Fabrication of Magnetic Catalyst Fe3O4-SiO2-V3 and Its Application on Lignin Extraction from Corncob in Deep Eutectic Solvent
Abstract
1. Introduction
2. Materials and Methods
2.1. Materials
2.2. Chemicals and Reagents
2.3. Preparation of DES
2.4. Preparation of the Catalyst
2.5. The Extraction Process of Lignin
- X: percentage of solid residue quality, %;
- Y: lignin extraction rate, %;
- m0: quality of corncob, g;
- m1: quality of solid residue, g.
- m2: quality of lignin, g;
- w: lignin content in corncob, %.
2.6. Samples Characterization and Calculation
2.6.1. Characterization of the Catalyst
2.6.2. Characterization and Calculation of the Corncob and the Products
- I002 is the intensity of 002 lattice diffraction (2θ = 22.7°);
- Iam is the intensity of amorphous section (2θ = 16.5°).
3. Results and Discussion
3.1. Characteristics of the Catalyst
3.2. Calculation of Crystallinity of Solid Residue
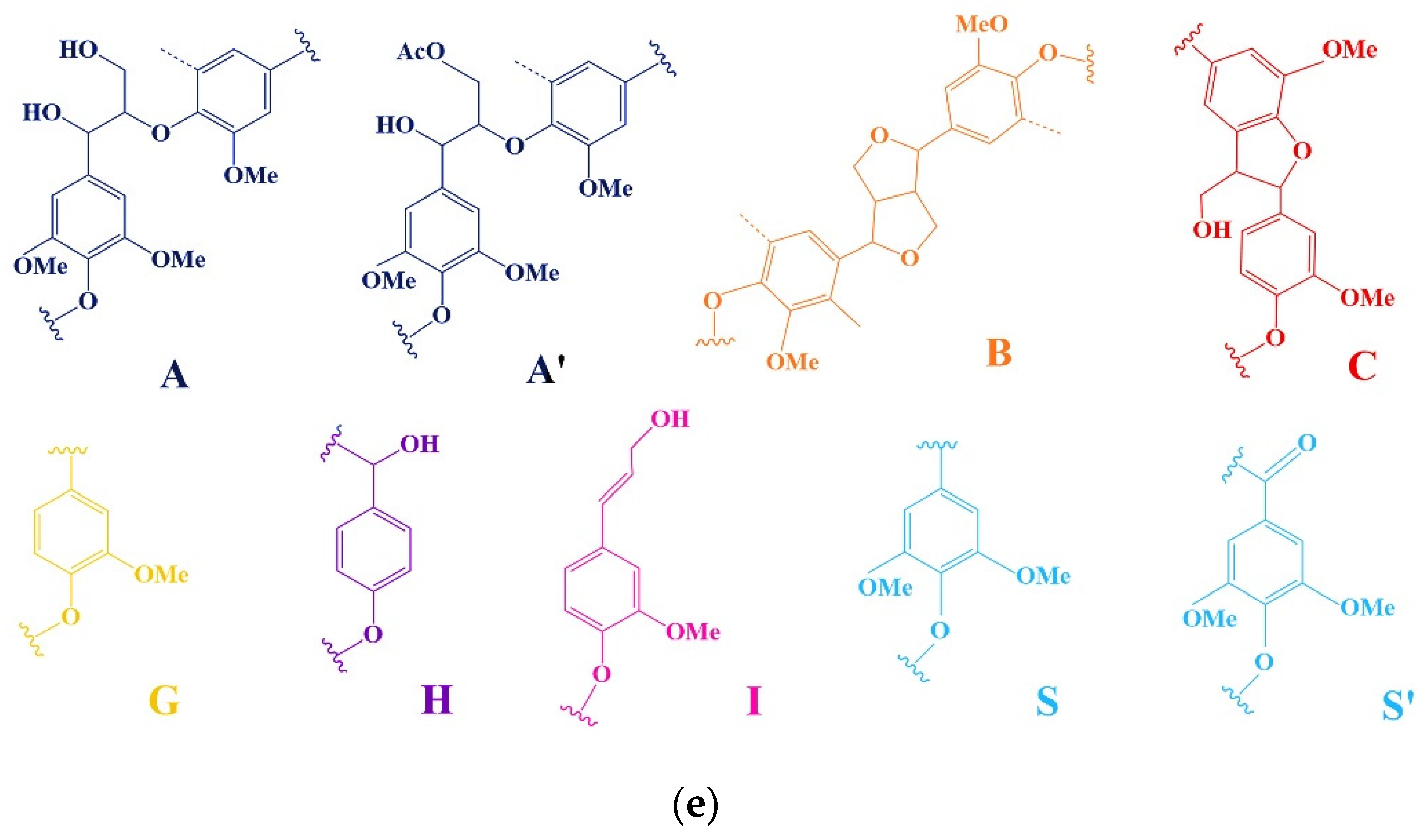
3.3. Characterization of Lignin
3.4. Possible Mechanism of the Catalysis Process
3.5. Reusability of the Magnetic Catalyst
4. Conclusions
Author Contributions
Funding
Institutional Review Board Statement
Informed Consent Statement
Data Availability Statement
Acknowledgments
Conflicts of Interest
References
- Feofilova, E.P.; Mysyakina, I.S. Lignin: Chemical structure, biodegradation, and practical application (a review). Appl. Biochem. Microbiol. 2016, 52, 573–581. [Google Scholar] [CrossRef]
- Norgren, M.; Edlund, H. Lignin: Recent advances and emerging applications. Curr. Opin. Colloid Interface Sci. 2014, 19, 409–416. [Google Scholar] [CrossRef]
- Wang, H.; Pu, Y.; Ragauskas, A.; Yang, B. From Lignin to Valuable Products-Strategies, Challenges, and Prospects. Bioresour. Technol. 2018, 271, 449–461. [Google Scholar] [CrossRef] [PubMed]
- Xu, C.; Arancon, R.A.D.; Labidi, J.; Luque, R. Lignin depolymerisation strategies: Towards valuable chemicals and fuels. Chem. Soc. Rev. 2014, 43, 7485–7500. [Google Scholar] [CrossRef] [PubMed]
- Sathitsuksanoh, N.; Holtman, K.M.; Yelle, D.J.; Morgan, T.; Stavila, V.; Pelton, J.; Blanch, H.; Simmons, B.A.; George, A. Lignin fate and characterization during ionic liquid biomass pretreatment for renewable chemicals and fuels production. Green Chem. 2014, 16, 1236–1247. [Google Scholar] [CrossRef]
- Francisco, M.; Bruinhorst, A.; Kroon, M.C. New natural and renewable low transition temperature mixtures (LTTMs): Screening as solvents for lignocellulosic biomass processing. Green Chem. 2012, 14, 2153–2157. [Google Scholar] [CrossRef]
- Magdalena, Z.; Katarzyna, W.; Tadeusz, S. Deep eutectic solvents for polysaccharides processing. A review. Carbohydr. Polym. 2018, 200, 361–380. [Google Scholar] [CrossRef]
- Liu, Y.; Chen, W.; Xia, Q.; Guo, B.; Wang, Q.; Liu, S.; Liu, Y.; Li, J.; Yu, H. Efficient Cleavage of Lignin-Carbohydrate Complexes and Ultrafast Extraction of Lignin Oligomers from Wood Biomass by Microwave-Assisted Treatment with Deep Eutectic Solvent. ChemSusChem 2017, 10, 1692–1700. [Google Scholar] [CrossRef]
- Abdulmalek, E.; Zulkefli, S.; Rahman, M.B.A. Deep eutectic solvent as a media in swelling and dissolution of oil palm trunk. Malays. J. Anal. Sci. 2017, 21, 20–26. [Google Scholar] [CrossRef]
- Zhang, C.W.; Xia, S.Q.; Ma, P.S. Facile pretreatment of lignocellulosic biomass using deep eutectic solvents. Bioresour. Technol. 2016, 1–5. [Google Scholar] [CrossRef]
- Procentese, A.; Johnson, E.; Orr, V.; Campanile, A.G.; Wood, J.A.; Marzocchella, A.; Rehmann, L. Deep eutectic solvent pretreatment and subsequent saccharification of corncob. Bioresour. Technol. 2015, 31–36. [Google Scholar] [CrossRef]
- Garcia Gonzalez, M.N.; Levi, M.; Turri, S.; Griffini, G. Lignin nanoparticles by ultrasonication and their incorporation in waterborne polymer nanocomposites. J. Appl. Polym. Sci. 2017, 134. [Google Scholar] [CrossRef]
- An, Y.X.; Zong, M.H.; Wu, H.; Li, N. Pretreatment of lignocellulosic biomass with renewable cholinium ionic liquids: Biomass fractionation, enzymatic digestion and ionic liquid reuse. Bioresour. Technol. 2015, 192, 165–171. [Google Scholar] [CrossRef]
- Jeon, Y.M.; Kim, J.; Whang, D.; Kim, K. Molecular Container Assembly Capable of Controlling Binding and Release of Its Guest Molecules: Reversible Encapsulation of Organic Molecules in Sodium Ion Complexed Cucurbituril. J. Am. Chem. Soc. 1996, 118, 9790–9791. [Google Scholar] [CrossRef]
- Weinstock, I.A.; Atalla, R.H.; Reiner, R.S. A new environmentally benign technology for transforming wood pulp into paper. Engineering polyoxometalates as catalysts for multiple processes. J. Mol. Catal. A Chem. 1997, 116, 59–84. [Google Scholar] [CrossRef]
- Evtuguin, D.V.; Neto, C.P.; Rocha, J. Oxidative delignification in the presence of molybdovanadophosphate heteropolyanions: Mechanism and kinetic studies. Appl. Catal. A Gen. 1998, 167, 123–139. [Google Scholar] [CrossRef]
- Evtuguin, D.V.; Daniel, A.I.D.; Silvestre, A.J.D.; Amado, F.M.L.; Neto, C.P.; Mol, J. Lignin aerobic oxidation promoted by molybdovanadophosphate polyanion [PMo7V5O40]8−. Study on the oxidative cleavage of β-O-4 aryl ether structures using model compounds. J. Mol. Catal. A Chem. 2000, 154–217. [Google Scholar] [CrossRef]
- Guo, T.; Qiu, M.; Qi, X. Selective conversion of biomass-derived levulinic acid to ethyl levulinate catalyzed by metal organic framework (MOF)-supported polyoxometalates. Appl. Catal. A Gen. 2019, 572, 168–175. [Google Scholar] [CrossRef]
- Benadji, S.; Eloy, P.; Leonard, A.; Su, B.L.; Rabia, C.; Gaigneaux, E.M. Characterization of H3+xPMo12-xVxO40 heteropolyacids supported on HMS mesoporous molecular sieve and their catalytic performance in propene oxidation. Micropor. Mesopor. Mat. 2012, 154, 153–163. [Google Scholar] [CrossRef]
- Dupont, P.; Védrine, J.C.; Paumard, E.; Hecquet, G.; Lefebvre, F. Heteropolyacids supported on activated carbon as catalysts for the esterification of acrylic acid by butanol. Appl. Catal. A Gen. 1995, 129, 217–227. [Google Scholar] [CrossRef]
- Xu, W.; Li, X.; Shi, J. Catalytic depolymerization of lignin over cesium exchanged and transition-metal substituted heterogeneous polyoxometalates. Int. J. Biol. Macromol. 2019, 135, 171–179. [Google Scholar] [CrossRef]
- Muñiz, J.; Cuentas-Gallegos, A.K.; Robles, M.; Valdéz, M. Bond formation, electronic structure, and energy storage properties on polyoxometalateecarbon nanocomposites. Theor. Chem. Acc. 2016, 135, 92. [Google Scholar] [CrossRef]
- An, D.; Ye, A.; Deng, W. Selective Conversion of Cellobiose and Cellulose into Gluconic Acid in Water in the Presence of Oxygen, Catalyzed by Polyoxometalate-Supported Gold Nanoparticles. Chemistry 2012, 18, 2938–2947. [Google Scholar] [CrossRef] [PubMed]
- Zhang, J.; Liu, X.; Sun, M. Direct Conversion of Cellulose to Glycolic Acid with a Phosphomolybdic Acid Catalyst in a Water Medium. ACS Catal. 2012, 2, 1698–1702. [Google Scholar] [CrossRef]
- Wölfel, R.; Taccardi, N.; Bösmann, A.; Wasserscheid, P. Selective catalytic conversion of biobased carbohydrates to formic acid using molecular oxygen. Green Chem. 2011, 13, 2759–2763. [Google Scholar] [CrossRef]
- Dizaji, A.K.; Mortaheb, H.R.; Mokhtarani, B. Preparation of supported catalyst by adsorption of polyoxometalate on graphene oxide/reduced graphene oxide. Mater. Chem. Phys. 2017, 199, 424–434. [Google Scholar] [CrossRef]
- Baguc, I.B.; Saglam, S.; Ertas, I.E.; Keles, M.N.; Celebi, M.; Kaya, M.; Zahmakiran, M. Keggin Type-Polyoxometalate Decorated Ruthenium Nanoparticles: Highly Active and Selective Nanocatalyst for the Oxidation of Veratryl Alcohol as a Lignin Model Compound. Chemistryselect 2017, 2, 2487–2494. [Google Scholar] [CrossRef]
- Tsigdinos, G.A. Preparation and Characterization of 12-Molybdophosphoric and 12-Molybdosilicic Acids and Their Metal Salts. Chem. Inf. 1974, 13, 267–274. [Google Scholar] [CrossRef]
- Deng, Y.; Qi, D.; Deng, C.; Zhang, X.; Zhao, D. Superparamagnetic High-Magnetization Microspheres with an Fe3O4@SiO2 Core and Perpendicularly Aligned Mesoporous SiO2 Shell for Removal of Microcystins. J. Am. Chem. Soc. 2008, 130, 28. [Google Scholar] [CrossRef]
- Hou, Y.; Ma, J.; Wang, T.; Fu, Q. Phosphotungstic acid supported on magnetic core-shell nanoparticles with high photocatalytic activity. Mater. Sci. Semicond. Process. 2015, 39, 229–234. [Google Scholar] [CrossRef]
- Segal, L. An Empirical Method for Estimating the Degree of Crystallinity of Native Cellulose Using the X-Ray Diffractometer. Text. Res. J. 1959, 29, 786–794. [Google Scholar] [CrossRef]
- Sun, S.N.; Li, M.F.; Yuan, T.Q.; Xu, F.; Sun, R.C. Effect of ionic liquid/organic solvent pretreatment on the enzymatic hydrolysis of corncob for bioethanol production. Part 1: Structural characterization of the lignins. Ind. Crops Prod. 2013, 43, 570–577. [Google Scholar] [CrossRef]
- Jääskeläinen, A.S.; Sun, Y.; Argyropoulos, D.S.; Tamminen, T.; Hortling, B. The effect of isolation method on the chemical structure of residual lignin. Wood Sci. Technol. 2003, 37, 91–102. [Google Scholar] [CrossRef]
- Long, J.; Li, X.; Guo, B.; Wang, F.; Yu, Y.; Wang, L. Simultaneous delignification and selective catalytic transformation of agricultural lignocellulose in cooperative ionic liquid pairs. Green Chem. 2012, 14, 1935–1941. [Google Scholar] [CrossRef]
- Liu, J.; Qi, L.; Yang, G.; Xue, Y.; He, M.; Lucia, L.A.; Chen, J. Enhancement of Lignin Extraction of Poplar by Treatment of Deep Eutectic Solvent with Low Halogen Content. Polymers 2020, 12, 1599. [Google Scholar] [CrossRef] [PubMed]
- Zhao, X.B.; Wang, L.; Liu, D.H. Peracetic acid pretreatment of sugarcane bagasse for enzymatic hydrolysis: A continued work. J. Chem. Technol. Biotechnol. 2010, 83, 950–956. [Google Scholar] [CrossRef]
- Wen, J.L.; Sun, S.L.; Yuan, T.Q.; Sun, R.C. Structural elucidation of whole lignin from Eucalyptus based on preswelling and enzymatic hydrolysis. Green Chem. 2015, 17, 1589–1596. [Google Scholar] [CrossRef]
- Del Río, J.C.; Rencoret, J.; Prinsen, P.; Martínez, A.T.; Ralph, J.; Gutiérrez, A. Structural Characterization of Wheat Straw Lignin as Revealed by Analytical Pyrolysis, 2D-NMR, and Reductive Cleavage Methods. J. Agric. Food Chem. 2012, 60, 5922–5935. [Google Scholar] [CrossRef]
- Miles-Barrett, D.M.; Neal, A.R.; Hand, C.; Montgomery, J.R.; Panovic, I.; Ojo, O.S.; Lancefield, C.S.; Cordes, D.B.; Slawin, A.M.; Lebl, T.; et al. The synthesis and analysis of lignin-bound Hibbert ketone structures in technical lignins. Org. Biomol. Chem. 2016, 14, 10023–10030. [Google Scholar] [CrossRef]
- Lyu, G.; Li, T.; Ji, X.; Yang, G.; Liu, Y.; Lucia, L.; Chen, J. Characterization of Lignin Extracted from Willow by Deep Eutectic Solvent Treatments. Polymers 2018, 10, 869. [Google Scholar] [CrossRef] [PubMed]
- Lourenço, A.; Rencoret, J.; Chemetova, C.; Gominho, J.; Gutiérrez, A.; Pereira, H.; José, C. Isolation and Structural Characterization of Lignin from Cardoon(Cynara cardunculus L.) Stalks. BioEnergy Res. 2015, 8, 1946–1955. [Google Scholar] [CrossRef]
- Del Río, J.C.; Prinsen, P.; Rencoret, J.; Nieto, L.; Jiménez-Barbero, J.; Ralph, J.; Martínez, A.T.; Gutiérrez, A. Structural characterization of the lignin in the cortex and pith of elephant grass (Pennisetum purpureum) stems. J. Agric. Food Chem. 2012, 60, 3619. [Google Scholar] [CrossRef]
- Azarpira, A.; Ralph, J.; Lu, F. Catalytic Alkaline Oxidation of Lignin and its Model Compounds: A Pathway to Aromatic Biochemicals. BioEnergy Res. 2014, 7, 78–86. [Google Scholar] [CrossRef]
- Abednatanzi, S.; Abbasi, A.; Masteri-Farahani, M. Immobilization of catalytically active polyoxotungstate into ionic liquid-modified MIL-100(Fe): A recyclable catalyst for selective oxidation of benzyl alcohol. Catal. Commun. 2017, 96, 6–10. [Google Scholar] [CrossRef]
- Tsigdinos, G.A. Heteropoly compounds of molybdenum and tungsten. In Topics in Current Chemistry; Springer: Berlin/Heidelberg, Germany, 1978; Volume 76, pp. 1–64. [Google Scholar]
- Evtuguin, D.V.; Neto, C.P.; Rocha, J. Lignin Degradation in Oxygen Delignification Catalysed by [PMo7V5O40]8− Polyanion. Part, I. Study on Wood Lignin. Holzforschung 2000, 54, 381–389. [Google Scholar] [CrossRef]








| 90 °C | 100 °C | 110 °C | 120 °C | 130 °C | |
|---|---|---|---|---|---|
| CC-LA lignin (%) | 86.82 | 86.5 | 86.1 | 85.62 | 82.35 |
| CC-LA-Fe-Si-V3 lignin (%) | 98.25 | 97.75 | 97.6 | 97.09 | 95.34 |
| 90 °C | 100 °C | 110 °C | 120 °C | 130 °C | ||
|---|---|---|---|---|---|---|
| CC-LA lignin | Mw (g·mol−1) | 1752 | 1521 | 1461 | 1384 | 1366 |
| Mn (g·mol−1) | 909 | 795 | 776 | 740 | 731 | |
| PDI | 1.93 | 1.91 | 1.88 | 1.87 | 1.87 | |
| CC-LA-Fe-Si-V3 lignin | Mw (g·mol−1) | 1482 | 1451 | 1371 | 1336 | 1142 |
| Mn (g·mol−1) | 773 | 772 | 751 | 738 | 654 | |
| PDI | 1.92 | 1.88 | 1.83 | 1.81 | 1.75 |
Publisher’s Note: MDPI stays neutral with regard to jurisdictional claims in published maps and institutional affiliations. |
© 2021 by the authors. Licensee MDPI, Basel, Switzerland. This article is an open access article distributed under the terms and conditions of the Creative Commons Attribution (CC BY) license (https://creativecommons.org/licenses/by/4.0/).
Share and Cite
Yuan, M.; Wang, Z.; Liu, Y.; Yang, G. Fabrication of Magnetic Catalyst Fe3O4-SiO2-V3 and Its Application on Lignin Extraction from Corncob in Deep Eutectic Solvent. Polymers 2021, 13, 1545. https://doi.org/10.3390/polym13101545
Yuan M, Wang Z, Liu Y, Yang G. Fabrication of Magnetic Catalyst Fe3O4-SiO2-V3 and Its Application on Lignin Extraction from Corncob in Deep Eutectic Solvent. Polymers. 2021; 13(10):1545. https://doi.org/10.3390/polym13101545
Chicago/Turabian StyleYuan, Maonan, Zhen Wang, Yu Liu, and Guihua Yang. 2021. "Fabrication of Magnetic Catalyst Fe3O4-SiO2-V3 and Its Application on Lignin Extraction from Corncob in Deep Eutectic Solvent" Polymers 13, no. 10: 1545. https://doi.org/10.3390/polym13101545
APA StyleYuan, M., Wang, Z., Liu, Y., & Yang, G. (2021). Fabrication of Magnetic Catalyst Fe3O4-SiO2-V3 and Its Application on Lignin Extraction from Corncob in Deep Eutectic Solvent. Polymers, 13(10), 1545. https://doi.org/10.3390/polym13101545

