Suberinic Acids as a Potential Feedstock for Polyol Synthesis: Separation and Characterization
Abstract
:1. Introduction
2. Materials and Methods
2.1. Raw Material—Birch Outer Bark
2.2. Other Materials and Chemicals
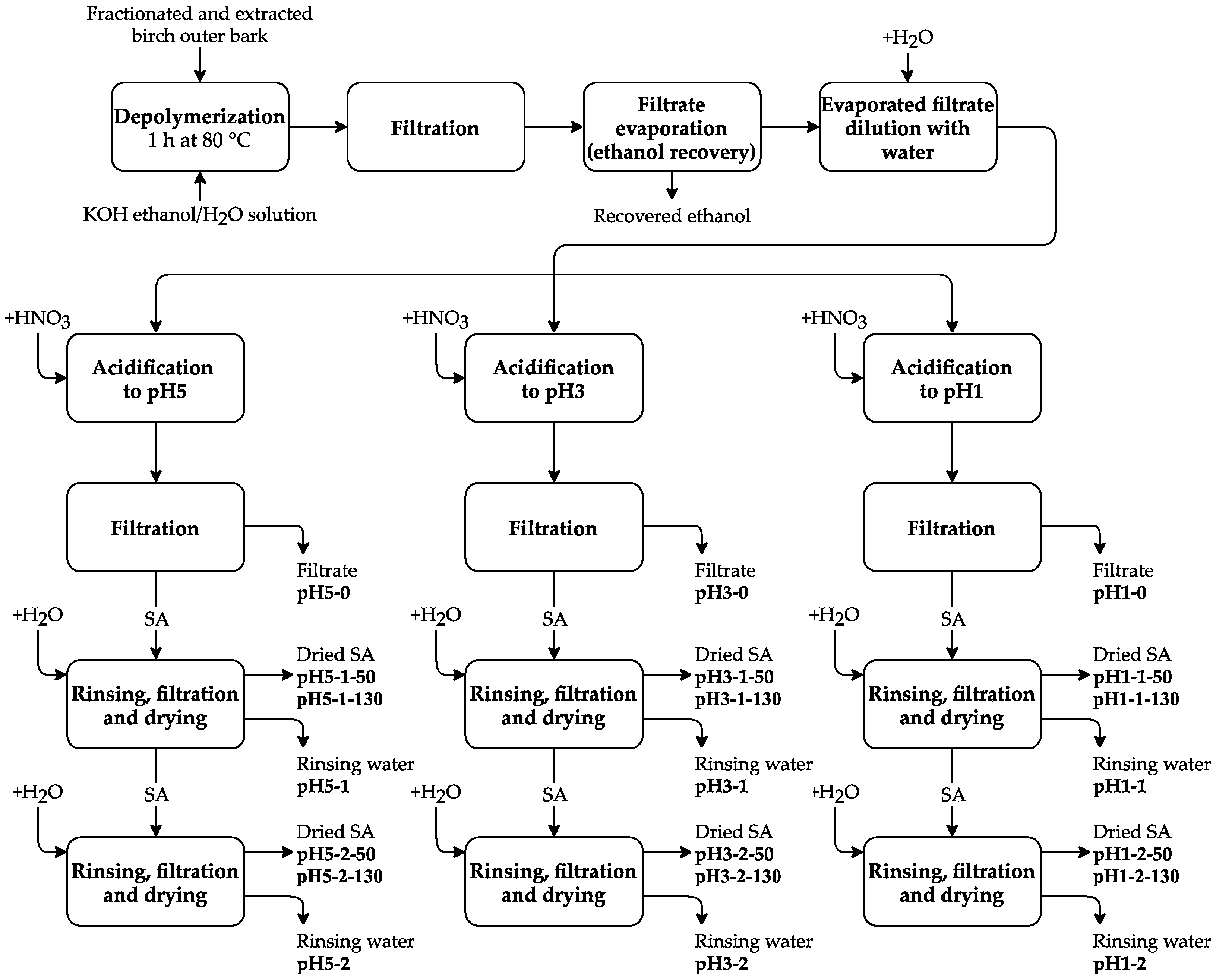
2.3. Preparation of SA
2.4. Characterization of SA and Rinsing Water
2.4.1. The Total Phenolics Content (TPC) in Rinsing Water and SA Samples
- A—absorption, au;
- a, b—coefficients of gallic acid calibration curve; and
- DF—dilution factor.
2.4.2. Acid Number
2.4.3. Epoxy Groups
2.4.4. Saponification Number
2.4.5. Hydroxyl Number
2.4.6. Gas Chromatography-Mass Spectrometry (GC-MS) Analysis
2.4.7. Size-Exclusion Chromatography with Refractive Index Detector (SEC-RID) Analysis
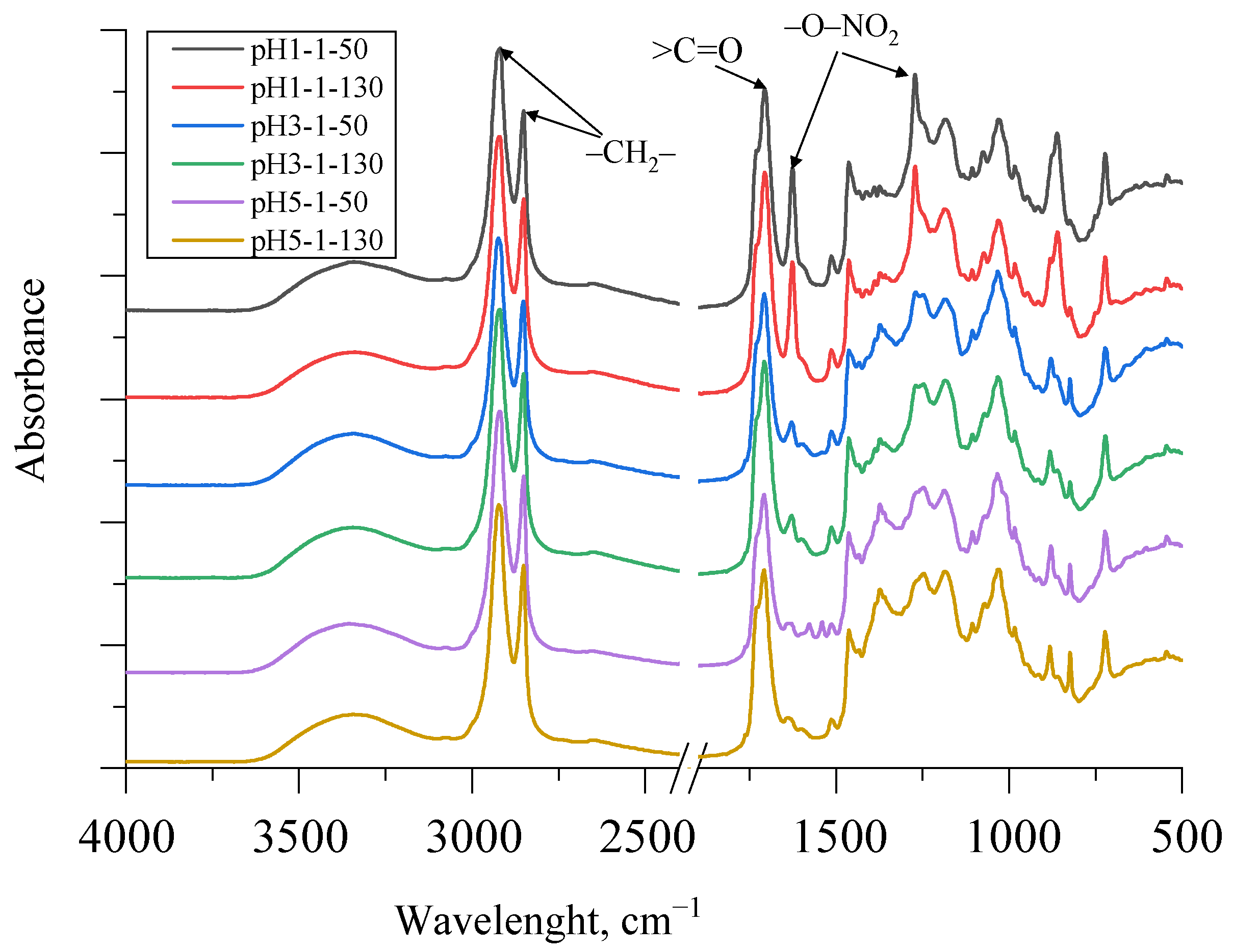
2.4.8. Differential Scanning Calorimetry (DSC) and Fourier Transform Infrared (FTIR) Analysis
2.4.9. Determination of Hexoses in SA Rinsing Water Samples
2.5. Preparation of Polyols and Their Characterization
3. Results and Discussion
3.1. Preparation of SA
3.2. Chemical Characterization of SA Samples
3.2.1. Chemical Properties of SA Samples
3.2.2. Instrumental Analysis of SA Samples
3.3. Preparation and Characerization of Bio-Polyols
4. Conclusions
Author Contributions
Funding
Institutional Review Board Statement
Informed Consent Statement
Data Availability Statement
Conflicts of Interest
References
- Fridrihsone, A. Life Cycle Assessment of Polyol Monomers for Polyurethane. Ph.D. Thesis, Riga Technical University, Riga, Latvia, 2020. [Google Scholar]
- Research and Markets. Polyols Market Size, Share & Trends Analysis Report By Product (Polyether, Polyester), By Application (Flexible Foam, Rigid Foam, Coatings, Adhesives & Sealants), And Segment Forecasts, 2018–2025; Research and Markets: Dublin, Ireland, 2018. [Google Scholar]
- Montero de Espinosa, L.; Meier, M.A.R. Plant oils: The perfect renewable resource for polymer science?! Eur. Polym. J. 2011, 47, 837–852. [Google Scholar] [CrossRef] [Green Version]
- Hagström, A.E.V.; Törnvall, U.; Nordblad, M.; Hatti-Kaul, R.; Woodley, J.M. Chemo-enzymatic epoxidation-process options for improving biocatalytic productivity. Biotechnol. Prog. 2011, 27, 67–76. [Google Scholar] [CrossRef] [PubMed]
- Cordeiro, N.; Belgacem, M.N.; Gandini, A.; Neto, C.P. Urethanes and polyurethanes from suberin: 1. Kinetic study. Ind. Crop. Prod. 1997, 6, 163–167. [Google Scholar] [CrossRef]
- Cordeiro, N.; Belgacem, M.N.; Gandini, A.; Pascoal Neto, C. Urethanes and polyurethanes from suberin 2: Synthesis and characterization. Ind. Crop. Prod. 1999, 10, 1–10. [Google Scholar] [CrossRef]
- Gandini, A.; Pascoal Neto, C.; Silvestre, A.J.D. Suberin: A promising renewable resource for novel macromolecular materials. Prog. Polym. Sci. 2006, 31, 878–892. [Google Scholar] [CrossRef]
- Ferreira, R.; Garcia, H.; Sousa, A.F.; Freire, C.S.R.; Silvestre, A.J.D.; Rebelo, L.P.N.; Silva Pereira, C. Isolation of suberin from birch outer bark and cork using ionic liquids: A new source of macromonomers. Ind. Crop. Prod. 2013, 44, 520–527. [Google Scholar] [CrossRef]
- Rizhikovs, J.; Zandersons, J.; Dobele, G.; Paze, A. Isolation of triterpene-rich extracts from outer birch bark by hot water and alkaline pre-treatment or the appropriate choice of solvents. Ind. Crop. Prod. 2015, 76, 209–214. [Google Scholar] [CrossRef]
- Tupciauskas, R.; Rizhikovs, J.; Grinins, J.; Paze, A.; Andzs, M.; Brazdausks, P.; Puke, M.; Plavniece, A. Investigation of suberinic acids-bonded particleboard. Eur. Polym. J. 2019, 113, 176–182. [Google Scholar] [CrossRef]
- Pinto, P.C.R.O.; Sousa, A.F.; Silvestre, A.J.D.; Neto, C.P.; Gandini, A.; Eckerman, C.; Holmbom, B. Quercus suber and Betula pendula outer barks as renewable sources of oleochemicals: A comparative study. Ind. Crop. Prod. 2009, 29, 126–132. [Google Scholar] [CrossRef] [Green Version]
- Godiņa, D.; Paze, A.; Rizhikovs, J.; Stankus, K.; Virsis, I.; Nakurte, I. Stability Studies of Bioactive Compounds from Birch Outer Bark Ethanolic Extracts. Key Eng. Mater. 2018, 762, 152–157. [Google Scholar] [CrossRef]
- Luo, C.; Grigsby, W.; Edmonds, N.; Easteal, A.; Al-Hakkak, J. Synthesis, characterization, and thermal behaviors of tannin stearates prepared from quebracho and pine bark extracts. J. Appl. Polym. Sci. 2010, 117, 352–360. [Google Scholar] [CrossRef]
- Shiqian, W.; Xiaozhou, S.; Yafang, L.; Mingqiang, Z. Characterizations and properties of torrefied Quercus variabilis cork. Wood Res. 2018, 63, 947–957. [Google Scholar]
- Rizhikovs, J.; Brazdausks, P.; Paze, A.; Tupciauskas, R.; Grinins, J.; Puke, M.; Plavniece, A.; Andzs, M.; Godina, D.; Makars, R. Characterization of suberinic acids from birch outer bark as bio-based adhesive in wood composites. Int. J. Adhes. Adhes. 2022, 112, 102989. [Google Scholar] [CrossRef]








| Sample 1 | Total Solids, % | TPC, % | Hexoses, % |
|---|---|---|---|
| pH1-0 | 29.2 ± 0.8 | 0.21 ± 0.09 | 3.41 ± 0.23 |
| pH1-1 | 2.6 ± 0.2 | 0.04 ± 0.01 | 0.22 ± 0.04 |
| pH1-2 | 1.5 ± 0.2 | 0.05 ± 0.01 | 0.15 ± 0.01 |
| pH3-0 | 25.3 ± 0.5 | 0.22 ± 0.08 | 1.96 ± 0.27 |
| pH3-1 | 2.1 ± 0.3 | 0.04 ± 0.01 | 0.15 ± 0.02 |
| pH3-2 | 3.1 ± 0.2 | 0.10 ± 0.02 | 0.16 ± 0.03 |
| pH5-0 | 25.8 ± 0.6 | 0.49 ± 0.21 | 1.84 ± 0.12 |
| pH5-1 | 2.9 ± 0.3 | 0.08 ± 0.01 | 0.19 ± 0.06 |
| pH5-2 | 2.4 ± 0.2 | 0.10 ± 0.01 | 0.21 ± 0.04 |
| Sample 1 | TPC, % | Acid Number, mmol/g | Epoxy Groups, mmol/g | Saponification Number, mmol/g | Hydroxyl Number, mmol/g | Dry Matter, % | Yield 2, % |
|---|---|---|---|---|---|---|---|
| pH1-1-50 | 4.00 ± 0.40 | 1.76 ± 0.12 | 0.36 ± 0.01 | 3.52 ± 0.04 | 3.90 ± 0.03 | 36.6 | 35.3 |
| pH1-1-130 | 3.81 ± 0.09 | 1.56 ± 0.03 | 0.26 ± 0.05 | 2.85 ± 0.07 | 3.64 ± 0.01 | ||
| pH1-2-50 | 3.57 ± 0.14 | 1.84 ± 0.13 | 0.08 ± 0.02 | 3.65 ± 0.04 | 4.09 ± 0.06 | 36.9 | 35.6 |
| pH1-2-130 | 3.90 ± 0.30 | 1.70 ± 0.02 | 0.07 ± 0.02 | 3.72 ± 0.12 | 3.96 ± 0.04 | ||
| pH3-1-50 | 3.07 ± 0.08 | 1.78 ± 0.14 | 0.15 ± 0.01 | 2.83 ± 0.12 | 4.08 ± 0.03 | 27.7 | 39.0 |
| pH3-1-130 | 3.00 ± 0.30 | 1.45 ± 0.04 | 0.46 ± 0.01 | 2.85 ± 0.07 | 3.90 ± 0.06 | ||
| pH3-2-50 | 2.99 ± 0.19 | 1.44 ± 0.06 | 0.44 ± 0.03 | 2.90 ± 0.02 | 4.30 ± 0.04 | 27.5 | 38.7 |
| pH3-2-130 | 2.18 ± 0.15 | 1.59 ± 0.05 | 0.13 ± 0.02 | 2.65 ± 0.03 | 4.00 ± 0.03 | ||
| pH5-1-50 | 3.00 ± 0.04 | 1.46 ± 0.11 | 0.39 ± 0.03 | 2.87 ± 0.05 | 4.43 ± 0.04 | 26.5 | 38.9 |
| pH5-1-130 | 2.19 ± 0.10 | 1.44 ± 0.02 | 0.34 ± 0.04 | 2.78 ± 0.07 | 3.97 ± 0.06 | ||
| pH5-2-50 | 2.80 ± 0.09 | 1.90 ± 0.13 | 0.72 ± 0.01 | 2.54 ± 0.04 | 4.43 ± 0.05 | 26.1 | 38.2 |
| pH5-2-130 | 2.29 ± 0.11 | 1.43 ± 0.05 | 0.24 ± 0.01 | 2.37 ± 0.03 | 4.64 ± 0.04 |
| Identification | pH1-1-50 | pH1-1-130 | pH3-1-50 | pH3-1-130 | pH5-1-50 | pH5-1-130 | ||||||
|---|---|---|---|---|---|---|---|---|---|---|---|---|
| Met. 1 | Met. 2 | Met. 1 | Met. 2 | Met. 1 | Met. 2 | Met. 1 | Met. 2 | Met. 1 | Met. 2 | Met. 1 | Met. 2 | |
| Alkan-1-ols (total) | - | 0.04 | 0.67 | 0.01 | - | 0.06 | - | - | - | 0.01 | - | - |
| 2-undecen-1-ol | - | 0.04 | 0.67 | 0.01 | - | 0.06 | - | - | - | 0.01 | - | - |
| Alkanoic acid (total) | 12.38 | - | 8.80 | 5.02 | - | - | 14.85 | - | - | - | 16.12 | - |
| Octanoic acid | 4.22 | - | - | - | - | - | - | - | - | - | - | - |
| 5,8,11-eicosatryiynoic acid | - | - | - | 0.11 | - | - | - | - | - | - | - | - |
| 9,12-octadecadienoic acid | 8.16 | - | 8.80 | 4.91 | - | - | 14.85 | - | - | - | 16.12 | - |
| Hydroxy acids (total) | 29.16 | 89.86 | 45.54 | 92.75 | 38.14 | 92.54 | 34.22 | 89.13 | 32.87 | 95.75 | 29.77 | 75.86 |
| 2-hydroxydecanedioic acid | 21.28 | 89.86 | 37.03 | 92.74 | 24.77 | 92.54 | 24.01 | 89.13 | 22.57 | 95.75 | 20.83 | 75.86 |
| 3-hydroxyhexadecanoic acid | 0.63 | - | 0.33 | - | 0.47 | - | 0.44 | - | 0.43 | - | 0.33 | - |
| 20-hydroxyicosanoic acid | 2.55 | - | 1.91 | - | 3.15 | - | 2.27 | - | 2.56 | - | 2.31 | - |
| 22-hydroxydocosanoic acid | 4.7 | - | 6.27 | 0.01 | 9.75 | - | 7.50 | - | 7.31 | - | 6.30 | - |
| Diacids (total) | 10.48 | 5.67 | 9.66 | 4.91 | 17.67 | 4.79 | 6.96 | 4.79 | 23.27 | 3.16 | 5.00 | 6.56 |
| Octanedioic acid | 1.18 | - | - | - | - | - | - | - | - | - | - | - |
| Nonanedioic acid | - | - | - | - | 0.31 | - | - | - | - | - | - | - |
| Pentanedioic acid | 5.42 | - | 6.66 | - | - | - | 3.59 | - | 1.40 | - | 0.94 | - |
| Hexadecanedioic acid | 1.44 | 5.67 | 0.73 | - | - | 4.79 | 0.57 | 4.79 | 0.66 | 3.16 | 0.64 | 6.56 |
| Decanedioic acid | - | - | - | - | 13.10 | - | - | - | 18.13 | - | - | - |
| 10,12-ocosadiynedioic acid | 2.44 | - | 1.64 | - | 3.18 | - | 2.14 | - | 2.37 | - | 2.69 | - |
| Octadecanedioic acid | - | - | 0.63 | - | 1.08 | - | 0.66 | - | 0.71 | - | 0.73 | - |
| Aromatics (total) | 5.97 | - | 4.90 | - | 5.86 | - | 6.14 | - | 3.88 | 0.01 | 1.36 | - |
| Vanilic acid | 0.25 | - | - | - | - | - | - | - | - | - | - | - |
| Isoferulic acid | 4.83 | - | 4.90 | - | 4.39 | - | 5.04 | - | 3.88 | 0.01 | 1.36 | - |
| Oxyisoflavone | 0.89 | - | - | - | 1.47 | - | 1.10 | - | - | - | - | - |
| Extractives (total) | 39.47 | 4.44 | 31.21 | 2.22 | 32.31 | 4.23 | 36.75 | 6.07 | 38.77 | 1.08 | 46.2 | 17.58 |
| Allocholic acid | - | 0.21 | - | - | - | - | - | - | 1.34 | - | 1.11 | - |
| Lupeol | 3.52 | 4.23 | 2.96 | 2.22 | 2.57 | 4.23 | 2.64 | 6.07 | 2.19 | 1.08 | 2.03 | 17.58 |
| Betulin | 35.95 | - | 28.25 | - | 29.74 | - | 34.11 | - | 35.24 | - | 43.06 | - |
| Glycerol derivatives (total) | 0.83 | - | 0.52 | - | 1.37 | - | 1.09 | - | 1.20 | - | 1.11 | - |
| 2-oleoylglycerol | 0.83 | - | 0.52 | - | 1.37 | - | 1.09 | - | 1.20 | - | 1.11 | - |
| Others (total) | 1.73 | - | 0.62 | - | - | - | - | - | - | - | 0.43 | - |
| Terephthalic acid | 1.73 | - | 0.62 | - | - | - | - | - | - | - | 0.43 | - |
| A Peak in SEC-RID Chromatogram | Area, rel% from a Chromatogram | |||||||
|---|---|---|---|---|---|---|---|---|
| No. | tR, min | Mw, Da | pH1-130 | pH1-50 | pH3-130 | pH3-50 | pH5-130 | pH5-50 |
| 1 | <7.5 | >5500 | n | n | n | n | 0.1 | 0.2 |
| 2 | 7.6 | 4900 | 0.2 | n | 0.3 | 0.3 | 0.3 | 0.2 |
| 3 | 7.7 | 4200 | 0.4 | 0.5 | 0.8 | 0.8 | 1.1 | 1.0 |
| 4 | 7.8 | 3400 | 1.6 | 1.9 | 2.5 | 2.7 | 3.2 | 3.0 |
| 5 | 8.0 | 2700 | 5.4 | 5.9 | 6.9 | 7.3 | 7.5 | 8.2 |
| 6 | 8.2 | 1900 | 15 | 15 | 17 | 18 | 17 | 19 |
| 7 | >8.4 | <1300 | 77 | 77 | 72 | 71 | 71 | 68 |
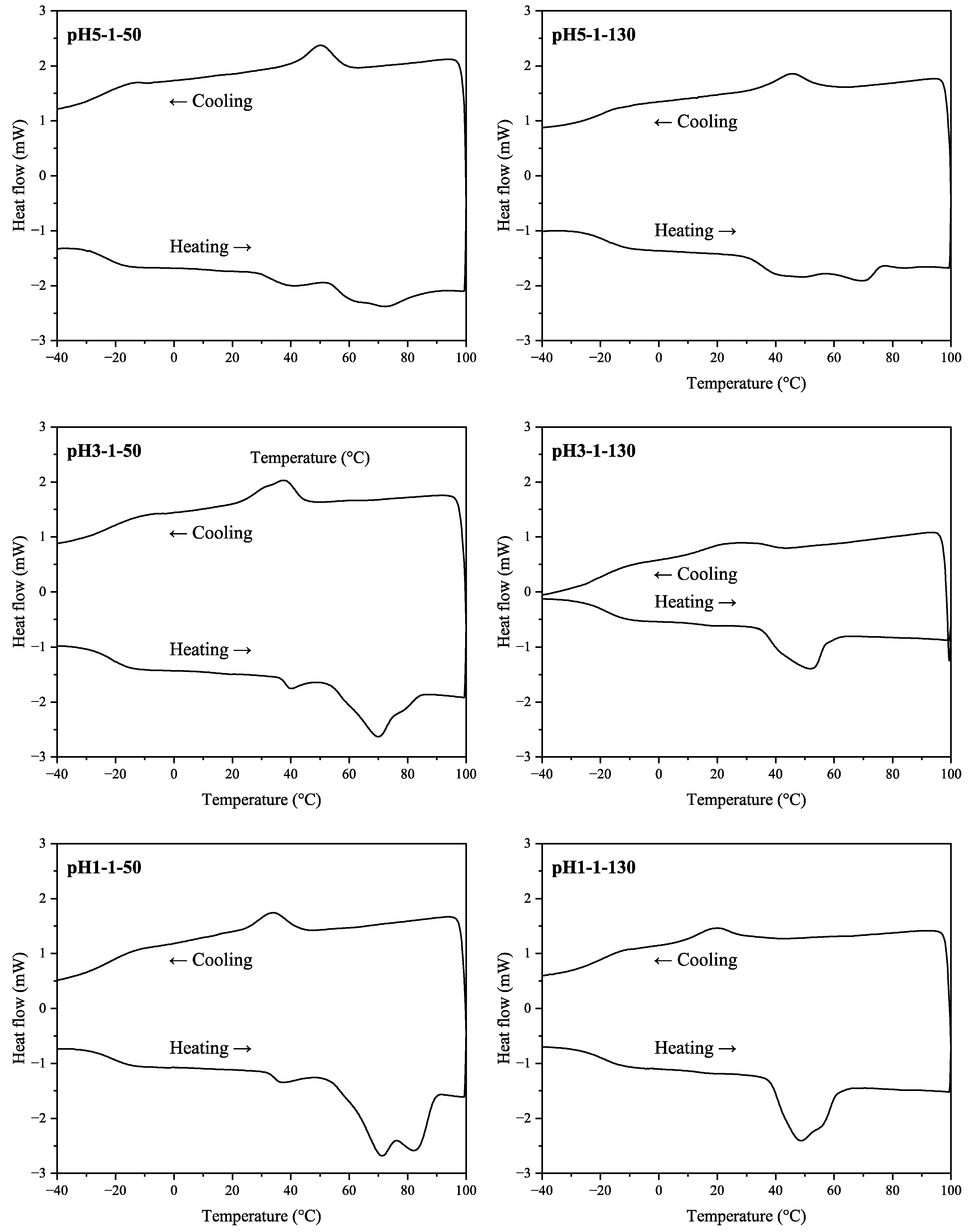
| Sample | Tg, °C | Tm1, °C | Tm2, °C | Tm3, °C | Tc, °C |
|---|---|---|---|---|---|
| pH5-1-50 | −22.4 | 39.6 | 61.2 | 73.2 | 50.2 |
| pH5-1-130 | −19.6 | 41.1 | 70.4 | - | 45.7 |
| pH3-1-50 | −22.7 | 39.8 | 69.8 | 79.2 | 37.7 |
| pH3-1-130 | −17.9 | 43.2 | 51.7 | - | 26.2 |
| pH1-1-50 | −22.1 | 36.8 | 71.1 | 82.2 | 34.4 |
| pH1-1-130 | −18.8 | 48.4 | 55.8 | - | 19.9 |
| Polyol | Acid Value, mg KOH/g | Hydroxyl Value, mg KOH/g | Apparent Viscosity at 25 °C (Shear Rate 50 s−1), mPa·s | Moisture, % |
|---|---|---|---|---|
| SA/DEG 1:1.00 | 26 ± 2 | 301 ± 3 | 82,560 | 0.455 ± 0.011 |
| SA/DEG 1:1.15 | 21 ± 2 | 333 ± 5 | 70,900 | 0.255 ± 0.016 |
| SA/DEG 1:2.30 | 12 ± 2 | 450 ± 5 | 42,330 | 0.145 ± 0.001 |
| SA/DEG 1:4.00 | 5 ± 1 | 596 ± 4 | 15,330 | 0.269 ± 0.013 |
Publisher’s Note: MDPI stays neutral with regard to jurisdictional claims in published maps and institutional affiliations. |
© 2021 by the authors. Licensee MDPI, Basel, Switzerland. This article is an open access article distributed under the terms and conditions of the Creative Commons Attribution (CC BY) license (https://creativecommons.org/licenses/by/4.0/).
Share and Cite
Rizikovs, J.; Godina, D.; Makars, R.; Paze, A.; Abolins, A.; Fridrihsone, A.; Meile, K.; Kirpluks, M. Suberinic Acids as a Potential Feedstock for Polyol Synthesis: Separation and Characterization. Polymers 2021, 13, 4380. https://doi.org/10.3390/polym13244380
Rizikovs J, Godina D, Makars R, Paze A, Abolins A, Fridrihsone A, Meile K, Kirpluks M. Suberinic Acids as a Potential Feedstock for Polyol Synthesis: Separation and Characterization. Polymers. 2021; 13(24):4380. https://doi.org/10.3390/polym13244380
Chicago/Turabian StyleRizikovs, Janis, Daniela Godina, Raimonds Makars, Aigars Paze, Arnis Abolins, Anda Fridrihsone, Kristine Meile, and Mikelis Kirpluks. 2021. "Suberinic Acids as a Potential Feedstock for Polyol Synthesis: Separation and Characterization" Polymers 13, no. 24: 4380. https://doi.org/10.3390/polym13244380
APA StyleRizikovs, J., Godina, D., Makars, R., Paze, A., Abolins, A., Fridrihsone, A., Meile, K., & Kirpluks, M. (2021). Suberinic Acids as a Potential Feedstock for Polyol Synthesis: Separation and Characterization. Polymers, 13(24), 4380. https://doi.org/10.3390/polym13244380

