carbonate as Example of Circular Economy" Polymers 13, no. 3: 361. https://doi.org/10.3390/polym13030361
APA StyleDe Leo, V., Casiello, M., Deluca, G., Cotugno, P., Catucci, L., Nacci, A., Fusco, C., & D’Accolti, L. (2021). Concerning Synthesis of New Biobased Polycarbonates with Curcumin in Replacement of Bisphenol A and Recycled Diphenyl Carbonate as Example of Circular Economy. Polymers, 13(3), 361. https://doi.org/10.3390/polym13030361

