Effect of Waste Polyethylene and Wax-Based Additives on Bitumen Performance
Abstract
:1. Introduction
2. Materials and Methods
3. Results and Discussion
3.1. Effect of Waxes on Neat Bitumen Response
3.2. Effect of Waxes on Polyethylene Modified Bitumen Response
3.3. High-Temperature Performance
4. Conclusions
- The mechanical response of NB and wax-modified binders are influenced by a forced aging effect caused by the volatilization of lightweight components and oxidation reactions triggered by the high-temperature treatment to which the binders are subjected to during the blending protocol. For comparative purposes, these effects are not negligible since the modulus of the binders, particularly at high temperatures, progressively increases during the mixing procedure.
- The addition of linear Fisher-Tropsch waxes to base asphalt has a drastic impact on the rheological properties. Within the range of temperatures investigated, the specific contributions to the overall behavior can be correlated to the wax’s chain length and opposite effects originate from the addition of short-chain and long-chain waxes. In fact, when LCW is added, the mechanical response is similar to those poorly polymer-modified binders in the entire range of temperature evaluated. On the contrary, SCW-modified bitumen experiences a sudden change of behavior for temperatures above 50 °C, when the SCW starts melting and softening the bitumen.
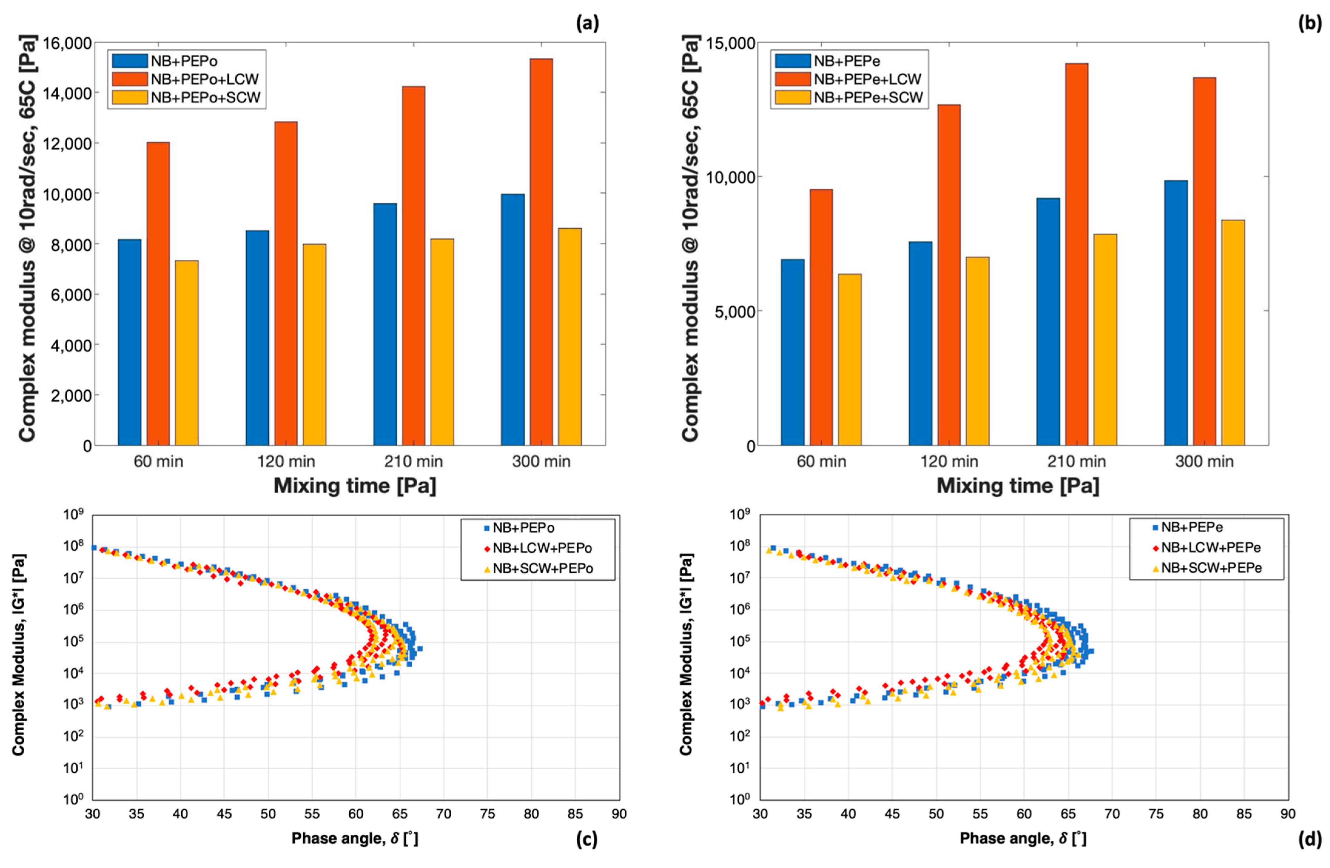
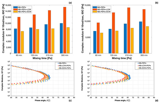
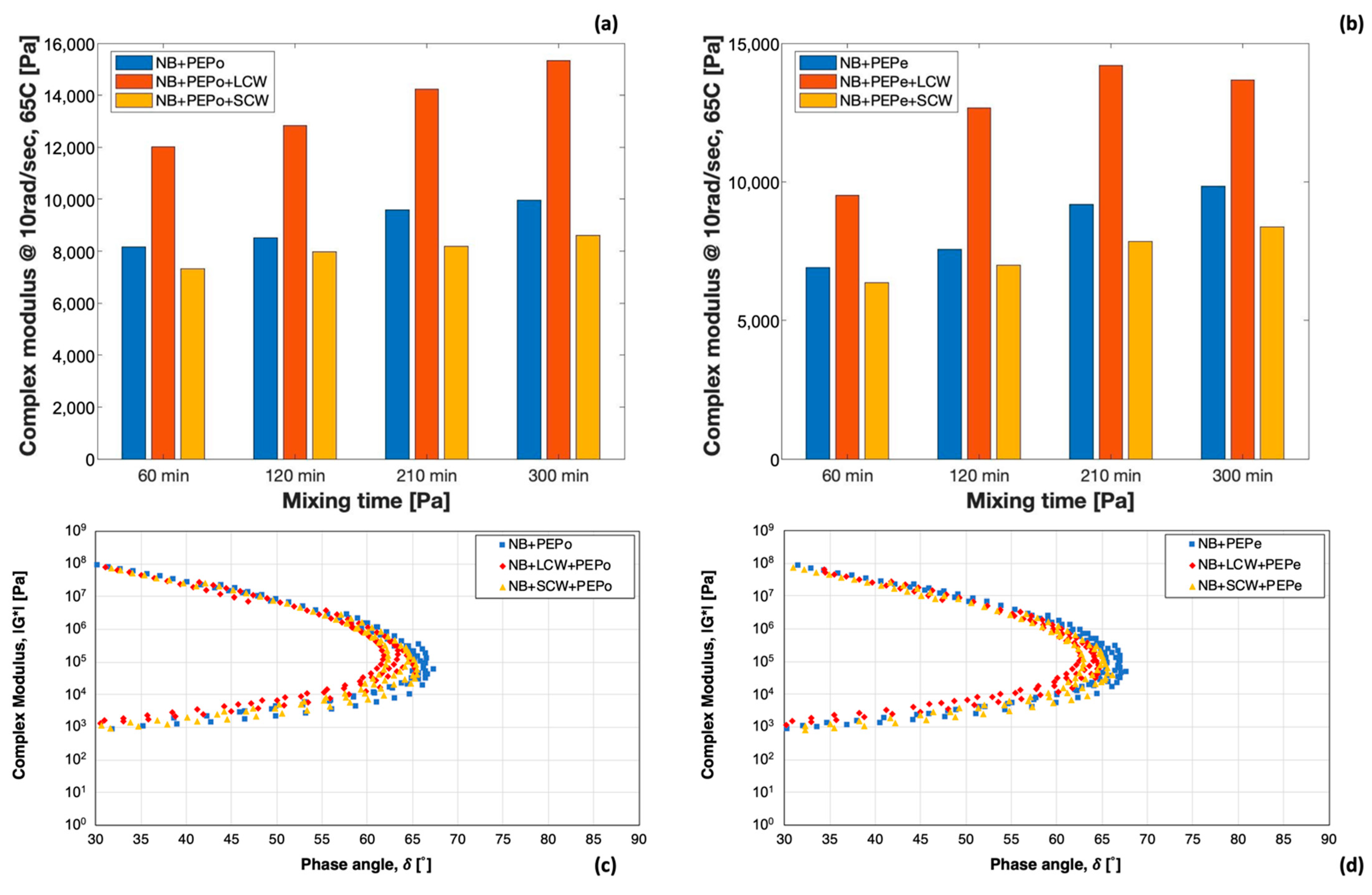
- The modulus at high temperature of all PEMBs, regardless of the form of the waste polyethylene added, increases with blending time too. However, in contrast to the NB only and binders containing sole wax, such an event is not exclusively related to the forced aging effect, but also to the formation of a polymeric sponge-like network within the bitumen matrix.
- Both linear viscoelastic evaluation and rutting characterization through MSCR tests indicated that the use of SCW is discouraged for those environments characterized by high air temperatures and/or high traffic volumes. If rutting is expected to be the leading distress, the use of LCW is instead suggested.
- Despite the polymer form, the addition of SCW provides a detrimental impact on the rheological properties and performance of PEMBs. On the contrary, the presence of the LCW enhances both the complex modulus and the resistance to permanent deformation.
Author Contributions
Funding
Institutional Review Board Statement
Informed Consent Statement
Data Availability Statement
Acknowledgments
Conflicts of Interest
References
- Rubio, M.C.; Martínez, G.; Baena, L.; Moreno, F. Warm Mix Asphalt: An overview. J. Clean. Prod. 2012, 24, 76–84. [Google Scholar] [CrossRef]
- Mazumder, M.; Kim, H.; Lee, S.J. Performance properties of polymer modified asphalt binders containing wax additives. Int. J. Pavement Res. Technol. 2016, 9, 128–139. [Google Scholar] [CrossRef] [Green Version]
- Farina, A.; Zanetti, M.C.; Santagata, E.; Blengini, G. Life cycle assessment applied to bituminous mixtures containing recycled materials: Crumb rubber and reclaimed asphalt pavement. Resour. Conserv. Recycl. 2017, 117, 204–212. [Google Scholar] [CrossRef]
- Zanetti, M.C.; Santagata, E.; Fiore, S.; Ruffino, B.; Dalmazzo, D.; Lanotte, M. Evaluation of potential gaseous emissions of asphalt rubber bituminous mixtures. Proposal of a new laboratory test procedure. Constr. Build. Mater. 2016, 113, 870–879. [Google Scholar] [CrossRef]
- Zanetti, M.C.; Fiore, S.; Ruffino, B.; Santagata, E.; Lanotte, M. Assessment of gaseous emissions produced on site by bituminous mixtures containing crumb rubber. Constr. Build. Mater. 2014, 67, 291–296. [Google Scholar] [CrossRef]
- Edwards, Y.; Tasdemir, Y.; Butt, A.A. Energy saving and environmental friendly wax concept for polymer modified mastic asphalt. Mater. Struct. Constr. 2010, 43, 123–131. [Google Scholar] [CrossRef]
- Diab, A.; Sangiorgi, C.; Ghabchi, R.; Zaman, M.; Wahaballa, A.M. Warm Mix Asphalt (WMA) technologies: Benefits and drawbacks—A literature review. In Functional Pavement Design; CRC Press: Boca Raton, FL, USA, 2016; pp. 1145–1154. ISBN 9781315643274. [Google Scholar]
- Mirhosseini, A.F.; Kavussi, A.; Tahami, S.A.; Dessouky, S. Characterizing temperature performance of bio-modified binders containing RAP binder. J. Mater. Civil Eng. 2018, 30, 04018176. [Google Scholar] [CrossRef]
- Mohd Hasan, M.R.; You, Z. Ethanol based foamed asphalt as potential alternative for low emission asphalt technology. J. Traffic Transp. Eng. Engl. Ed. 2016, 3, 116–126. [Google Scholar] [CrossRef] [Green Version]
- Chowdhury, A.; Button, J.W. A Review of Warm Mix Asphalt; Report 473700-00080-1; Texas A&M Transportation Institute: College Station, TX, USA, 2008; Volume 7, p. 75. [Google Scholar]
- Behnood, A. A review of the warm mix asphalt (WMA) technologies: Effects on thermo-mechanical and rheological properties. J. Clean. Prod. 2020, 259, 120817. [Google Scholar] [CrossRef]
- Fazaeli, H.; Behbahani, H.; Amini, A.A.; Rahmani, J.; Yadollahi, G. High and low temperature properties of FT-paraffin-modified bitumen. Adv. Mater. Sci. Eng. 2012, 2012, 406791. [Google Scholar] [CrossRef] [Green Version]
- Hurley, G.C.; Prowell, B.D. Evaluation of Sasobit for Use in Warm Mix Asphalt; NCAT Rep. 05-06; National Center for Asphalt Technology: Auburn, AL, USA, 2005; Volume 5, pp. 1–27. [Google Scholar]
- Huang, B.; Li, G.; Shu, X. Investigation into three-layered HMA mixtures. Compos. Part B Eng. 2006, 37, 679–690. [Google Scholar] [CrossRef]
- McNally, T. Polymer Modified Bitumen—Properties and Characterization; McNally, T., Ed.; Woodhead Publishing Limited: Sawston, UK, 2011; ISBN 9780857090485. [Google Scholar]
- Bonica, C.; Toraldo, E.; Andena, L.; Marano, C.; Mariani, E. The effects of fibers on the performance of bituminous mastics for road pavements. Compos. Part B Eng. 2016, 95, 76–81. [Google Scholar] [CrossRef] [Green Version]
- Brasileiro, L.; Moreno-Navarro, F.; Tauste-Martínez, R.; Matos, J.; Rubio-Gámez, M.d.C. Reclaimed polymers as asphalt binder modifiers for more sustainable roads: A review. Sustainability 2019, 11, 646. [Google Scholar] [CrossRef] [Green Version]
- Lu, X.; Isacsson, U. Modification of road bitumens with thermoplastic polymers. Polym. Test. 2000, 20, 77–86. [Google Scholar] [CrossRef]
- White, G.; Reid, G. Recycled waste plastic for extending and modifying asphat binders. In Proceedings of the 8th Symposium on Pavement Surface Characteristics: SURF 2018, Brisbane, Australia, 2–4 May 2018; pp. 1–13. [Google Scholar]
- Mo, L.; Li, X.; Fang, X.; Huurman, M.; Wu, S. Laboratory investigation of compaction characteristics and performance of warm mix asphalt containing chemical additives. Constr. Build. Mater. 2012, 37, 239–247. [Google Scholar] [CrossRef]
- Kök, B.V.; Yılmaz, M.; Akpolat, M. Effects of paraffin on low temperature properties of SBS modified binder. In Proceedings of the 6th Eurasphalt & Eurobitume Congress, Prague, Czech Republic, 1–3 June 2016. [Google Scholar]
- Fazaeli, H.; Amini, A.A.; Nejad, F.M.; Behbahani, H. Rheological properties of bitumen modified with a combination of FT paraffin wax (sasobit®) and other additives. J. Civ. Eng. Manag. 2016, 22, 135–145. [Google Scholar] [CrossRef]
- Cao, Z.; Chen, M.; Han, X.; Yu, J.; Wang, R.; Xu, X. Evaluation of viscosity-temperature characteristics and rheological properties of rejuvenated SBS modified bitumen with active warm additive. Constr. Build. Mater. 2020, 236, 117548. [Google Scholar] [CrossRef]
- Qin, Q.; Farrar, M.J.; Pauli, A.T.; Adams, J.J. Morphology, thermal analysis and rheology of Sasobit modified warm mix asphalt binders. Fuel 2014, 115, 416–425. [Google Scholar] [CrossRef]
- Rodríguez-Alloza, A.M.; Gallego, J.; Pérez, I.; Bonati, A.; Giuliani, F. High and low temperature properties of crumb rubber modified binders containing warm mix asphalt additives. Constr. Build. Mater. 2014, 53, 460–466. [Google Scholar] [CrossRef]
- Xiao, F.; Wenbin Zhao, P.E.; Amirkhanian, S.N. Fatigue behavior of rubberized asphalt concrete mixtures containing warm asphalt additives. Constr. Build. Mater. 2009, 23, 3144–3151. [Google Scholar] [CrossRef]
- Akisetty, C.K.; Lee, S.J.; Amirkhanian, S.N. High temperature properties of rubberized binders containing warm asphalt additives. Constr. Build. Mater. 2009, 23, 565–573. [Google Scholar] [CrossRef]
- Oliveira, J.R.M.; Silva, H.M.R.D.; Abreu, L.P.F.; Fernandes, S.R.M. Use of a warm mix asphalt additive to reduce the production temperatures and to improve the performance of asphalt rubber mixtures. J. Clean. Prod. 2013, 41, 15–22. [Google Scholar] [CrossRef]
- Nare, K.D.; Phiri, M.J.; Carson, J.; Woolard, C.D.; Hlangothi, S.P. Impact of Fischer-Tropsch Wax on Ethylene Vinyl Acetate/Waste Crumb Rubber Modified Bitumen: An Energy-Sustainability Nexus. Int. J. Chem. Mater. Eng. 2018, 12, 190–197. [Google Scholar]
- Wang, T.; Yang, R.; Li, A.; Chen, L.; Zhou, B. Effects of Sasobit and its adding process on the performance of rubber asphalt. Chem. Eng. Trans. 2016, 51, 181–186. [Google Scholar] [CrossRef]
- Santagata, E.; Lanotte, M.; Baglieri, O.; Dalmazzo, D.; Zanetti, M.C. Analysis of bitumen–crumb rubber affinity for the formulation of rubberized dry mixtures. Mater. Struct. Constr. 2016, 49, 1947–1954. [Google Scholar] [CrossRef]
- Farina, A.; Kutay, M.E.; Lanotte, M. Laboratory and field performance investigation of pre-swollen crumb rubber modified asphalt mixtures. Int. J. Pavement Res. Technol. 2021, 14, 513–518. [Google Scholar] [CrossRef]
- Seitllari, A.; Lanotte, M.; Kutay, M.E. Effect of aggregate selection and design gyrations on the performance of polymer and devulcanized rubber modified mixtures. Int. J. Pavement Res. Technol. 2021, 14, 54–62. [Google Scholar] [CrossRef]
- Hopewell, J.; Dvorak, R.; Kosior, E. Plastics recycling: Challenges and opportunities. Philos. Trans. R. Soc. B Biol. Sci. 2009, 364, 2115–2126. [Google Scholar] [CrossRef] [PubMed] [Green Version]
- Okunola, A.A.; Kehinde, I.O.; Oluwaseun, A.; Olufiropo, E.A. Public and Environmental Health Effects of Plastic Wastes Disposal: A Review. J. Toxicol. Risk Assess. 2019, 5, 1–13. [Google Scholar] [CrossRef]
- Hidayah, N. Syafrudin A Review on Landfill Management in the Utilization of Plastic Waste as an Alternative Fuel. E3S Web Conf. 2018, 31, 05013. [Google Scholar] [CrossRef] [Green Version]
- Desidery, L.; Lanotte, M. Variation of internal structure and performance of polyethylene- and polypropylene-modified bitumen during blending process. J. Appl. Polym. Sci. 2021, 138, 1–12. [Google Scholar] [CrossRef]
- Yu, R.; Zhu, X.; Zhang, M.; Fang, C. Investigation on the short-term aging-resistance of thermoplastic Polyurethane-modified asphalt binders. Polymers 2018, 10, 1189. [Google Scholar] [CrossRef] [PubMed] [Green Version]
- Hofko, B.; Cannone Falchetto, A.; Grenfell, J.; Huber, L.; Lu, X.; Porot, L.; Poulikakos, L.D.; You, Z. Effect of short-term ageing temperature on bitumen properties. Road Mater. Pavement Des. 2017, 18, 108–117. [Google Scholar] [CrossRef] [Green Version]
- Oelkers, C. The Versatile Additive for Asphalt Mixes—Sasobit. Sasol Chemicals, Wax Division n.d. 2017. Available online: https://www.sasobit.com/en/ (accessed on 10 August 2020).







Publisher’s Note: MDPI stays neutral with regard to jurisdictional claims in published maps and institutional affiliations. |
© 2021 by the authors. Licensee MDPI, Basel, Switzerland. This article is an open access article distributed under the terms and conditions of the Creative Commons Attribution (CC BY) license (https://creativecommons.org/licenses/by/4.0/).
Share and Cite
Desidery, L.; Lanotte, M. Effect of Waste Polyethylene and Wax-Based Additives on Bitumen Performance. Polymers 2021, 13, 3733. https://doi.org/10.3390/polym13213733
Desidery L, Lanotte M. Effect of Waste Polyethylene and Wax-Based Additives on Bitumen Performance. Polymers. 2021; 13(21):3733. https://doi.org/10.3390/polym13213733
Chicago/Turabian StyleDesidery, Luca, and Michele Lanotte. 2021. "Effect of Waste Polyethylene and Wax-Based Additives on Bitumen Performance" Polymers 13, no. 21: 3733. https://doi.org/10.3390/polym13213733
APA StyleDesidery, L., & Lanotte, M. (2021). Effect of Waste Polyethylene and Wax-Based Additives on Bitumen Performance. Polymers, 13(21), 3733. https://doi.org/10.3390/polym13213733

