Weathering Stability and Durability of Birch Plywood Modified with Different Molecular Weight Phenol-Formaldehyde Oligomers
Abstract
1. Introduction
2. Materials and Methods
2.1. Weathering Stability Test
2.1.1. PF Resin Synthesis
2.1.2. Resin Characterisation
2.1.3. Treatment of Veneer Material
- is the weight percentage gain [%];
- is the oven-dried mass of the modified wood specimens [g];
- is the oven dry mass of the unmodified wood specimens [g].
2.1.4. Plywood Production
2.1.5. Artificial Weathering Tests
2.1.6. Surface Colour Measurements
- , , is the value on coordinate axis for the specific parameter at the beginning;
- , , is value on coordinate axis for the specific parameter after weathering.
2.1.7. Outdoor Weathering and Fungal Tests
2.2. Unsterile Soil-Bed Test: Resistance against Soft-Rot Wood Decay
2.2.1. Soil Substrate
2.2.2. Determination of the Soil-Water Holding Capacity (WHCsoil)
- is the soil water-holding capacity [%];
- is the saturated soil mass [g];
- is the oven-dry soil mass [g].
2.2.3. Determination of the Soil Moisture Content (MCsoil)
- is the soil moisture content [%];
- is the wet soil mass [g];
- is the oven-dry soil mass [g].
2.2.4. Preparation of Soil Substrates to Reach Target Soil Moisture Content (MCsoil,target)
- is the mass of distilled water to add to the soil mixture [g];
- is the target soil moisture content [%];
- is the current moisture content of the soil mixture before adding any additional water [%];
- is the oven-dry mass of the total soil mixture [g].
2.2.5. Preparation and Exposure of Wood Specimens
- is the wood moisture content, [%];
- is the wood specimen’s mass after TMC exposure, [g];
- is the wood specimen’s oven-dry mass after TMC exposure, [g].
- is the wood specimen’s oven-dry mass loss [%];
- is the wood specimen’s oven-dry mass before TMC exposure [g];
- is the wood specimen’s oven-dry mass after TMC exposure [g].
- is the arithmetic mean of the oven-dry mass loss of the sample population;
- is the oven-dry mass loss (MLwood) of each individual wood specimen in the sample population;
- is the total number of wood specimens in the sample population.
- is the standard deviation of the sample population;
- is the oven-dry mass loss (MLwood) of each individual wood specimen in the sample population;
- the mean oven-dry wood mass loss (mean MLwood) of the sample population [g];
- is the total number of wood specimens in the sample population.
2.2.6. Calculation of x-Value towards Provisional Durability Rating
- is the x value used for interpretation in a provisional durability rating scale;
- is the oven-dry mass loss of the relevant wood specimen.
3. Results and Discussion
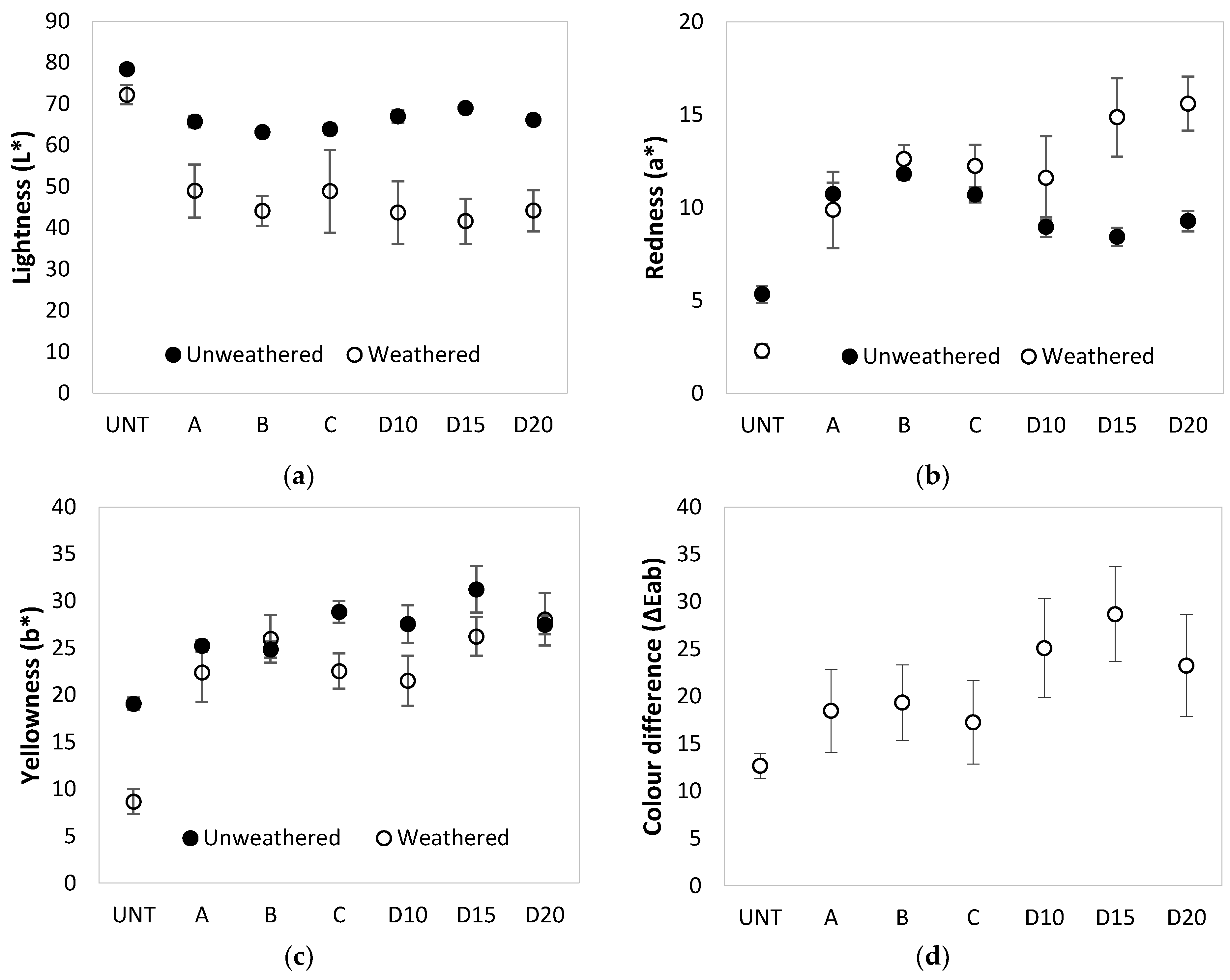
3.1. Artificial Weathering (UV Only)
3.2. Artificial Weathering (UV + Water Spray)
3.3. Weathering under Outdoor Conditions
3.4. Growth of Wood Discolouring Fungi on PF Treated Plywood
3.5. Resistance Against Soft-Rot in Unsterile Soil-Bed Test
x-Value towards Provisional Durability Rating
4. Conclusions
Author Contributions
Funding
Acknowledgments
Conflicts of Interest
References
- Lamb, F.M. Splits and Cracks in Wood. In Proceedings of the 43rd Annual Meeting of Western Dry Kiln Association, Reno, NV, USA, 13–15 May 1992; pp. 16–24. [Google Scholar]
- Evans, P.D. Weathering and photoprotection of wood. In Development of Commercial Wood Preservatives: Efficacy, Environmental, and Health Issues; American Chemical Society; ACS Symposium Series; Schultz, T.P., Militz, H., Freeman, M.H., Goodell, B., Nicholas, D.D., Eds.; Oxford University Press: Washington, DC, USA, 2008; pp. 69–119. ISBN 978-0-8412-3951-7. [Google Scholar]
- Altgen, M.; Adamopoulos, S.; Militz, H. Wood Defects during Industrial-Scale Production of Thermally Modified Norway Spruce and Scots Pine. Wood Mater. Sci. Eng. 2015, 12, 14–23. [Google Scholar] [CrossRef]
- EN 350:2016 Durability of Wood and Wood-Based Products—Testing and Classification of the Durability to Biological Agents of Wood and Wood-Based Materials; European Committee for Standardization (CEN): Brussels, Belgium, 2016.
- Helin, T.; Sokka, L.; Soimakallio, S.; Pingoud, K.; Pajula, T. Approaches for Inclusion of Forest Carbon Cycle in Life Cycle Assessment—A Review. GCB Bioenergy 2013, 5, 475–486. [Google Scholar] [CrossRef]
- Hill, C.A.S. Wood Modification: Chemical, Thermal and Other Processes; John Wiley & Sons, Ltd.: Chichester, UK, 2006; ISBN 978-0-470-02174-3. [Google Scholar]
- Xie, Y.; Krause, A.; Militz, H.; Turkulin, H.; Richter, K.; Mai, C. Effect of Treatments with 1,3-Dimethylol-4,5-Dihydroxy-Ethyleneurea (DMDHEU) on the Tensile Properties of Wood. Holzforschung 2007, 61, 43–50. [Google Scholar] [CrossRef]
- Rowell, R.; Bongers, F. Coating Acetylated Wood. Coatings 2015, 10, 792–801. [Google Scholar] [CrossRef]
- Evans, P.D.; Wallis, A.F.A.; Owen, N.L. Weathering of Chemically Modified Wood Surfaces. Wood Sci. Technol. 2000, 34, 151–165. [Google Scholar] [CrossRef]
- Xiao, Z.; Xie, Y.; Adamopoulos, S.; Mai, C. Effects of Chemical Modification with Glutaraldehyde on the Weathering Performance of Scots Pine Sapwood. Wood Sci. Technol. 2012, 46, 749–767. [Google Scholar] [CrossRef][Green Version]
- Feist, W.C.; Sell, J. Weathering Behavior of Dimensionally Stabilized Wood Treated by Heating under Pressure of Nitrogen Gas. Wood Fiber Sci. 1987, 19, 13. [Google Scholar]
- Furuno, T.; Imamura, Y.; Kajita, H. The Modification of Wood by Treatment with Low Molecular Weight Phenol-Formaldehyde Resin: A Properties Enhancement with Neutralized Phenolic-Resin and Resin Penetration into Wood Cell Walls. Wood Sci. Technol. 2004, 37, 349–361. [Google Scholar] [CrossRef]
- Tarkow, H.; Southerland, C.F.; Seborg, R.M. Surface Characteristics of Wood as They Affect Durability of Finishes Part 1. Surface Stabilizazion; FPL 57; U.S. Department of Agriculture, U.S. Forest Service: Madison, WI, USA, 1966; pp. 3–22.
- Morawetz, H. Phenolic Antioxidants for Paraffinic Materials. Ind. Eng. Chem. 1949, 41, 1442–1447. [Google Scholar] [CrossRef]
- Kielmann, B.C.; Mai, C. Application and Artificial Weathering Performance of Translucent Coatings on Resin-Treated and Dye-Stained Beech-Wood. Prog. Org. Coat. 2016, 95, 54–63. [Google Scholar] [CrossRef]
- Kielmann, B.C.; Mai, C. Natural Weathering Performance and the Effect of Light Stabilizers in Water-Based Coating Formulations on Resin-Modified and Dye-Stained Beech-Wood. J. Coat. Technol. Res. 2016, 13, 1065–1074. [Google Scholar] [CrossRef]
- Evans, P.D.; Gibson, S.K.; Cullis, I.; Liu, C.; Sèbe, G. Photostabilization of Wood Using Low Molecular Weight Phenol Formaldehyde Resin and Hindered Amine Light Stabilizer. Polym. Degrad. Stab. 2013, 98, 158–168. [Google Scholar] [CrossRef]
- Kielmann, B.C.; Butter, K.; Mai, C. Modification of Wood with Formulations of Phenolic Resin and Iron-Tannin-Complexes to Improve Material Properties and Expand Colour Variety. Eur. J. Wood Prod. 2018, 76, 259–267. [Google Scholar] [CrossRef]
- Van Acker, J.; Palanti, S. 5.3 Durability. In Performance of Bio-Based Building Materials; Woodhead Publishing Series in Civil and Structural Engineering; Europäische Zusammenarbeit auf dem Gebiet der Wissenschaftlichen und Technischen Forschung; Brischke, C., Jones, D., Eds.; WP—Woodhead Publishing, an Imprint of Elsevier: Cambridge, UK, 2017; pp. 257–277. ISBN 978-0-08-100992-5. [Google Scholar]
- Zabel, R.A.; Morrell, J.J. 4 Factors Affecting the Growth and Survival of Fungi in Wood. In Wood Microbiology: Decay and Its Prevention; Elsevier Science: Saint Louis, MI, USA, 2014; pp. 90–115. ISBN 978-0-323-13946-5. [Google Scholar]
- Edlund, M.-L.; Nilsson, T. Testing the Durability of Wood. Mat. Struct. 1998, 31, 641–647. [Google Scholar] [CrossRef]
- Brischke, C.; Olberding, S.; Meyer, L.; Bornemann, T.; Welzbacher, C.R. Intrasite Variability of Fungal Decay on Wood Exposed in Ground Contact. Int. Wood Prod. J. 2013, 4, 37–45. [Google Scholar] [CrossRef]
- Torres-Andrade, P.; Morrell, J.J.; Cappellazzi, J.; Stone, J.K. Culture-Based Identification to Examine Spatiotemporal Patterns of Fungal Communities Colonizing Wood in Ground Contact. Mycologia 2019, 111, 703–718. [Google Scholar] [CrossRef] [PubMed]
- Nilsson, T.; Daniel, G. Decay Types Observed in Small Stakes of Pine and Alstonia Scholaris Inserted in Different Types of Unsterile Soil, IRG/WP/1443; IRG Secretariat: Stockholm, Sweden, 1990; p. 10. [Google Scholar]
- Mieß, S. Einfluß Des Wasserhaushaltes Auf Abbau Und Fäuletypen von Holz in Terrestrichen Mikrokosmen (Diplomarbeit). Bachelor’s Thesis, Universität Hamburg Ordinariat für Holzbiologie, Hamburg, Germany, 1997. [Google Scholar]
- EN 252:2015. Field Test Methods for Determining the Relative Protective Effectiveness of Wood Preservatives in Ground Contact; European Committee for Standardization (CEN): Brussels, Belgium, 2014.
- CEN/TS 15083-1:2005 Durability of Wood and Wood-Based Products—Determination of the Natural Durability of Solid Wood against Wood-Destroying Fungi, Test Methods—Part 1: Basidiomycetes; European Committee for Standardization (CEN): Brussels, Belgium, 2005.
- CEN/TS 15083-2:2005 Durability of Wood and Wood-Based Products—Determination of the Natural Durability of Solid Wood against Wood-Destroying Fungi, Test Methods—Part 2: Soft Rotting Micro-Fungi; European Committee for Standardization (CEN): Brussels, Belgium, 2005.
- DIN EN ISO 3251:2019 Paints, Varnishes and Plastics; Determination of Non-Volatile-Matter Content; European Committee for Standardization (CEN): Brussels, Belgium, 2019; p. 12.
- DIN EN ISO 9397:1997 Plastics—Phenolic Resins—Determination of Free-Formaldehyde Content—Hydroxylamine Hydrochloride Method; European Committee for Standardization (CEN): Brussels, Belgium, 1997.
- Grinins, J.; Biziks, V.; Irbe, I.; Rizhikovs, J. Water Related Properties of Birch Wood Modified with Phenol-Formaldehyde (PF) Resins. Key Eng. Mater. 2018, 800, 246–250. [Google Scholar] [CrossRef]
- Grinins, J.; Irbe, I.; Biziks, V.; Rizikovs, J.; Bicke, S.; Militz, H. Investigation of Birch Wood Impregnation with Phenol-Formaldehyde (PF) Resins. In Proceedings of the 9th European Conference on Wood Modification (ECWM9), Arnhem, The Netherlands, 17–18 September 2018; p. 6. [Google Scholar]
- DIN EN 152-1:2011 Test Methods for Wood Preservatives; Laboratory Method for Determining the Protective Effectiveness of a Preservative Treatment against Blue Stain in Service, Part 1: Brushing Procedure; European Committee for Standardization (CEN): Brussels, Belgium, 2011.
- ISO 11268-2 Soil Quality—Effects of Pollutants on Earthworms—Part 2: Determination of Effects on Reproduction of Eisenia Fetida/Eisenia Andrei; International Organisation for Standardization (ISO): Geneva, Switzerland, 2012.
- EN 335 Durability of Wood and Wood-Based Products—Use Classes: Definition, Application to Solid Wood and Wood-Based Products; European Committee for Standardization (CEN): Brussels, Belgium, 2013.
- EN 460:1994 Durability of Wood and Wood-Based Products—Natural Durability of Solid Wood—Guide to the Durability Requirements for Wood to Be Used in Hazard Classes; European Committee for Standardization (CEN): Brussels, Belgium, 1994.
- PrEN 460:2019 Durability of Wood and Wood-Based Products—Natural Durability of Solid Wood—Guide to the Durability Requirements for Wood to Be Used in Hazard Classes; European Committee for Standardization (CEN): Brussels, Belgium, 2019.






| Resin | Viscosity (mPas) | Solid Content (%) | Mn (g/mol) | Mw (g/mol) | Dispersity Q = (Mw/Mn) | Free Formaldehyde (%) | pH |
|---|---|---|---|---|---|---|---|
| A | 75 | 49.4 | 220 | 292 | 1.327 | 0.6 | 10.0 |
| B | 125 | 50.0 | 338 | 528 | 1.562 | 0.4 | 10.3 |
| C | 282 | 49.7 | 467 | 884 | 1.892 | 0.5 | 10.4 |
| D | 216 | 55.9 | 414 | 703 | 1.698 | <0.8 | 9.4 |
| Resin Treatment | A 10% | B 10% | C 10% | D 10% | D 15% | D 20% |
|---|---|---|---|---|---|---|
| WPG (%) | 14.6 ± 1.8 | 13.2 ± 1.6 | 13.9 ± 1.5 | 12.5 ± 1.0 | 19.9 ± 3.3 | 27.5 ± 1.8 |
| Month | Mean Rainfall [mm] | Min–Max Temperature Range [°C] | Relative Humidity Range [%] | UV Index Range |
|---|---|---|---|---|
| June 2020 | 5 | 15–30 | 50–80 | 6–7 |
| July 2020 | 6 | 10–28 | 55–90 | 5–6 |
| August 2020 | 12 | 11–28 | 55–90 | 4–5 |
| September 2020 | 12 | 7–24 | 55–90 | 2–4 |
| Time (Months) | Resin Treatment | |||||||
|---|---|---|---|---|---|---|---|---|
| Untreated | A | B | C | D 10% | D 15% | D 20% | ||
| Coated edges | 1 | 0.0 | 0.0 | 0.0 | 0.0 | 0.0 | 0.0 | 0.0 |
| 2 | 4.0 | 3.0 | 2.0 | 2.0 | 2.0 | 2.0 | 2.0 | |
| 3 | 4.0 | 4.0 | 3.7 | 3.7 | 4.0 | 4.0 | 4.0 | |
| Uncoated edges | 1 | 0.0 | 0.0 | 0.0 | 0.0 | 0.0 | 0.0 | 0.0 |
| 2 | 4.0 | 2.0 | 1.0 | 2.0 | 2.0 | 2.0 | 2.0 | |
| 3 | 4.0 | 3.3 | 3.3 | 3.0 | 4.0 | 4.0 | 4.0 | |
| Wood Material | Reference Material and Exposure Time [Weeks] | |||||
|---|---|---|---|---|---|---|
| Birch Solid | Beech Solid | Untreated Plywood | Birch Solid | Beech Solid | Untreated Plywood | |
| 16 | 16 | 16 | 24 | 24 | 24 | |
| A10 | 0.20 | 0.23 | 0.25 | 0.20 | 0.22 | 0.26 |
| B10 | 0.25 | 0.28 | 0.31 | 0.24 | 0.26 | 0.31 |
| C10 | 0.31 | 0.36 | 0.40 | 0.29 | 0.32 | 0.38 |
| D10 | 0.22 | 0.25 | 0.27 | 0.20 | 0.22 | 0.26 |
| D15 | 0.15 | 0.17 | 0.18 | 0.13 | 0.14 | 0.17 |
| D20 | 0.14 | 0.15 | 0.17 | 0.11 | 0.12 | 0.14 |
| Wood Material | Reference Material and Exposure Time [Weeks] | |||||
|---|---|---|---|---|---|---|
| Birch Solid | Beech Solid | Untreated Plywood | Birch Solid | Beech Solid | Untreated Plywood | |
| 16 | 16 | 16 | 24 | 24 | 24 | |
| A10 | 2 | 3 | 3 | 2 | 3 | 3 |
| B10 | 3 | 3 | 3 | 3 | 3 | 3 |
| C10 | 3 | 3 | 3 | 3 | 3 | 3 |
| D10 | 3 | 3 | 3 | 2 | 3 | 3 |
| D15 | 2 | 2 | 2 | 2 | 2 | 2 |
| D20 | 2 | 2 | 2 | 2 | 2 | 2 |
Publisher’s Note: MDPI stays neutral with regard to jurisdictional claims in published maps and institutional affiliations. |
© 2021 by the authors. Licensee MDPI, Basel, Switzerland. This article is an open access article distributed under the terms and conditions of the Creative Commons Attribution (CC BY) license (http://creativecommons.org/licenses/by/4.0/).
Share and Cite
Grinins, J.; Biziks, V.; Marais, B.N.; Rizikovs, J.; Militz, H. Weathering Stability and Durability of Birch Plywood Modified with Different Molecular Weight Phenol-Formaldehyde Oligomers. Polymers 2021, 13, 175. https://doi.org/10.3390/polym13020175
Grinins J, Biziks V, Marais BN, Rizikovs J, Militz H. Weathering Stability and Durability of Birch Plywood Modified with Different Molecular Weight Phenol-Formaldehyde Oligomers. Polymers. 2021; 13(2):175. https://doi.org/10.3390/polym13020175
Chicago/Turabian StyleGrinins, Juris, Vladimirs Biziks, Brendan Nicholas Marais, Janis Rizikovs, and Holger Militz. 2021. "Weathering Stability and Durability of Birch Plywood Modified with Different Molecular Weight Phenol-Formaldehyde Oligomers" Polymers 13, no. 2: 175. https://doi.org/10.3390/polym13020175
APA StyleGrinins, J., Biziks, V., Marais, B. N., Rizikovs, J., & Militz, H. (2021). Weathering Stability and Durability of Birch Plywood Modified with Different Molecular Weight Phenol-Formaldehyde Oligomers. Polymers, 13(2), 175. https://doi.org/10.3390/polym13020175

