Identification and Evaluation of Hazardous Pyrolysates in Bio-Based Rigid Polyurethane-Polyisocyanurate Foam Smoke
Abstract
:1. Introduction
2. Materials and Methods
2.1. Materials
2.2. Methodology
3. Results and Discussion
3.1. Py-GC/MS Gaseous Product Characterization
3.2. Functional Group Assessment for the Volatile Organic Compounds
4. Conclusions
Author Contributions
Funding
Institutional Review Board Statement
Informed Consent Statement
Data Availability Statement
Conflicts of Interest
References
- Prociak, A.; Kurańska, M.; Cabulis, U.; Kirpluks, M. Rapeseed oil as main component in synthesis of bio-polyurethane-polyisocyanurate porous materials modified with carbon fibers. Polym. Test. 2017, 59, 478–486. [Google Scholar] [CrossRef]
- Kirpluks, M.; Kalnbunde, D.; Walterova, Z.; Cabulis, U. Rapeseed Oil as Feedstock for High Functionality Polyol Synthesis. J. Renew. Mater. 2017, 5, 258–270. [Google Scholar] [CrossRef]
- Kurańska, M.; Prociak, A.; Cabulis, U.; Kirpluks, M.; Ryszkowska, J.; Auguścik, M. Innovative porous polyurethane-polyisocyanurate foams based on rapeseed oil and modified with expandable graphite. Ind. Crop. Prod. 2017, 95, 316–323. [Google Scholar] [CrossRef]
- Fridrihsone-Girone, A.; Stirna, U. Characterization of polyurethane networks based on rapeseed oil derived polyol. Polimery 2014, 59, 333–338. [Google Scholar] [CrossRef]
- Pietrzak, K.; Kirpluks, M.; Cabulis, U.; Ryszkowska, J. Effect of the addition of tall oil-based polyols on the thermal and mechanical properties of ureaurethane elastomers. Polym. Degrad. Stab. 2014, 108, 201–211. [Google Scholar] [CrossRef]
- Kurańska, M.; Prociak, A.; Cabulis, U.; Kirpluks, M. Water-blown polyurethane-polyisocyanurate foams based on bio-polyols with wood fibers. Polimery 2015, 61, 705–712. [Google Scholar] [CrossRef]
- Kurańska, M.; Prociak, A.; Kirpluks, M.; Cabulis, U. Polyurethane-polyisocyanurate foams modified with hydroxyl derivatives of rapeseed oil. Ind. Crop. Prod. 2015, 74, 849–857. [Google Scholar] [CrossRef]
- Kurańska, M.; Cabulis, U.; Auguścik, M.; Prociak, A.; Ryszkowska, J.; Kirpluks, M. Bio-based polyurethane-polyisocyanurate composites with an intumescent flame retardant. Polym. Degrad. Stab. 2016, 127, 11–19. [Google Scholar] [CrossRef]
- Javni, I.; Zhang, W.; Petrović, Z.S. Soybean-oil-based polyisocyanurate rigid foams. J. Polym. Environ. 2004, 12, 123–129. [Google Scholar] [CrossRef]
- Reinerte, S.; Kirpluks, M.; Cabulis, U. Thermal degradation of highly crosslinked rigid PU-PIR foams based on high functionality tall oil polyol. Polym. Degrad. Stab. 2019, 167, 50–57. [Google Scholar] [CrossRef]
- Gadhave, R.V.; Kasbe, P.S.; Mahanwar, P.A.; Gadekar, P.T. Synthesis and characterization of lignin-polyurethane based wood adhesive. Int. J. Adhes. Adhes. 2019, 95, 102427. [Google Scholar] [CrossRef]
- García, J.L.; Pans, G.; Phanopoulos, C. Use of lignin in polyurethane-based structural wood adhesives. J. Adhes. 2018, 94, 814–828. [Google Scholar] [CrossRef]
- Aristri, M.A.; Lubis, M.A.R.; Yadav, S.M.; Antov, P.; Papadopoulos, A.N.; Pizzi, A.; Fatriasari, W.; Ismayati, M.; Iswanto, A.H. Recent Developments in Lignin- and Tannin-Based Non-Isocyanate Polyurethane Resins for Wood Adhesives—A Review. Appl. Sci. 2021, 11, 4242. [Google Scholar] [CrossRef]
- Tavares, L.B.; Boas, C.V.; Schleder, G.R.; Nacas, A.M.; Rosa, D.S.; Santos, D.J. Bio-based polyurethane prepared from Kraft lignin and modified castor oil. Express Polym. Lett. 2016, 10, 927–940. [Google Scholar] [CrossRef]
- Gama, N.V.; Ferreira, A.; Barros-Timmons, A. Polyurethane foams: Past, present, and future. Materials 2018, 11, 1841. [Google Scholar] [CrossRef] [PubMed] [Green Version]
- Kaplan, H.L.; Grand, A.F.; Hartzell, G.E. Toxicity and the smoke problem. Fire Saf. J. 1984, 7, 11–23. [Google Scholar] [CrossRef]
- Stec, A.A.; Hull, T.R. Assessment of the fire toxicity of building insulation materials. Energy Build. 2011, 43, 498–506. [Google Scholar] [CrossRef]
- McKenna, S.T.; Hull, T.R. The fire toxicity of polyurethane foams. Fire Sci. Rev. 2016, 5, 3. [Google Scholar] [CrossRef] [Green Version]
- Wang, B.; Sheng, H.; Shi, Y.; Song, L.; Zhang, Y.; Hu, Y.; Hu, W. The influence of zinc hydroxystannate on reducing toxic gases (CO, NOx and HCN) generation and fire hazards of thermoplastic polyurethane composites. J. Hazard. Mater. 2016, 314, 260–269. [Google Scholar] [CrossRef]
- Yuan, Y.; Wang, W.; Shi, Y.; Song, L.; Ma, C.; Hu, Y. The influence of highly dispersed Cu2O-anchored MoS2 hybrids on reducing smoke toxicity and fire hazards for rigid polyurethane foam. J. Hazard. Mater. 2019, 382, 121028. [Google Scholar] [CrossRef]
- Xu, W.; Wang, G.; Xu, J.; Liu, Y.; Chen, R.; Yan, H. Modification of diatomite with melamine coated zeolitic imidazolate framework-8 as an effective flame retardant to enhance flame retardancy and smoke suppression of rigid polyurethane foam. J. Hazard. Mater. 2019, 379, 120819. [Google Scholar] [CrossRef] [PubMed]
- Li, M.E.; Wang, S.H.; Han, L.X.; Yuan, W.J.; Cheng, J.B.; Zhang, A.N.; Zhao, H.B.; Wang, Y.Z. Hierarchically porous SiO2/polyurethane foam composites towards excellent thermal insulating, flame-retardant and smoke-suppressant performances. J. Hazard. Mater. 2019, 375, 61–69. [Google Scholar] [CrossRef] [PubMed]
- Wi, S.; Berardi, U.; Di Loreto, S.; Kim, S. Microstructure and thermal characterization of aerogel–graphite polyurethane spray-foam composite for high efficiency thermal energy utilization. J. Hazard. Mater. 2020, 397, 122656. [Google Scholar] [CrossRef] [PubMed]
- Hiltz, J.A. Analytical pyrolysis gas chromatography/mass spectrometry (py-GC/MS) of poly(ether urethane)s, poly(ether urea)s and poly(ether urethane-urea)s. J. Anal. Appl. Pyrolysis 2015, 113, 248–258. [Google Scholar] [CrossRef] [Green Version]
- European Commission. Commission Regulation (EU) 2018/669 of 16 April 2018 amending, for the purposes of its adaptation to technical and scientific progress, Regulation (EC) No 1272/2008 of the European Parliament and of the Council on classification, labelling and packaging of substances and mixtures. OJ 2018, L115, 1–755. [Google Scholar]
- Reinerte, S.; Avotina, L.; Zarins, A.; Cabulis, U.; Viksna, A. TG/DTA-FTIR as a method for analysis of tall oil based rigid polyurethane foam decomposition gaseous products in a low oxygen environment. Polym. Degrad. Stab. 2020, 180, 109313. [Google Scholar] [CrossRef]
- Kirpluks, M.; Vanags, E.; Abolins, A.; Michalowski, S.; Fridrihsone, A.; Cabulis, U. High Functionality Bio-Polyols from Tall Oil and Rigid Polyurethane Foams Formulated Solely Using Bio-Polyols. Materials 2020, 13, 1985. [Google Scholar] [CrossRef]
- Kim, K.H.; Jahan, S.A.; Kabir, E.; Brown, R.C.J. A review of airborne polycyclic aromatic hydrocarbons (PAHs) and their human health effects. Environ. Int. 2013, 60, 71–80. [Google Scholar] [CrossRef]
- Mumbo, J.; Henkelmann, B.; Abdelaziz, A.; Pfister, G.; Nguyen, N.; Schroll, R.; Munch, J.C.; Schramm, K.W. Persistence and dioxin-like toxicity of carbazole and chlorocarbazoles in soil. Environ. Sci. Pollut. Res. 2015, 22, 1344–1356. [Google Scholar] [CrossRef]
- Purser, D.A. The Application of Exposure Concentration and Dose to Evaluation of Effects of Irritants as Components of Fire Hazard. In Proceedings of the Interflam Conference Proceedings, London, UK, 3–5 September 2007; Available online: https://www.researchgate.net (accessed on 2 July 2021).
- Hejna, A.; Kirpluks, M.; Kosmela, P.; Cabulis, U.; Haponiuk, J.; Piszczyk, Ł. The influence of crude glycerol and castor oil-based polyol on the structure and performance of rigid polyurethane-polyisocyanurate foams. Ind. Crop. Prod. 2017, 95, 113–125. [Google Scholar] [CrossRef]



| Chemical Component | Structure |
|---|---|
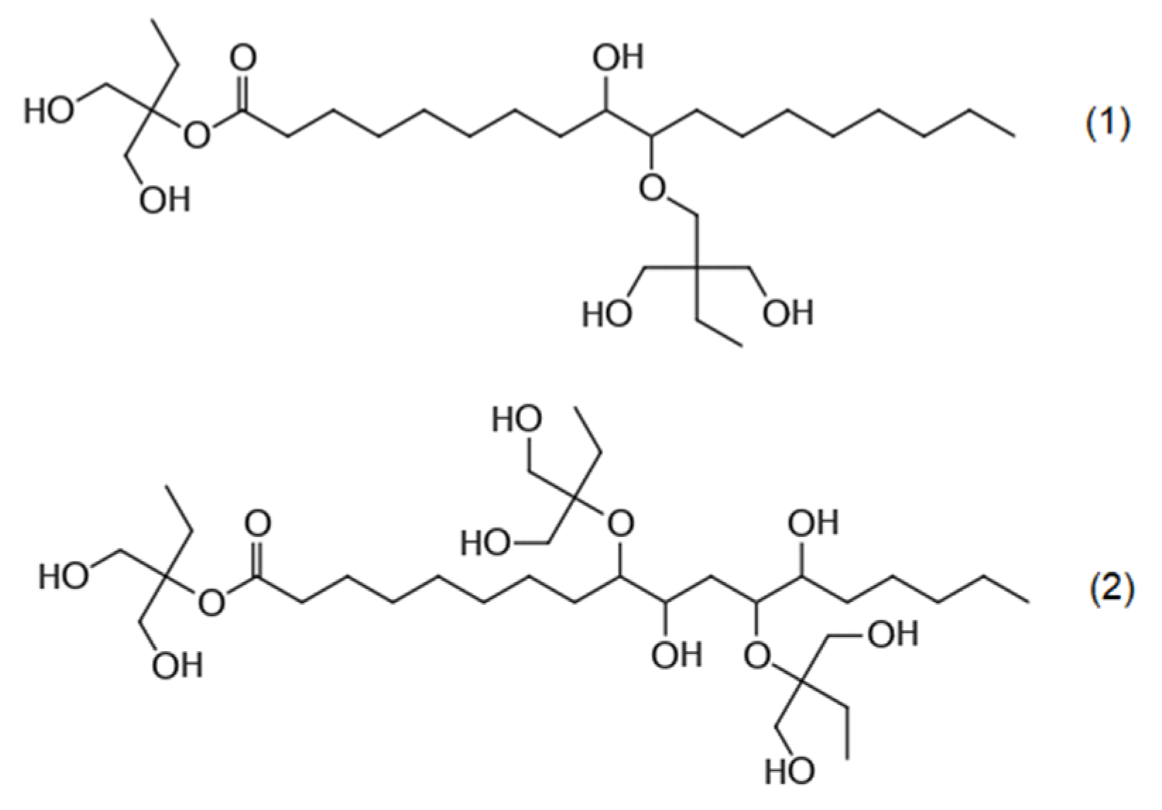
| TOFA-based polyol [27], derived from: (1) oleic acid; (2) linoleic acid | ![]() |
| Lupranol® 3422 (sorbitol-based polyether polyol) (BASF, Ludwigshafen, Germany) | (The exact chemical structure has not been disclosed) |
| Solkane® 365/277 (86–92% of 1,1,1,3,3 pentafluorobutane; 8–14% of 1,1,1,2,3,3,3-heptafluoropropane) (Solvay Special Chemicals, Düsseldorf, Germany) | ![]() |
| Water (deionized) | H2O |
| Tertiary amine (Polycat® 5) N,N,N′,N′′,N′′-pentamethyldiethylenetriamine (PMDTA) (Evonik Industries, Essen, Germany) | ![]() |
| 30% potassium acetate in DEG (PC CAT TKA 30 and PC CAT Q 7-2) catalysts (Air Products Europe Chemicals B.V., Utrecht, The Netherlands) | ![]() |
| Niax Silicone L-6915 (Momentive Performance Materials Inc., Geesthacht, Germany) | (The exact chemical structure has not been disclosed) |
| Desmodur 44V20L (Covestro, Leverkusen, Germany; NCO content is 30.5–32.5 wt%) | ![]() |
| Polyol Formulation (pbw) | ||
|---|---|---|
| Sample Code * | F_HF95 NCO 150 | F_HF95 NCO 300 |
| NCO index | 150 | 300 |
| TOFA-based polyol | 95.0 | 95.0 |
| Lupranol 3422 | 5.0 | 5.0 |
| Blowing reagent (water) | 0.5 | 0.5 |
| Blowing agent (Solkane 365/277) | 40.0 | 70.0 |
| Catalyst (Polycat 5) | 2.0 | 2.0 |
| Catalyst (PC CAT TKA 30) | 1.5 | 2.5 |
| Catalyst (PC CAT Q 7-2) | 2.0 | 2.0 |
| Surfactant (L-6915) | 2.0 | 2.0 |
| pMDI (Desmodur 44V20L) | 150.0 | 299.9 |
| Characteristic | F_HF95 NCO 150 | F_HF95 NCO 300 |
|---|---|---|
| Start time, s | 20 | 20 |
| String time, s | 37 | 75 |
| Tack free time, s | 50 | 125 |
| Temperature of polyol component before foaming, °C | 24 | 24 |
| Apparent density of molded PU-PIR foams, kg/m3 | 31.6 | 35.6 |
| Closed cell content, % | 93 | 96 |
| Mc, g/mol | 499 | 549 |
| Polyol moiety viscosity, mPa∙s | 62,560 ± 40 | 62,560 ± 40 |
| No. | Peak Identification | Rt (Min) | Mrel NCO 150 (%) | Mrel NCO 300 (%) | Δ (%) | Rel. Δ (%) | GHS Hazard Statements |
|---|---|---|---|---|---|---|---|
| 1 | Carbon dioxide | 5.287 | 6.65 | 6.02 | −0.63 | −9.5 | H280; H281 |
| 2 | 1-Butene | 5.405 | 0.14 | 0.09 | −0.05 | −35.7 | H220; H221; H280 |
| 3 | Phenoxyacetonitrile | 5.474 | 1.34 | 3.32 | 1.98 | 147.8 | H302; H312; H332 |
| 4 | cis-1,2-Dimethylcyclopropane | 5.575 | 1.25 | 0.49 | −0.76 | −60.8 | Not classified |
| 5 | Isoprene | 5.633 | 0.10 | 0.12 | 0.02 | 20.0 | H224; H341; H350; H412 |
| 6 | 3-Penten-1-yne | 5.826 | 0.11 | 0.07 | −0.04 | −36.4 | Not classified |
| 7 | 1-Hexene | 5.898 | 0.82 | 0.37 | −0.45 | −54.9 | H225; H304; H319 |
| 8 | Methyl isocyanide | 6.120 | 0.06 | trace | − | − | H302; H312; H332; H373 |
| 9 | 2-Butenal | 6.218 | 0.27 | 0.09 | −0.18 | −66.7 | H225; H301; H310; H311; H315; H318; H330; H335; H341; H373; H400 |
| 10 | 1-Heptene | 6.524 | 0.99 | 0.40 | −0.59 | −59.6 | H225; H304; H400; H410 |
| 11 | 1,2,5-Hexatriene | 6.641 | 0.30 | 0.12 | −0.18 | −60.0 | Not classified |
| 12 | Benzene | 6.767 | 0.32 | 0.21 | −0.11 | −34.4 | H225; H304; H315; H319; H340; H350; H372 |
| 13 | Tiglic aldehyde | 7.063 | 2.39 | 1.03 | −1.36 | −56.9 | H225; H315; H319; H335; H411 |
| 14 | 1-Octene | 7.583 | 1.16 | 0.40 | −0.76 | −65.5 | H225; H304; H315; H400; H410; H411 |
| 15 | Toluene | 8.029 | 0.81 | 0.96 | 0.15 | 18.5 | H225; H304; H315; H336; H361d; H373 |
| 16 | 2-Penten-1-ol, (E)- | 8.656 | 2.32 | 0.91 | −1.41 | −60.8 | H226 |
| 17 | M-Xylene | 9.581 | 0.23 | 0.16 | −0.07 | −30.4 | H226; H304; H312; H315; H318; H332 |
| 18 | P-Xylene | 9.736 | 0.45 | 0.37 | −0.08 | −17.8 | H226; H304; H312; H315; H319; H332; H335 |
| 19 | O-Xylene | 10.325 | 0.26 | 0.13 | −0.13 | −50.0 | H225; H226; H304; H312; H315; H319; H332; H335 |
| 20 | Styrene | 10.489 | 0.17 | 0.09 | −0.08 | −47.1 | H226; H315; H319; H332; H361d; H372 |
| 21 | 2-Heptanone | 10.859 | 0.27 | 0.11 | −0.16 | −59.3 | H226; H302; H332 |
| 22 | 1-Decene | 11.023 | 0.14 | 0.07 | −0.07 | −50.0 | H226; H304; H400; H410 |
| 23 | Propylbenzene | 11.367 | 0.11 | 0.06 | −0.05 | −45.5 | H226; H304; H335; H411 |
| 24 | 3-Ethyltoluene | 11.564 | 0.17 | 0.06 | −0.11 | −64.7 | H226; H304; H336; H411 |
| 25 | 1-Dodecene | 13.094 | 0.11 | 0.07 | −0.04 | −36.4 | H304; H315 |
| 26 | Butylbenzene | 13.509 | 0.12 | 0.04 | −0.08 | −66.7 | H226; H315; H319; H400; H410 |
| 27 | 2-Ethylhexanol | 13.864 | 0.38 | 0.18 | −0.20 | −52.6 | H315; H319; H332; H335 |
| 28 | Aniline | 14.278 | 3.99 | 4.68 | 0.69 | 17.3 | H301; H311; H317; H318; H331; H341; H351; H372; H400 |
| 29 | Benzonitrile | 14.439 | 0.05 | 0.07 | 0.02 | 40.0 | H302; H312 |
| 30 | Diethylene glycol | 15.264 | 0.31 | 0.44 | 0.13 | 41.9 | H302 |
| 31 | Pentylbenzene | 15.660 | 0.15 | 0.13 | −0.02 | −13.3 | H411; H412 |
| 32 | N-Methylaniline | 16.175 | 6.08 | 6.83 | 0.75 | 12.3 | H301; H311; H331; H373; H400; H410 |
| 33 | 2-Ethyl-2-methyl-1,3-propanediol | 16.708 | 0.64 | 0.16 | −0.48 | −75.0 | Not classified |
| 34 | Benzyl cyanide | 17.129 | 0.21 | 0.22 | 0.01 | 4.8 | H301; H302; H311; H330 |
| 35 | N-Methyl-m-toluidine | 17.554 | 0.22 | 0.09 | −0.13 | −59.1 | H301; H311 H331; H373; H412 |
| 36 | 2,5-Dimethylaniline | 17.925 | 0.39 | 0.20 | −0.19 | −48.7 | H301; H311; H331; H373; H411 |
| 37 | 2-Ethylaniline | 18.033 | 0.11 | 0.10 | −0.01 | −9.1 | H301; H302; H311; H319; H330; H331; H373; |
| 38 | cis-3-Tetradecene | 19.166 | 0.05 | 0.06 | 0.01 | 20.0 | Not classified |
| 39 | Carbazole | 19.606 | 0.55 | 0.15 | −0.40 | −72.7 | H315; H341; H351; H400; H411; H413 |
| 40 | 4-Vinylaniline | 20.090 | 0.16 | 0.11 | −0.05 | −31.3 | H302; H312; H315; H319; H332; H334; H335; H351; H373 |
| 41 | 7-Methylquinoline | 21.750 | 0.29 | 0.17 | −0.12 | −41.4 | H315; H318; H319; H335 |
| 42 | Indolizine | 22.136 | 0.05 | 0.10 | 0.05 | 100.0 | H315; H319 |
| 43 | 5H-Cyclopenta[b]pyridine | 22.431 | 0.10 | 0.16 | 0.06 | 60.0 | Not classified |
| 44 | Trimethylolpropane | 23.019 | 3.26 | 1.12 | −2.14 | −65.6 | Not classified |
| 45 | 4-Aminophenylacetonitrile | 23.831 | 0.11 | 0.22 | 0.11 | 100.0 | H302; H312; H315; H319; H332; H335 |
| 46 | 2,8-Dimethylquinoline | 24.018 | 0.31 | 0.17 | −0.14 | −45.2 | H302; H315; H318; H335 |
| 47 | Carbon monoxide | 24.167 | 0.44 | 0.16 | −0.28 | −63.6 | H220; H331; H360d; H372 |
| 48 | 8-Propylquinoline | 25.657 | 0.19 | 0.11 | −0.08 | −42.1 | Not classified |
| 49 | 1-Octadecene | 25.975 | 0.00 | 0.14 | 0.14 | 140.0 | H304 |
| 50 | Oxindole | 26.306 | 0.10 | 0.12 | 0.02 | 20.0 | Not classified |
| 51 | N-Methylacetanilide | 26.633 | 0.18 | 0.09 | −0.09 | −50.0 | H301 |
| 52 | Benzimidazole | 26.922 | 0.09 | 0.21 | 0.12 | 133.3 | H302; H315; H319; H335 |
| 53 | N-Formylindoline | 27.870 | 0.10 | 0.22 | 0.12 | 120.0 | Not classified |
| 54 | N-Methyldiphenylamine | 28.322 | 0.07 | 0.15 | 0.08 | 114.3 | H315; H319; H335 |
| 55 | 9-Octadecanone | 28.581 | 0.32 | 0.08 | −0.24 | −75.0 | Not classified |
| 56 | 4-Benzylaniline | 29.557 | 1.17 | 1.79 | 0.62 | 53.0 | H302; H312; H315; H319; H332; H335; |
| 57 | Acridine | 29.992 | 0.26 | 0.28 | 0.02 | 7.7 | H302; H315; H319; H335; |
| 58 | Acrolein | 30.767 | 0.14 | 0.21 | 0.07 | 50.0 | H225; H300; H311; H314; H330; H400; H410 |
| 59 | Phenol | 31.035 | 0.63 | 0.46 | −0.17 | −27.0 | H301; H311; H314; H331; H341; H373 |
| 60 | 1-Hexadecanol | 31.573 | 0.34 | 0.26 | −0.08 | −23.5 | H315; H319; H335; H400; H410; H411; H412; H413 |
| 61 | 9-Vinylcarbazole | 31.874 | 0.14 | 0.16 | 0.02 | 14.3 | H302; H312; H315; H317; H341; H400; H410 |
| 62 | Phenyl isocyanate | 32.398 | 0.25 | 0.20 | −0.05 | −20.0 | H226; H302; H314; H317; H318; H330; H334; H335; H400; H410; H411; H412 |
| 63 | 3,3′-Diaminodiphenylmethane | 35.723 | 4.89 | 6.31 | 1.42 | 29.0 | H302; H312; H315; H319; H332; H335; H351 |
| 64 | Methanol | 36.973 | 0.22 | 0.16 | −0.06 | −27.3 | H225; H301; H311; H331; H370 |
| 65 | 4,4′-Methylenedianiline | 38.071 | 45.26 | 52.41 | 7.15 | 15.8 | H317; H341; H350; H370; H373; H411 |
| 66 | Nitric oxide | 38.503 | 0.89 | 0.58 | −0.31 | −34.8 | H270; H280; H314; H318; H330; H331; H373 |
| 67 | Ammonia | 38.813 | 0.61 | 0.89 | 0.28 | 45.9 | H221; H314; H331; H400 |
| 68 | Water | 39.136 | 4.67 | 3.46 | −1.21 | −25.9 | Not classified |
| 69 | Nitrogen dioxide | 40.054 | 0.73 | 0.44 | −0.29 | −39.7 | H270; H280; H314; H318; H330 |
| Functional Group/Bond | Counts | Examples |
|---|---|---|
| Alkene | 38 | 1-Butene, Isoprene, 1-Hexene, 1-Dodecene |
| Alkene incorporated in benzene ring structure | 21 | M-Xylene, P-Xylene, O-Xylene, 3-Ethyltoluene, 9-Vinylcarbazole, Carbazole |
| Alkyne | 1 | 3-Penten-1-yne |
| Phenyl | 19 | 4,4′-Methylenedianiline, N-Methyldiphenylamine |
| Amine | 20 | Aniline, N-Methylaniline, 2,5-Dimethylaniline |
| Alcohol | 8 | 2-Ethylhexanol, Trimethylolpropane, Diethylene glycol |
| Ether | 1 | Diethylene glycol |
| Aldehyde | 4 | 2-Butenal, Tiglic aldehyde, N-Formylindoline, Acrolein |
| Ketone | 2 | 2-Heptanone, 9-Octadecanone |
| Amide | 2 | N-Methylacetanilide, Oxindole |
| Isocyanide | 1 | Methyl isocyanide |
| Isocyanate | 1 | Phenyl isocyanate |
| Nitrile | 4 | Benzyl cyanide, Benzonitrile, Phenoxyacetonitrile |
| GHS Hazard | H Code | Phrase | Compounds with H Code | Fraction of all Pyrolysis Products (%) |
|---|---|---|---|---|
| Physical hazards | H220 | Extremely flammable gas | 2 | 3 |
| H221 | Flammable gas | 2 | 3 | |
| H224 | Extremely flammable liquid and vapor | 1 | 1 | |
| H225 | Highly flammable liquid and vapor | 10 | 14 | |
| H226 | Flammable liquid and vapor | 11 | 16 | |
| H270 | May cause or intensify fire; oxidizer | 2 | 3 | |
| H280 | Contains gas under pressure; may explode if heated | 4 | 6 | |
| H281 | Contains refrigerated gas; may cause cryogenic burns or injury | 1 | 1 | |
| Health hazards | H301 | Toxic if swallowed | 10 | 14 |
| H302 | Harmful if swallowed | 16 | 23 | |
| H304 | May be fatal if swallowed and enters airways | 13 | 19 | |
| H310 | Fatal in contact with skin | 1 | 1 | |
| H311 | Toxic in contact with skin | 10 | 14 | |
| H312 | Harmful in contact with skin | 11 | 16 | |
| H314 | Causes severe skin burns and eye damage | 6 | 9 | |
| H315 | Causes skin irritation | 25 | 36 | |
| H317 | May cause an allergic skin reaction | 4 | 6 | |
| H318 | Causes serious eye damage | 8 | 12 | |
| H319 | Causes serious eye irritation | 19 | 28 | |
| H330 | Fatal if inhaled | 7 | 10 | |
| H331 | Toxic if inhaled | 10 | 14 | |
| H332 | Harmful if inhaled | 12 | 17 | |
| H334 | May cause allergy or asthma symptoms or breathing difficulties if inhaled | 2 | 3 | |
| H335 | May cause respiratory irritation | 17 | 25 | |
| H336 | May cause drowsiness or dizziness | 2 | 3 | |
| H340 | May cause genetic defects | 1 | 1 | |
| H341 | Suspected of causing genetic defects | 7 | 10 | |
| H350 | May cause cancer | 3 | 4 | |
| H351 | Suspected of causing cancer | 4 | 6 | |
| H361d | Suspected of damaging the unborn child | 2 | 3 | |
| H370 | Causes damage to organs | 2 | 3 | |
| H372 | Causes damage to organs through prolonged or repeated exposure | 4 | 6 | |
| H373 | May cause damage to organs through prolonged or repeated exposure | 11 | 16 | |
| Environmental hazards | H400 | Very toxic to aquatic life | 13 | 19 |
| H410 | Very toxic to aquatic life with long-lasting effects | 9 | 13 | |
| H411 | Toxic to aquatic life with long-lasting effects | 10 | 14 | |
| H412 | Harmful to aquatic life with long-lasting effects | 5 | 7 | |
| H413 | May cause long-lasting harmful effects to aquatic life | 2 | 3 | |
| Not classified | - | - | 12 | 17 |
Publisher’s Note: MDPI stays neutral with regard to jurisdictional claims in published maps and institutional affiliations. |
© 2021 by the authors. Licensee MDPI, Basel, Switzerland. This article is an open access article distributed under the terms and conditions of the Creative Commons Attribution (CC BY) license (https://creativecommons.org/licenses/by/4.0/).
Share and Cite
Reinerte, S.; Jurkjane, V.; Cabulis, U.; Viksna, A. Identification and Evaluation of Hazardous Pyrolysates in Bio-Based Rigid Polyurethane-Polyisocyanurate Foam Smoke. Polymers 2021, 13, 3205. https://doi.org/10.3390/polym13193205
Reinerte S, Jurkjane V, Cabulis U, Viksna A. Identification and Evaluation of Hazardous Pyrolysates in Bio-Based Rigid Polyurethane-Polyisocyanurate Foam Smoke. Polymers. 2021; 13(19):3205. https://doi.org/10.3390/polym13193205
Chicago/Turabian StyleReinerte, Sanita, Vilhelmine Jurkjane, Ugis Cabulis, and Arturs Viksna. 2021. "Identification and Evaluation of Hazardous Pyrolysates in Bio-Based Rigid Polyurethane-Polyisocyanurate Foam Smoke" Polymers 13, no. 19: 3205. https://doi.org/10.3390/polym13193205
APA StyleReinerte, S., Jurkjane, V., Cabulis, U., & Viksna, A. (2021). Identification and Evaluation of Hazardous Pyrolysates in Bio-Based Rigid Polyurethane-Polyisocyanurate Foam Smoke. Polymers, 13(19), 3205. https://doi.org/10.3390/polym13193205





