Chitosan-Urea Nanocomposite for Improved Fertilizer Applications: The Effect on the Soil Enzymatic Activities and Microflora Dynamics in N Cycle of Potatoes (Solanum tuberosum L.)
Abstract
1. Introduction
2. Materials and Methods
2.1. Materials
2.2. Synthesis and Characterization of Nano-Polymer Urea Composite
2.3. UV-Vis Spectroscopy
2.4. Transmission Electron Microscopy (TEM)
2.5. Scanning Electron Microscopy (SEM) and SEM-Energy-Dispersive Spectroscopy (SEM-EDS)
2.6. Fourier Transform-Infrared Spectroscopy (FT-IR Spectroscopy)
2.7. Urea Release Profile and Encapsulation Efficiency
2.8. In Vitro Biodegradation Assay
2.9. Experimental Design
2.10. Soil Chemical Characterization
2.11. Enumeration of the Culturable Microbial Population
2.12. Soil Enzyme Activity
2.13. Molecular Characterization of Eubacterial and Archaeal Ammonia-Oxidizing Populations by q-Polymerase Chain Reaction (q-PCR)
2.14. Potato Vegetative Growth and Yield Traits
2.15. Statistical Analysis
3. Results
3.1. Characterization of Nano-Polymer Urea Composite
3.2. Soil Chemical and Microbiological Properties
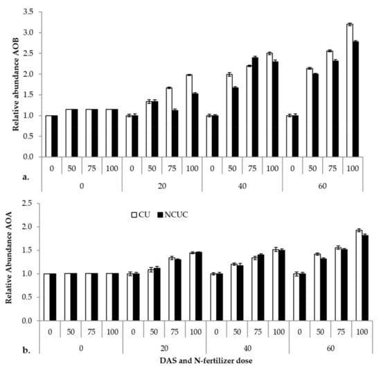
3.3. Soil Ammonia-Oxidizing Microbial Population Analyzed through Real-Time PCR (q-PCR)
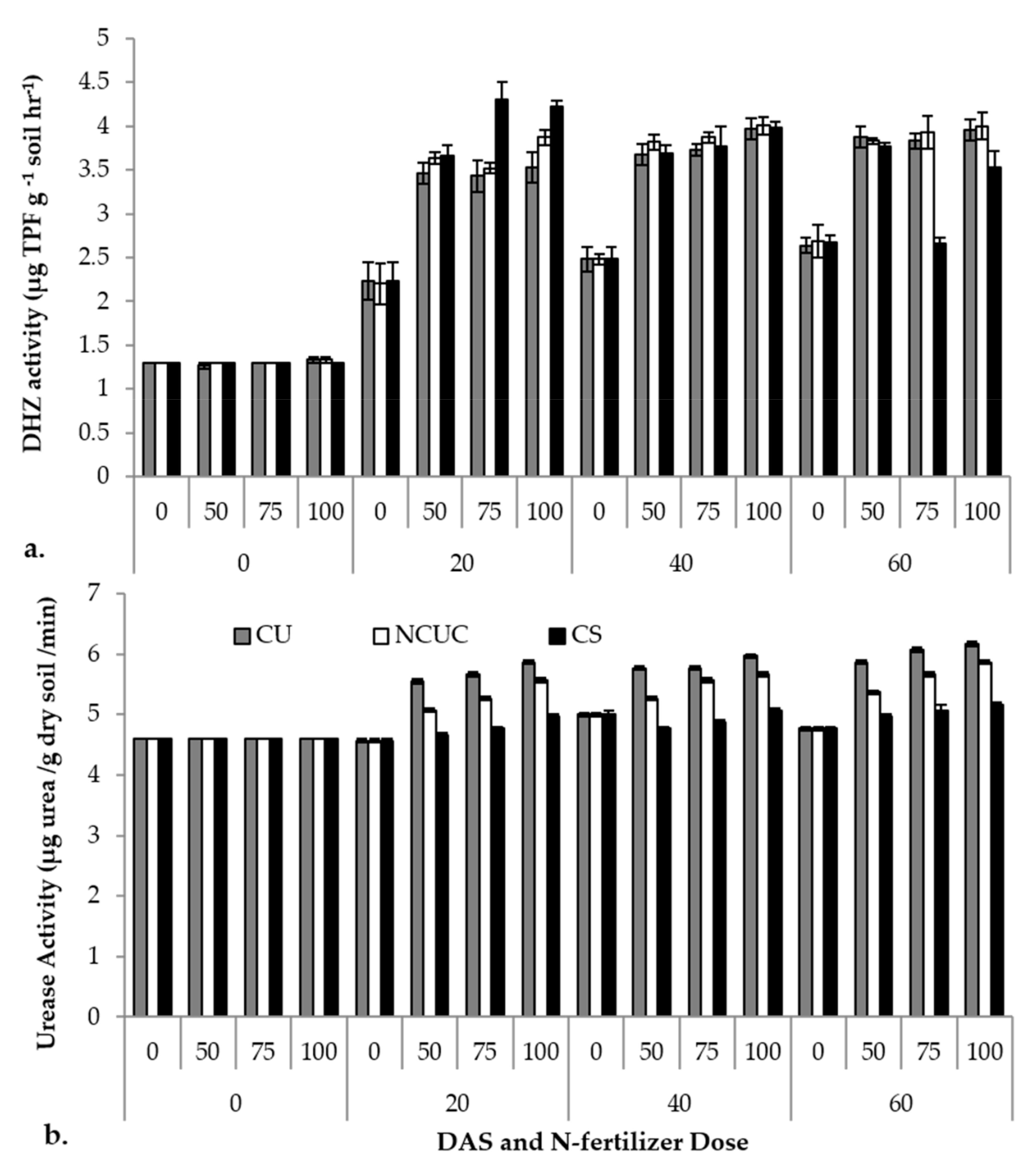
3.4. Soil Enzymatic Activities
3.5. Potato Vegetative Growth and Yield Traits
4. Discussion
5. Conclusions
Supplementary Materials
Author Contributions
Funding
Institutional Review Board Statement
Informed Consent Statement
Data Availability Statement
Acknowledgments
Conflicts of Interest
References
- Cao, W.; Tibbitts, T.W. Study of various NH4+/NO3-mixtures for enhancing growth of potatoes. J. Plant Nutr. 1993, 16, 1691–1704. [Google Scholar] [CrossRef] [PubMed]
- Silva, J.G.; França, M.G.C.; Gomide, F.T.F.; Magalhaes, J.R. Different Nitrogen Sources Affect Biomass Partitioning and Quality of Potato Production in a Hydroponic System. Am. J. Potato Res. 2013, 90, 179–185. [Google Scholar] [CrossRef]
- Bundy, L.G.; Andraski, T.W. Recovery of Fertilizer Nitrogen in Crop Residues and Cover Crops on an Irrigated Sandy Soil. Soil Sci. Soc. Am. J. 2005, 69, 640. [Google Scholar] [CrossRef]
- Laboski, C.A.M.; Kelling, K.A. Influence of fertilizer management and soil fertility on tuber specific gravity: A review. Am. J. Potato Res. 2007, 84, 283–290. [Google Scholar] [CrossRef]
- Shoji, S.; Delgado, J.; Mosier, A.; Miura, Y. Use of controlled release fertilizers and nitrification inhibitors to increase nitrogen use efficiency and to conserve air and water quality. Commun. Soil Sci. Plant Anal. 2001, 32, 1051–1070. [Google Scholar] [CrossRef]
- Joern, B.C.; Vitosh, M.L. Influence of applied nitrogen on potato Part I: Yield, quality, and nitrogen uptake. Am. Potato J. 1995, 72, 51–63. [Google Scholar] [CrossRef]
- DeRosa, M.C.; Monreal, C.; Schnitzer, M.; Walsh, R.; Sultan, Y. Nanotechnology in fertilizers. Nat. Nanotechnol. 2010, 5, 91. [Google Scholar] [CrossRef]
- Naderi, M.R.; Danesh-Shahraki, A. Nanofertilizers and their roles in sustainable agriculture. Int. J. Agric. Crop Sci. 2013, IJACS/2013, 2229–2232. [Google Scholar]
- Zheng, W.; Sui, C.; Liu, Z.; Geng, J.; Tian, X.; Yang, X.; Li, C.; Zhang, M. Long-Term effects of controlled-release urea on crop yields and soil fertility under wheat–corn double cropping systems. Agron. J. 2016, 108, 1703–1716. [Google Scholar] [CrossRef]
- Tian, X.; Geng, J.; Guo, Y.; Li, C.; Zhang, M.; Chen, J. Controlled-release urea decreased ammonia volatilization and increased nitrogen use efficiency of cotton. J. Plant Nutr. Soil Sci. 2017, 180, 667–675. [Google Scholar] [CrossRef]
- Knight, E.C.; Guertal, E.A.; Wood, C.W. Mowing and nitrogen source effects on ammonia volatilization from turfgrass. Crop Sci. 2007, 47, 1628–1634. [Google Scholar] [CrossRef]
- Norton, J.M.; Schepers, J.S.; Raun, W.R. Nitrification in Agricultural Soils. In Nitrogen in Agricultural Soils; Raun, W.R., Schepers, J.S., Eds.; American Society for Agronomy, CSSA SSSA Inc.: Madison, WI, USA, 2008; pp. 173–199. [Google Scholar]
- Liu, C.W.; Sung, Y.; Chen, B.C.; Lai, H.Y. Effects of nitrogen fertilizers on the growth and nitrate content of lettuce (Lactuca sativa L.). Int. J. Environ. Res. Public Health 2014, 11, 4427–4440. [Google Scholar] [CrossRef] [PubMed]
- Meena, A.; Rao, K.S. Assessment of soil microbial and enzyme activity in the rhizosphere zone under different land use/cover of a semiarid region, India. Ecol. Process. 2021, 10, 1–12. [Google Scholar] [CrossRef]
- Bhowmik, A.; Kukal, S.S.; Saha, D.; Sharma, H.; Kalia, A.; Sharma, S. Potential indicators of soil health degradation in different land use-based ecosystems in the shiwaliks of northwestern India. Sustainability 2019, 11, 3908. [Google Scholar] [CrossRef]
- Chang, E.H.; Chung, R.S.; Tsai, Y.H. Effect of different application rates of organic fertilizer on soil enzyme activity and microbial population. Soil Sci. Plant Nutr. 2007, 53, 132–140. [Google Scholar] [CrossRef]
- Junejo, N.; Khanif, M.Y.; Dharejo, K.A.; Abdu, A.; Abdul-Hamid, H. A field evaluation of coated urea with biodegradable materials and selected urease inhibitors. Afr. J. Biotechnol. 2011, 10, 19729–19736. [Google Scholar] [CrossRef]
- Corradini, E.; de Moura, M.R.; Mattoso, L.H.C. A preliminary study of the incorparation of NPK fertilizer into chitosan nanoparticles. Express Polym. Lett. 2010, 4, 509–515. [Google Scholar] [CrossRef]
- Valášková, M.; Rieder, M.; Matějka, V.; Čapková, P.; Slíva, A. Exfoliation/delamination of kaolinite by low-temperature washing of kaolinite-urea intercalates. Appl. Clay Sci. 2007, 35, 108–118. [Google Scholar] [CrossRef]
- Gao, X.; Li, C.; Zhang, M.; Wang, R.; Chen, B. Controlled release urea improved the nitrogen use efficiency, yield and quality of potato (Solanum tuberosum L.) on silt loamy soil. Field Crop. Res. 2015, 181, 60–68. [Google Scholar] [CrossRef]
- Garavand, F.; Cacciotti, I.; Vahedikia, N.; Rehman, A.; Tarhan, Ö.; Akbari-Alavijeh, S.; Shaddel, R.; Rashidinejad, A.; Nejatian, M.; Jafarzadeh, S.; et al. A comprehensive review on the nanocomposites loaded with chitosan nanoparticles for food packaging. Crit. Rev. Food Sci. Nutr. 2020, 1–34. [Google Scholar] [CrossRef] [PubMed]
- Lawrencia, D.; Wong, S.K.; Low, D.Y.S.; Goh, B.H.; Goh, J.K.; Ruktanonchai, U.R.; Soottitantawat, A.; Lee, L.H.; Tang, S.Y. Controlled release fertilizers: A review on coating materials and mechanism of release. Plants 2021, 10, 238. [Google Scholar] [CrossRef] [PubMed]
- Cacciotti, I.; Lombardelli, C.; Benucci, I.; Esti, M. Clay/chitosan biocomposite systems as novel green carriers for covalent immobilization of food enzymes. J. Mater. Res. Technol. 2019, 8, 3644–3652. [Google Scholar] [CrossRef]
- Talarico, D.; Arduini, F.; Amine, A.; Cacciotti, I.; Moscone, D.; Palleschi, G. Screen-printed electrode modified with carbon black and chitosan: A novel platform for acetylcholinesterase biosensor development. Anal. Bioanal. Chem. 2016, 408, 7299–7309. [Google Scholar] [CrossRef]
- Barbieri, M.; Cellini, F.; Cacciotti, I.; Peterson, S.D.; Porfiri, M. In situ temperature sensing with fluorescent chitosan-coated PNIPAAm/alginate beads. J. Mater. Sci. 2017, 52, 12506–12512. [Google Scholar] [CrossRef]
- Ayub, G.S.E.; Rocha, S.C.S.; Perrucci, A.L.I. Analysis of the surface quality of sulphur-coated urea particles in a two-dimensional spouted bed. Braz. J. Chem. Eng. 2001, 18, 13–22. [Google Scholar] [CrossRef]
- Rajan, M.; Shahena, S.; Chandran, V.; Mathew, L. Controlled release of fertilizers—Concept, reality, and mechanism. In Controlled Release Fertilizers for Sustainable Agriculture; Elsevier: Amsterdam, The Netherlands, 2021; pp. 41–56. ISBN 9780128195550. [Google Scholar]
- Jarudilokkul, S.; Tongthammachat, A.; Boonamnuayvittaya, V. Preparation of chitosan nanoparticles for encapsulation and release of protein. Korean J. Chem. Eng. 2011, 28, 1247–1251. [Google Scholar] [CrossRef]
- Kamat, V.; Bodas, D.; Paknikar, K. Chitosan nanoparticles synthesis caught in action using microdroplet reactions. Sci. Rep. 2016, 6, 8–11. [Google Scholar] [CrossRef]
- Yan, J.; Guan, Z.Y.; Zhu, W.F.; Zhong, L.Y.; Qiu, Z.Q.; Yue, P.F.; Wu, W.T.; Liu, J.; Huang, X. Preparation of puerarin chitosan oral nanoparticles by ionic gelation method and its related kinetics. Pharmaceutics 2020, 12, 216. [Google Scholar] [CrossRef]
- Vahedikia, N.; Garavand, F.; Tajeddin, B.; Cacciotti, I.; Jafari, S.M.; Omidi, T.; Zahedi, Z. Biodegradable zein film composites reinforced with chitosan nanoparticles and cinnamon essential oil: Physical, mechanical, structural and antimicrobial attributes. Colloids Surf. B Biointerfaces 2019, 177, 25–32. [Google Scholar] [CrossRef]
- Giraldo, J.D.; Rivas, B.L. Determination of urea using p-N,N-dimethylaminobenzaldehyde: Solvent effect and interference of chitosan. J. Chil. Chem. Soc. 2017, 62, 3538–3542. [Google Scholar] [CrossRef]
- Jackson, M.L. Soil Chemical Analysis; Prentice Hall, Inc.: Englewood Cliffs, NJ, USA, 1958. [Google Scholar]
- Kjeldhal, J. A new method for the estimation of nitrogen in organic compounds. Ann. Chem. 1883, 22, 366–382. [Google Scholar]
- Reed, M.G.; Scott, A.D. Flame photometric methods of determining the potassium in potassium tetraphenylborate. Anal. Chem. 1961, 33, 773–775. [Google Scholar]
- Throndsen, J. Preservation and storage. In Phytoplankton Manual Monographs on Oceanographic Methodology; Sournia, A., Ed.; UNESCO: Paris, France, 1978; pp. 70–71. [Google Scholar]
- Casida, J.E. Biochemistry of pyrethrins. In Pyrethrum the natural insecticide; Casida, J.E., Ed.; Academic Press: Cambridge, MA, USA, 1973; pp. 101–120. [Google Scholar]
- Bremner, J.M.; Douglas, L.A. Inhibition of urease activity in soils. Soil Biol. Biochem. 1971, 3, 297–307. [Google Scholar] [CrossRef]
- Hoshino, T.; Noda, N.; Tsuneda, S.; Hirata, A.; Inamori, Y. Direct Detection by In Situ PCR of the amoA Gene in Biofilm Resulting from a Nitrogen Removal Process. Appl. Environ. Microbiol. 2001, 67, 5261–5266. [Google Scholar] [CrossRef] [PubMed][Green Version]
- Marusenko, Y.; Bates, S.T.; Anderson, I.; Johnson, S.L.; Soule, T.; Garcia-Pichel, F. Ammonia-oxidizing archaea and bacteria are structured by geography in biological soil crusts across North American arid lands. Ecol. Process. 2013, 2, 1–10. [Google Scholar] [CrossRef]
- Das, S.; Mitra, B.; Luthra, S.K.; Saha, A.; Hassan, M.M.; Hossain, A. Study on Morphological, Physiological Characteristics and Yields of Twenty-One Potato (Solanum tuberosum L.) Cultivars Grown in Eastern Sub-Himalayan Plains of India. Agronomy 2021, 11, 335. [Google Scholar] [CrossRef]
- Steel, R.G.D.; Torrie, J.H. Principles and Procedures of Statistics: A Biometrical Approach, 2nd ed.; McGraw-Hill Book Co.: New York, NY, USA, 1980; ISBN 9780070609266. [Google Scholar]
- Sharma, S.P.; Leskovar, D.I.; Volder, A.; Crosby, K.M.; Ibrahim, A.M.H. Root distribution patterns of reticulatus and inodorus melon (Cucumis melo L.) under subsurface deficit irrigation. Irrig. Sci. 2018, 36, 301–317. [Google Scholar] [CrossRef]
- AbdElhady, M.M. Preparation and Characterization of Chitosan/Zinc Oxide Nanoparticles for Imparting Antimicrobial and UV Protection to Cotton Fabric. Int. J. Carbohydr. Chem. 2012, 2012, 1–6. [Google Scholar] [CrossRef]
- Liu, D.; Wei, Y.; Yao, P.; Jiang, L. Determination of the degree of acetylation of chitosan by UV spectrophotometry using dual standards. Carbohydr. Res. 2006, 341, 782–785. [Google Scholar] [CrossRef] [PubMed]
- Hussain, M.R.; Devi, R.R.; Maji, T.K. Controlled release of urea from chitosan microspheres prepared by emulsification and cross-linking method. Iran. Polym. J. 2012, 21, 473–479. [Google Scholar] [CrossRef]
- Benucci, I.; Liburdi, K.; Cacciotti, I.; Lombardelli, C.; Zappino, M.; Nanni, F.; Esti, M. Chitosan/clay nanocomposite films as supports for enzyme immobilization: An innovative green approach for winemaking applications. Food Hydrocoll. 2018, 74, 124–131. [Google Scholar] [CrossRef]
- Oh, J.W.; Chun, S.C.; Chandrasekaran, M. Preparation and in vitro characterization of chitosan nanoparticles and their broad-spectrum antifungal action compared to antibacterial activities against phytopathogens of tomato. Agronomy 2019, 9, 21. [Google Scholar] [CrossRef]
- Gan, Q.; Wang, T. Chitosan nanoparticle as protein delivery carrier-Systematic examination of fabrication conditions for efficient loading and release. Colloids Surf. B Biointerfaces 2007, 59, 24–34. [Google Scholar] [CrossRef]
- Dhillon, G.S.; Kaur, S.; Brar, S.K. Facile fabrication and characterization of chitosan-based zinc oxide nanoparticles and evaluation of their antimicrobial and antibiofilm activity. Int. Nano Lett. 2014, 4. [Google Scholar] [CrossRef]
- Sreekumar, S.; Goycoolea, F.M.; Moerschbacher, B.M.; Rivera-Rodriguez, G.R. Parameters influencing the size of chitosan-TPP nano- and microparticles. Sci. Rep. 2018, 8, 4695. [Google Scholar] [CrossRef]
- Xue, C.; Wilson, L.D. Kinetic study on urea uptake with chitosan based sorbent materials. Carbohydr. Polym. 2016, 135, 180–186. [Google Scholar] [CrossRef]
- Vijayalakshmi, V.; Hina Kousar, P.A.; Das, S. Optimization and characterization of chitosan based nanocarrier for the application of cancer drug delivery. J. Crit. Rev. 2020, 7, 762–769. [Google Scholar] [CrossRef]
- Agarwal, M.; Agarwal, M.K.; Shrivastav, N.; Pandey, S.; Das, R.; Gaur, P. Preparation of Chitosan Nanoparticles and their In-vitro Characterization. Int. J. Life-Sci. Sci. Res. 2018, 4, 1713–1720. [Google Scholar] [CrossRef]
- Luo, Y.; Zhang, B.; Whent, M.; Yu, L.L.; Wang, Q. Preparation and characterization of zein/chitosan complex for encapsulation of α-tocopherol, and its in vitro controlled release study. Colloids Surf. B Biointerfaces 2011, 85, 145–152. [Google Scholar] [CrossRef] [PubMed]
- Liu, Y.; Zhou, C.; Sun, Y. A biomimetic strategy for controllable degradation of chitosan scaffolds. J. Mater. Res. 2012, 27, 1859–1868. [Google Scholar] [CrossRef]
- Cunha-Reis, C.; Tuzlakoglu, K.; Baas, E.; Yang, Y.; El Haj, A.; Reis, R.L. Influence of porosity and fibre diameter on the degradation of chitosan fibre-mesh scaffolds and cell adhesion. J. Mater. Sci. Mater. Med. 2007, 18, 195–200. [Google Scholar] [CrossRef] [PubMed]
- Thein-Han, W.W.; Kitiyanant, Y. Chitosan Scaffolds for In Vitro Buffalo Embryonic Stem-Like Cell Culture: An Approach to Tissue Engineering. J. Biomed. Mater. Res. 2007, 80B, 92–101. [Google Scholar] [CrossRef]
- Lu, G.; Kong, L.; Sheng, B.; Wang, G.; Gong, Y.; Zhang, X. Degradation of covalently cross-linked carboxymethyl chitosan and its potential application for peripheral nerve regeneration. Eur. Polym. J. 2007, 43, 3807–3818. [Google Scholar] [CrossRef]
- Islam, N.; Dmour, I.; Taha, M.O. Degradability of chitosan micro/nanoparticles for pulmonary drug delivery. Heliyon 2019, 5, e01684. [Google Scholar] [CrossRef]
- Alva, A.K.; Hodges, T.; Boydston, R.A.; Collins, H.P. Effects of irrigation and tillage practices on yield of potato under high production conditions in the pacific northwest. Commun. Soil Sci. Plant Anal. 2002, 33, 1451–1460. [Google Scholar] [CrossRef]
- Ostonen, I.; Püttsepp, Ü.; Biel, C.; Alberton, O.; Bakker, M.R.; Lõhmus, K.; Majdi, H.; Metcalfe, D.; Olsthoorn, A.F.M.; Pronk, A.; et al. Specific root length as an indicator of environmental change. Plant Biosyst. 2007, 141, 426–442. [Google Scholar] [CrossRef]
- Rhoades, J.D.; Miyamoto, S. Testing Soils for Salinity and Sodicity. In Soil Testing and Plant Analysis; Westerman, R.L., Ed.; Soil Science Society of America Inc.: Madison, WI, USA, 1990; pp. 299–336. [Google Scholar]
- Paramasivam, S.; Alva, A.K. Leaching of nitrogen forms from controlled-release nitrogen fertilizers. Commun. Soil Sci. Plant Anal. 1997, 28, 1663–1674. [Google Scholar] [CrossRef]
- Zhang, K.; Xu, J.; Wang, K.Y.; Cheng, L.; Wang, J.; Liu, B. Preparation and characterization of chitosan nanocomposites with vermiculite of different modification. Polym. Degrad. Stab. 2009, 94, 2121–2127. [Google Scholar] [CrossRef]
- Dandurand, L.M.C.; Knudsen, G.R. Sampling microbes from the rhizosphere and phyllosphere. In Manual of Environmental Microbiology; Hurst, C.J., Crawford, R.L., Knudsen, G.R., McInerney, M.J., Stetzenbach, L.D., Eds.; American Society for Microbiology (ASM): Washington, DC, USA, 2002; pp. 516–526. [Google Scholar]
- Prosser, J.I.; Nicol, G.W. Archaeal and bacterial ammonia-oxidisers in soil: The quest for niche specialisation and differentiation. Trends Microbiol. 2012, 20, 523–531. [Google Scholar] [CrossRef] [PubMed]
- de Vries, F.T.; Hoffland, E.; van Eekeren, N.; Brussaard, L.; Bloem, J. Fungal/bacterial ratios in grasslands with contrasting nitrogen management. Soil Biol. Biochem. 2006, 38, 2092–2103. [Google Scholar] [CrossRef]
- Pereira, E.I.; Da Cruz, C.C.T.; Solomon, A.; Le, A.; Cavigelli, M.A.; Ribeiro, C. Novel slow-release nanocomposite nitrogen fertilizers: The impact of polymers on nanocomposite properties and function. Ind. Eng. Chem. Res. 2015, 54, 3717–3725. [Google Scholar] [CrossRef]
- Zhang, X.; Liu, W.; Schloter, M.; Zhang, G.; Chen, Q.; Huang, J.; Li, L.; Elser, J.J.; Han, X. Response of the Abundance of Key Soil Microbial Nitrogen-Cycling Genes to Multi-Factorial Global Changes. PLoS ONE 2013, 8, 2–11. [Google Scholar] [CrossRef] [PubMed]
- Jung, J.; Yeom, J.; Kim, J.; Han, J.; Lim, H.S.; Park, H.; Hyun, S.; Park, W. Change in gene abundance in the nitrogen biogeochemical cycle with temperature and nitrogen addition in Antarctic soils. Res. Microbiol. 2011, 162, 1018–1026. [Google Scholar] [CrossRef] [PubMed]
- Dharmakeerthi, R.S.; Thenabadu, M.W. Urease activity in soils: A review. J. Natl. Sci. Ctries. Sri Lanka 1996, 24, 159–195. [Google Scholar] [CrossRef]
- Simonne, E.H.; Hutchinson, C.M. Controlled-release Fertilizers for Vegetable Production in the Era of Best Management Practices: Teaching New Tricks to an Old Dog. Horttechnology 2005, 15, 36–46. [Google Scholar] [CrossRef]
- Ziadi, N.; Grant, C.; Samson, N.; Nyiraneza, J.; Bélanger, G.; Parent, L.É. Efficiency of controlled-release urea for a potato production system in Quebec, Canada. Agron. J. 2011, 103, 60–66. [Google Scholar] [CrossRef]






| Source of Variation | pH | OC (%) | EC (dS/m) | ABC | AOB | NRB | Fungi |
|---|---|---|---|---|---|---|---|
| DAT | |||||||
| 0 | 6.50e | 0.21e | 0.27e | 7.45d | 4.61e | 4.64e | 3.83e |
| 20 | 6.97d | 0.27d | 0.57d | 7.56c | 4.83c | 4.81c | 3.93d |
| 40 | 7.36b | 0.28c | 0.59c | 7.89b | 4.98b | 4.92b | 4.02c |
| 60 | 7.62a | 0.29a | 0.60b | 8.02a | 5.07a | 4.98a | 4.14b |
| 90 | 7.07c | 0.28b | 0.62a | 7.40d | 4.78d | 4.71d | 4.27a |
| N fertilizer | |||||||
| CU | 7.14a | 0.25c | 0.54a | 7.70b | 5.05a | 4.95a | 4.08b |
| NCUC | 7.12c | 0.27b | 0.52c | 7.81a | 4.88b | 4.85b | 4.16a |
| CS | 7.10b | 0.27a | 0.53b | 7.64c | 4.81c | 4.76c | 4.02c |
| N level | |||||||
| 0 | 7.00d | 0.23d | 0.49d | 7.33d | 4.64d | 4.60d | 3.94d |
| 50 | 7.05c | 0.26c | 0.51c | 7.75c | 4.93c | 4.86c | 4.06c |
| 75 | 7.16b | 0.28b | 0.55b | 7.85b | 5.01b | 4.94b | 4.14b |
| 100 | 7.21a | 0.29a | 0.57a | 7.94a | 5.08a | 5.02a | 4.22a |
| SOURCE | DF | pH | OC (%) | EC (dS/m) | ABC | AOB | NRB | Fungi |
|---|---|---|---|---|---|---|---|---|
| DAS | 4 | 6.471 *** | 0.043 *** | 0.788 *** | 2.970 *** | 0.621 *** | 0.501 *** | 0.771 *** |
| Source | 2 | 0.080 *** | 0.006 *** | 0.006 *** | 0.377 *** | 0.683 *** | 0.397 *** | 0.220 *** |
| DAS*Source | 8 | 0.119 *** | 0.005 *** | 0.005 *** | 0.003 *** | 0.003 *** | 0.010 *** | 0.002ns |
| N level | 3 | 0.437 *** | 0.031 *** | 0.054 *** | 2.664 *** | 1.308 *** | 1.218 *** | 0.520 *** |
| DAS*N level | 12 | 0.089 *** | 0.002 *** | 0.003 *** | 0.165 *** | 0.027 *** | 0.002 *** | 0.002ns |
| Source*N level | 6 | 0.053 *** | 0.007 *** | 0.001 *** | 0.044 *** | 0.076 *** | 0.051 *** | 0.026 *** |
| DAS*Source*N level | 24 | 0.022 *** | 0.001 *** | 0.0001 *** | 0.002 *** | 0.002 *** | 0.002 *** | 0.001ns |
| N Fertilizer Level | Fresh wt. | Dry wt. | Mean | ||||
|---|---|---|---|---|---|---|---|
| CU | NCUC | CS | CU | NCUC | CS | ||
| 0 | 18.27 ± 0.10d | 18.27 ± 0.10d | 18.27 ± 0.10d | 15.27 ± 0.14d | 15.00 ± 0.25d | 15.00 ± 0.25d | 16.68 |
| 50 | 23.39 ± 0.36c | 28.63 ± 0.12c | 23.50 ± 0.21c | 19.67 ± 0.19c | 24.63 ± 0.17c | 18.53 ± 0.19c | 23.06 |
| 75 | 26.48 ± 0.03b | 31.64 ± 0.21b | 24.54 ± 0.23b | 23.33 ± 0.06b | 28.67 ± 0.12b | 19.67 ± 0.15b | 25.72 |
| 100 | 27.44 ± 0.41a | 35.70 ± 0.08a | 26.33 ± 0.38a | 24.93 ± 0.19a | 32.40 ± 0.12a | 23.27 ± 0.20a | 28.34 |
| Mean | 23.89 | 28.56 | 23.16 | 20.8 | 25.17 | 19.12 | |
Publisher’s Note: MDPI stays neutral with regard to jurisdictional claims in published maps and institutional affiliations. |
© 2021 by the authors. Licensee MDPI, Basel, Switzerland. This article is an open access article distributed under the terms and conditions of the Creative Commons Attribution (CC BY) license (https://creativecommons.org/licenses/by/4.0/).
Share and Cite
Kondal, R.; Kalia, A.; Krejcar, O.; Kuca, K.; Sharma, S.P.; Luthra, K.; Dheri, G.S.; Vikal, Y.; Taggar, M.S.; Abd-Elsalam, K.A.; et al. Chitosan-Urea Nanocomposite for Improved Fertilizer Applications: The Effect on the Soil Enzymatic Activities and Microflora Dynamics in N Cycle of Potatoes (Solanum tuberosum L.). Polymers 2021, 13, 2887. https://doi.org/10.3390/polym13172887
Kondal R, Kalia A, Krejcar O, Kuca K, Sharma SP, Luthra K, Dheri GS, Vikal Y, Taggar MS, Abd-Elsalam KA, et al. Chitosan-Urea Nanocomposite for Improved Fertilizer Applications: The Effect on the Soil Enzymatic Activities and Microflora Dynamics in N Cycle of Potatoes (Solanum tuberosum L.). Polymers. 2021; 13(17):2887. https://doi.org/10.3390/polym13172887
Chicago/Turabian StyleKondal, Rohini, Anu Kalia, Ondrej Krejcar, Kamil Kuca, Sat Pal Sharma, Karanvir Luthra, Gurmeet Singh Dheri, Yogesh Vikal, Monica Sachdeva Taggar, Kamel A. Abd-Elsalam, and et al. 2021. "Chitosan-Urea Nanocomposite for Improved Fertilizer Applications: The Effect on the Soil Enzymatic Activities and Microflora Dynamics in N Cycle of Potatoes (Solanum tuberosum L.)" Polymers 13, no. 17: 2887. https://doi.org/10.3390/polym13172887
APA StyleKondal, R., Kalia, A., Krejcar, O., Kuca, K., Sharma, S. P., Luthra, K., Dheri, G. S., Vikal, Y., Taggar, M. S., Abd-Elsalam, K. A., & Gomes, C. L. (2021). Chitosan-Urea Nanocomposite for Improved Fertilizer Applications: The Effect on the Soil Enzymatic Activities and Microflora Dynamics in N Cycle of Potatoes (Solanum tuberosum L.). Polymers, 13(17), 2887. https://doi.org/10.3390/polym13172887

