Synthesis, Characterization and Non-Isothermal Crystallization Kinetics of a New Family of Poly (Ether-Block-Amide)s Based on Nylon 10T/10I
Abstract
1. Introduction
2. Experimental
2.1. Materials
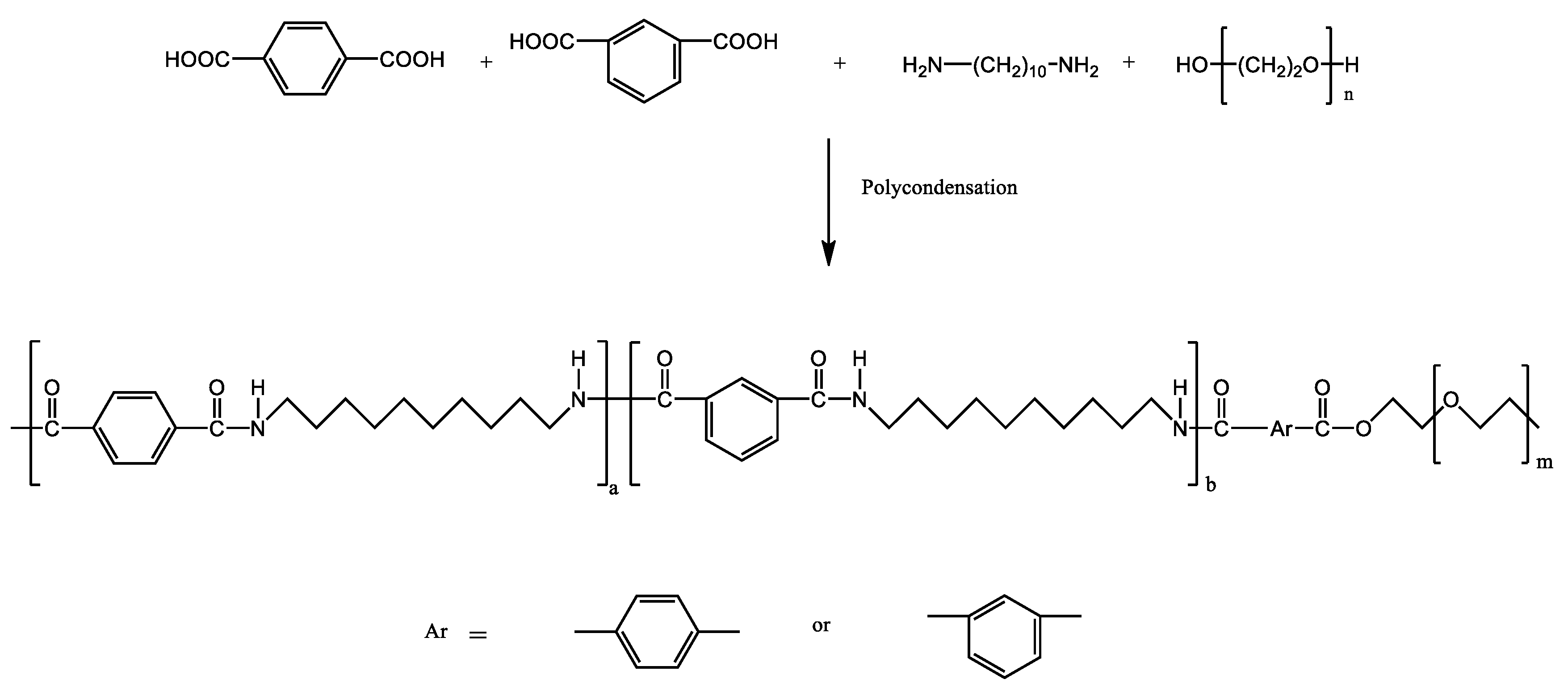
2.2. Synthesis of Thermoplastic Elastomers Based on PA10T/10I and PEG
2.3. Characterization
2.3.1. FT-IR and 1H-NMR
2.3.2. Differential Scanning Calorimetry (DSC)
2.3.3. Thermogravimetry Analysis (TGA)
2.3.4. Polarized Optical Microscopy (POM)
2.3.5. Mechanical Properties
2.3.6. Non-Isothermal Crystallization Kinetics
3. Results and Discussion
3.1. Characterization of TPAEs
3.2. Thermal Properties of TPAEs
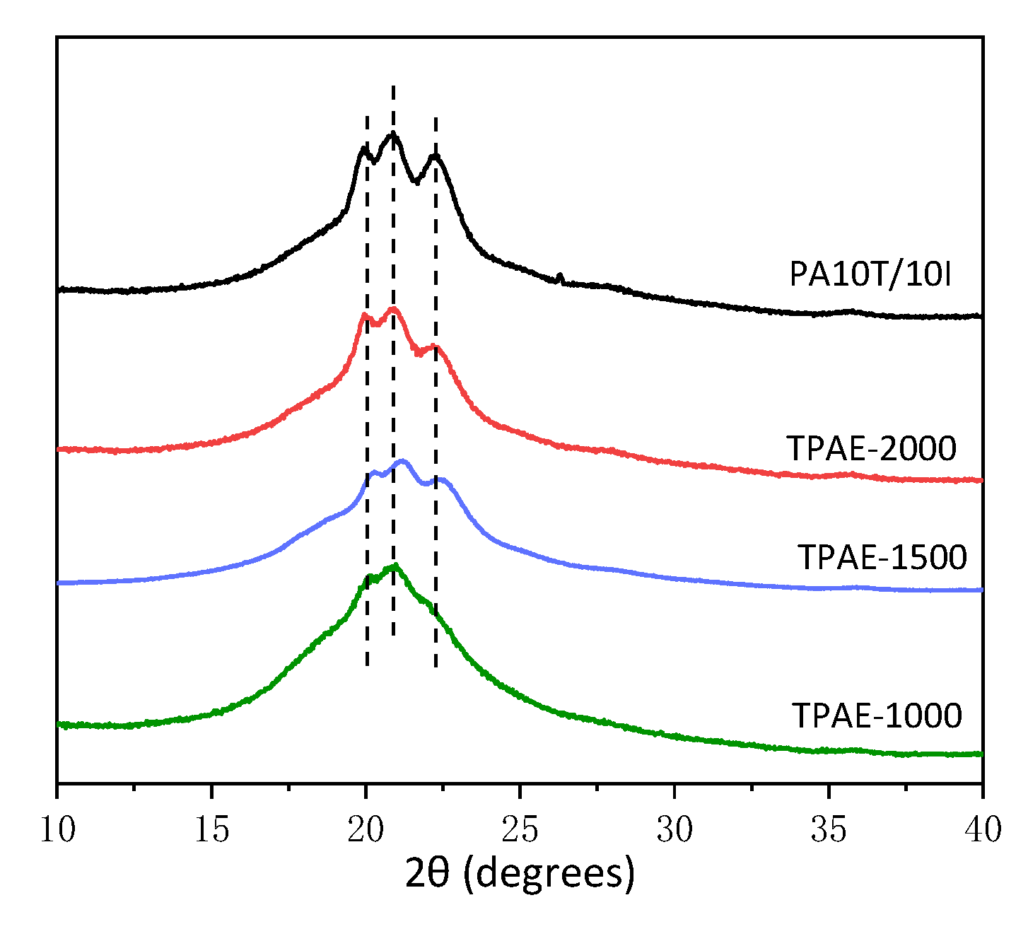
3.3. Crystal Structure of TPAEs
3.4. Mechanical Properties
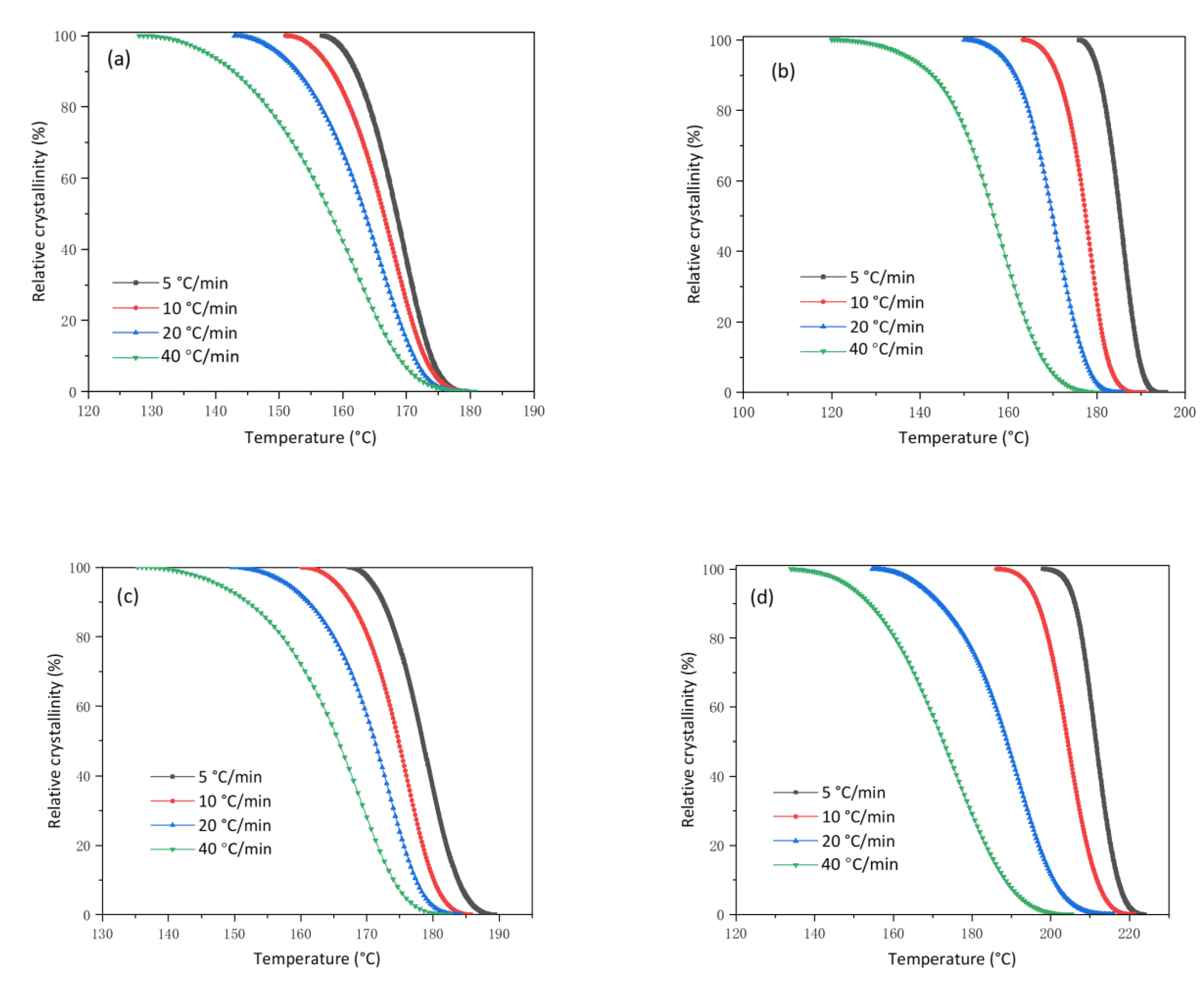
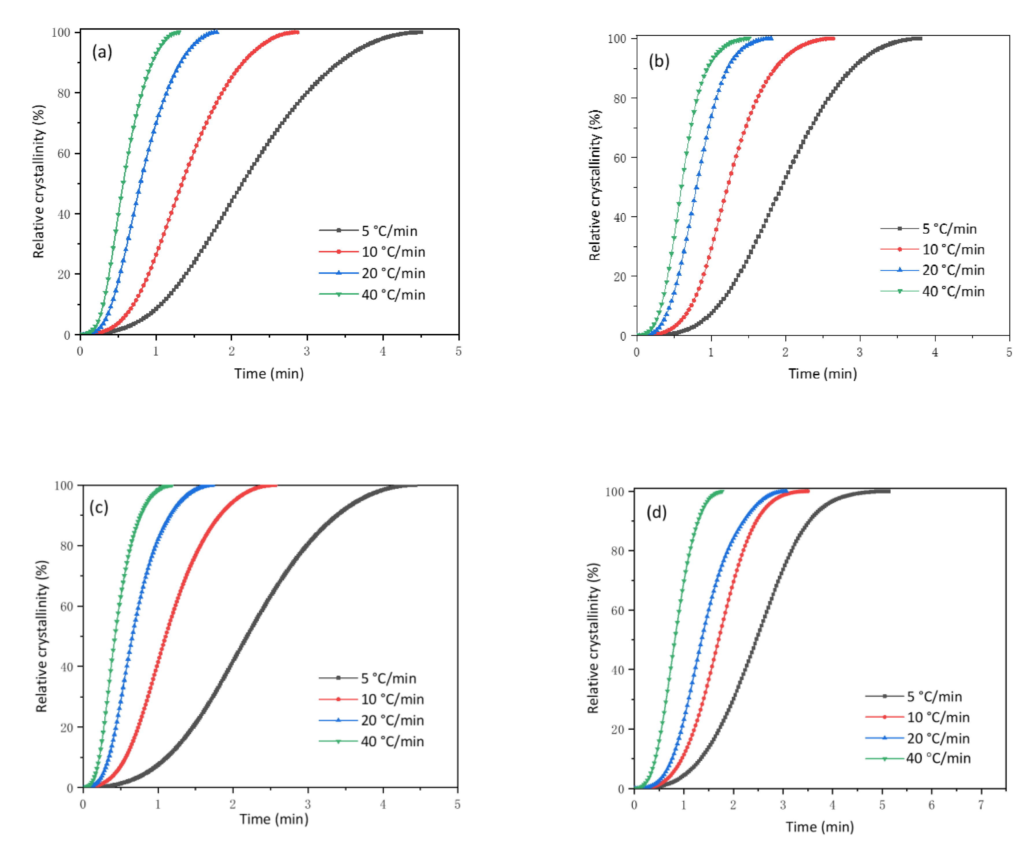
3.5. Nonisothermal Crystallization Kinetics
3.5.1. Jeziorny Method
3.5.2. Mo’s Equation
3.6. Activation Energy of Non-Isothermal Crystallization
3.7. Crystal Morphology
4. Conclusions
Supplementary Materials
Author Contributions
Funding
Institutional Review Board Statement
Informed Consent Statement
Data Availability Statement
Conflicts of Interest
References
- Céspedes, R.I.N.; Gámez, J.F.H.; Velázquez, M.G.N.; Belmontes, F.Á.; León, R.E.D.D.; Fernández, O.S.R.; Orta, C.A.Á.; Hernández, E.H. Thermoplastic elastomers based on high-density polyethylene, ethylene-propylene-diene terpolymer, and ground tire rubber dynamically vulcanized with dicumyl peroxide. J. Appl. Polym. Sci. 2013, 131, 39901. [Google Scholar] [CrossRef]
- Das, S.; Yilgor, I.; Yilgor, E.; Wilkes, G.L. Probing the urea hard domain connectivity in segmented, non-chain extended polyureas using hydrogen-bond screening agents. Polymer 2008, 49, 174–179. [Google Scholar] [CrossRef]
- Biemond, G.J.E.; Brasspenning, K.; Gaymans, R.J. Synthesis and selected properties of polyurethanes with monodisperse hard segments based on hexane diisocyanate and three types of chain extenders. J. Appl. Polym. Sci. 2011, 124, 1302–1315. [Google Scholar] [CrossRef]
- Biemond, G.J.E.; Gaymans, R.J. Elastic properties of thermoplastic elastomers based on poly (tetramethylene oxide) and monodisperse amide segments. J. Mater. Sci. 2010, 45, 158. [Google Scholar] [CrossRef]
- Kong, W.; Yang, Y.; Liu, Z.; Jiang, L.; Zhou, C.; Lei, J. Structure-property relations of nylon-6 and polytetramethylene glycol based multiblock copolymers with microphase separation prepared through reactive processing. Polym. Int. 2017, 66, 436–442. [Google Scholar] [CrossRef]
- Yang, Y.; Kong, W.; Cai, X. Preparation and characterization of a new class of poly (ether-block-amide) s via solvent free reactive processing. Polym. Adv. Technol. 2018, 29, 490–496. [Google Scholar] [CrossRef]
- Schneider, Y.; Lynd, N.A.; Kramer, E.J.; Bazan, G.C. Novel Elastomers Prepared by Grafting n-Butyl Acrylate from Polyethylene Macroinitiator Copolymers. Macromolecules 2009, 42, 8763–8768. [Google Scholar] [CrossRef]
- He, R.; Zhan, X.; Zhang, Q.; Chen, F. Toughening of polyamide-6 with little loss in modulus by block copolymer containing poly (styrene-alt-maleic acid) segment. J. Appl. Polym. Sci. 2017, 134, 44849. [Google Scholar] [CrossRef]
- Yuan, R.; Fan, S.; Wu, D.; Wang, X.; Chen, L.; Li, F. Facile synthesis of polyamide 6 (PA6)-based thermoplastic elastomers with a well-defined microphase separation structure by melt polymerization. Polym. Chem. 2018, 9, 1327–1336. [Google Scholar] [CrossRef]
- Zhang, Y.; Fan, H.; Li, B.G. Synthesis and characterization of advance PA6-b-PDMS multiblock copolymers. J. Appl. Polym. Sci. 2014, 131, 41114. [Google Scholar] [CrossRef]
- Bulte, A.M.W.; Folkers, B.; Mulder, M.H.V.; Smolders, C.A. Membranes of semicrystalline aliphatic polyamide nylon 4,6: Formation by diffusion-induced phase separation. J. Appl. Polym. Sci. 2010, 50, 13–26. [Google Scholar] [CrossRef][Green Version]
- Zulfiqar, S.; Ishaq, M.; Sarwar, M.I. Synthesis and characterization of soluble aromatic–aliphatic polyamide. Nanoscale Res. Lett. 2010, 29, 300–308. [Google Scholar] [CrossRef]
- Dobrovolskaya, I.P.; Popryadukhin, P.V.; Yudin, V.E.; Ivan’kova, E.M.; Elokhovskiy, V.Y.; Weishauptova, Z.; Balik, K. Structure and properties of porous films based on aliphatic copolyamide developed for cellular technologies. J. Mater. Sci. Mater. Med. 2015, 26, 1–10. [Google Scholar] [CrossRef] [PubMed]
- Uddin, A.J.; Gotoh, Y.; Ohkoshi, Y.; Nagura, M.; Endo, R.; Hara, T. Hydration in a new semiaromatic polyamide observed by humidity-controlled dynamic viscoelastometry and X-ray diffraction. J. Polym. Sci. Part B 2005, 43, 1640–1648. [Google Scholar] [CrossRef]
- Wang, Z.; Tong, X.; Yang, J.C.; Wang, X.J.; Zhang, M.L.; Zhang, G.; Long, S.R.; Yang, J. Improved strength and toughness of semi-aromatic polyamide 6T-co-6(PA6T/6)/GO composites via in situ polymerization. Compos. Sci. Technol. 2019, 175, 6–17. [Google Scholar] [CrossRef]
- Peng, W.-M.; Tong, X.; Zhang, M.-L.; Wang, X.-J.; Zhang, G.; Long, S.-R.; Yang, J. Semiaromatic polyamide poly(hexamethylene terephthalamide)-co-polycaprolactam: Thermal and flame-retardant properties. J. Appl. Polym. Sci. 2018, 135, 46451. [Google Scholar] [CrossRef]
- Rwei, S.-P.; Ranganathan, P.; Chiang, W.-Y.; Lee, Y.-H. Synthesis of Low Melting Temperature Aliphatic-Aromatic Copolyamides Derived from Novel Bio-Based Semi Aromatic Monomer. Polymers 2018, 10, 793. [Google Scholar] [CrossRef]
- Wang, W.; Wang, X.; Li, R.; Liu, B.; Wang, E.; Zhang, Y. Environment-friendly synthesis of long chain semiaromatic polyamides with high heat resistance. J. Appl. Polym. Sci. 2009, 114, 2036–2042. [Google Scholar] [CrossRef]
- Huang, G.; Zhang, S.; Li, D.; Zhang, M.; Yang, J. Facile synthesis of processable aromatic polyamides containing thioether units. Polym. Int. 2013, 62, 411–418. [Google Scholar] [CrossRef]
- Liu, M.; Li, K.; Yang, S.; Peng, F.; Wang, Y.; Zhao, Q. Synthesis and thermal decomposition of poly (dodecamethylene terephthalamide). J. Appl. Polym. Sci. 2011, 122, 3369–3376. [Google Scholar] [CrossRef]
- Zou, G.; Wang, P.; Feng, W.; Ren, Z.; Ji, J. Poly (decamethylene terephthalamide) copolymerized with long-chain alkyl dodecanedioic acid: Toward bio-based polymer and improved performances. J. Appl. Polym. Sci. 2018, 135, 46531. [Google Scholar] [CrossRef]
- Feng, W.; Wang, P.; Zou, G.; Ren, Z.; Ji, J. Synthesis and characterization of semiaromatic copolyamide 10T/1014 with high performance and flexibility. Des. Monomers Polym. 2018, 21, 33–42. [Google Scholar] [CrossRef] [PubMed]
- Dingemans, T.J. Synthesis and characterization of semi-crystalline poly (decamethylene terephthalamide) thermosets. Polymer 2017, 108, 372–382. [Google Scholar]
- Li, M.; Bijleveld, J.; Dingemans, T.J. Synthesis and Properties of Semi-crystalline Poly (decamethylene terephthalamide) Thermosets from Reactive Side-group Copolyamides. Eur. Polym. J. 2017, 98, 273–284. [Google Scholar] [CrossRef]
- Buckwalter, D.J.; Dennis, J.M.; Long, T.E. Amide-containing segmented copolymers. Prog. Polym. Sci. 2015, 45, 1–22. [Google Scholar] [CrossRef]
- Kong, W.; Kai, H.; Fu, X.; Guo, D.; Lei, J. Preparation and Characterization of Thermoplastic Elastomer Based on Amino-terminated Polyamide-6 and Diisocyanate-terminated Polytetramethylene Glycol. J. Macromol. Sci. Part D Rev. Polym. Process. 2015, 55, 1–8. [Google Scholar] [CrossRef]
- Kozłowska, A.; Majszczyk, J.; Orłowski, M. Relaxation processes in poly (ester-b-amide) thermoplastic elastomer containing poly(butylene sebacate) segments. Rev. Adv. Mater. Sci. 2006, 12, 160–165. [Google Scholar]
- Wang, Y.; Kang, H.-L.; Liu, R.-G.; Hao, X.-M. Crystallization of polyamide 56/polyamide 66 blends: Non-isothermal crystallization kinetics. J. Appl. Polym. Sci. 2018, 135, 46409. [Google Scholar] [CrossRef]
- Aziz, M.S.A.; Saad, G.R.; Naguib, H.F. Non-isothermal crystallization kinetics of poly (3-hydroxybutyrate) in copoly (ester-urethane) nanocomposites based on poly (3-hydroxybutyrate) and cloisite 30B. Thermochim. Acta 2015, 605, 52–62. [Google Scholar] [CrossRef]
- Rwei, S.P.; Ranganathan, P.; Lee, Y.H. Isothermal Crystallization Kinetics Study of Fully Aliphatic PA6 Copolyamides: Effect of Novel Long-Chain Polyamide Salt as a Comonomer. Polymers 2019, 11, 472. [Google Scholar] [CrossRef]
- Wang, Z.; Hu, G.; Zhang, J.; Xu, J.; Shi, W. Non-isothermal crystallization kinetics of Nylon 10T and Nylon 10T/1010 copolymers: Effect of sebacic acid as a third comonomer. Chin. J. Chem. Eng. 2017, 25, 963–970. [Google Scholar] [CrossRef]
- Mao, H.-I.; Chen, C.-W.; Rwei, S.-P. Synthesis and Nonisothermal Crystallization Kinetics of Poly (Butylene Terephthalate-co-Tetramethylene Ether Glycol) Copolyesters. Polymers 2020, 12, 1897. [Google Scholar] [CrossRef] [PubMed]
- Sun, X.; Mai, K.; Zhang, C.; Cao, M.; Zhang, X. Nonisothermal crystallization kinetics of bio-based semi-aromatic polyamides. J. Therm. Anal. Calorim. 2017, 130, 1–10. [Google Scholar] [CrossRef]
- Tong, X.; Peng, W.M.; Zhang, M.L.; Wang, X.J.; Zhang, G.; Long, S.R.; Yang, J. A New Class of Poly (ether-block-amide)s Based on Semiaromatic Polyamide: Synthesis, Characterization and Structure–Property Relations. Polym. Int. 2020. [Google Scholar] [CrossRef]
- Aziz, A.M.S.; Naguib, H.F.; Saad, G.R. Non-isothermal crystallization kinetics of bacterial poly (3-hydroxybutyrate) in poly (3-hydroxybutyrate-co-butylene adipate) urethanes. Thermochim. Acta 2014, 591, 130–139. [Google Scholar] [CrossRef]
- Chen, C.-W.; Hsu, T.-S.; Huang, K.-W.; Rwei, S.-P. Effect of 1, 2, 4, 5-Benzenetetracarboxylic Acid on Unsaturated Poly (butylene adipate-co-butylene itaconate) Copolyesters: Synthesis, Non-Isothermal Crystallization Kinetics, Thermal and Mechanical Properties. Polymers 2020, 12, 1160. [Google Scholar] [CrossRef]
- Huang, J.; Lan, J.; Lin, S.; Li, G.; Gu, L. Synthesis and nonisothermal crystallization kinetics of thermoplastic polyamide-6 elastomers. J. Appl. Polym. Sci. 2018, 136, 47388. [Google Scholar] [CrossRef]
- Louie, J.S.; Pinnau, I.; Ciobanu, I.; Ishida, K.P.; Ng, A.; Reinhard, M. Effects of polyether–polyamide block copolymer coating on performance and fouling of reverse osmosis membranes. J. Membr. Sci. 2006, 280, 762–770. [Google Scholar] [CrossRef]
- Hao, Y.; Chen, M.; Zhao, J.; Zhang, Z.; Yang, W.J.I.; Research, E.C. Synthesis and properties of polyesteramides having short nylon-610 segments in the main chains through polycondensation and chain extension. Ind. Eng. Chem. Res. 2013, 52, 6410–6421. [Google Scholar] [CrossRef]
- Avrami, M. Kinetics of Phase Change. II Transformation-Time Relations for Random Distribution of Nuclei. J. Chem. Phys. 1940, 8, 212–224. [Google Scholar] [CrossRef]
- Chen, Z.; Yao, C.; Yang, G. Nonisothermal crystallization behavior, and morphology of poly (trimethylene terephthalate)/polyethylene glycol copolymers. Polym. Test. 2012, 31, 393–403. [Google Scholar] [CrossRef]
- Eder, M.; Wlochowicz, A. Kinetics of non-isothermal crystallization of polyethylene and polypropylene. Polymer 1983, 24, 1593–1595. [Google Scholar] [CrossRef]
- Bhattarai, N.; Kim, H.Y.; Dong, I.C.; Lee, D.R.; Dong, I.Y. Nonisothermal crystallization and melting behavior of the copolymer derived from p-dioxanone and poly (ethylene glycol). Eur. Polym. J. 2003, 39, 1365–1375. [Google Scholar] [CrossRef]
- Jeziorny, A. Parameters characterizing the kinetics of the non-isothermal crystallization of poly (ethylene terephthalate) determined by d.s.c. Polymer 1978, 19, 1142–1144. [Google Scholar] [CrossRef]
- Chen, S.; Jin, J.; Zhang, J. Non-isothermal crystallization behaviors of poly (4-methyl-pentene-1). J. Therm. Anal. Calorim. 2011, 103, 229–236. [Google Scholar] [CrossRef]
- Yang, J.L.; Zhao, T.; Cui, J.J.; Liu, L.J.; Zhou, Y.C.; Li, G.; Zhou, E.L.; Chen, X.S. Nonisothermal crystallization behavior of the poly (ethylene glycol) block in poly (L-lactide)-poly (ethylene glycol) diblock copolymers: Effect of the poly (L-lactide) block length. J. Polym. Sci. Part B Polym. Phys. 2010, 44, 3215–3226. [Google Scholar] [CrossRef]
- Qiu, Z.; Yang, W. Nonisothermal melt and cold crystallization kinetics of poly (aryl ether ether ketone ketone). Polym. Eng. Sci. 2010, 37, 568–575. [Google Scholar] [CrossRef]
- Supaphol, P.; Dangseeyun, N.; Srimoaon, P.; Nithitanakul, M. Nonisothermal melt-crystallization kinetics for three linear aromatic polyesters. Thermochim. Acta 2003, 406, 207–220. [Google Scholar] [CrossRef][Green Version]
- Vyazovkin, S. Is the Kissinger Equation Applicable to the Processes that Occur on Cooling? Macromol. Rapid Commun. 2015, 23, 771–775. [Google Scholar] [CrossRef]


















| Sample | TPA 1 (g) | IPA 2 (g) | DMD 3 (g) | PEG 4 (g) | Hard Segment Molecular Weight (g/mol) | Hard Segment Content (wt%) |
|---|---|---|---|---|---|---|
| TPAE-1000 | 355.73 | 237.15 | 451.00 | 949.49 | 1000 | 50.0 |
| TPAE-1500 | 430.10 | 286.73 | 605.64 | 797.15 | 1500 | 60.0 |
| TPAE-2000 | 445.89 | 297.26 | 661.156 | 632.97 | 2000 | 66.6 |
| PA10T/10I | 442.01 | 294.67 | 763.31 | 0 | / | / |
| Sample | Tm1 (°C) | Tm2 (°C) | ∆H (J/g) | Td,5% (°C) | Strength at Break (MPa) | Elongation at Break (%) |
|---|---|---|---|---|---|---|
| TPAE-1000 | 217.1 | 229.8 | −5.5 | 385.3 | 21.9 | 898.8 |
| TPAE-1500 | 218.9 | 230.3 | −9.5 | 385.5 | 37.8 | 537.4 |
| TPAE-2000 | 220.2 | 233.9 | −11.4 | 387.5 | 41.1 | 494.5 |
| PA10T/10I | 234.4 | 249.0 | −18.28 | 426.3 | 77.3 | 70.1 |
| Hard Segment | Soft Segment | Tensile Strength (MPa) | Enlongation at Break(%) | Td,5% (°C) | Reference |
|---|---|---|---|---|---|
| PA6 | PTMG | 25~38 | 225~445 | 365~375 | [3] |
| PA6 | PTMG | 28~41 | 650~1190 | 300 | [5] |
| PA6 | PEG/PTMG | 12.2~23.8 | 549.2~700.3 | 320 | [6] |
| PA6 | PTMG | 29~63 | 93~514 | - | [9] |
| PA6 | PDMS | - | - | 300~368 | [10] |
| PA610 | PEA | 5~26 | 41~1274 | 325~344 | [39] |
| PA10T/10I | PEG | 21~41 | 494~898 | 385~387 | This work |
| Sample | R (°C/min) | Tc (°C) | ∆Hc(J/g) | t1/2 (min) |
|---|---|---|---|---|
| TPAE-1000 | 5 | 169.8 | 4.76 | 5.65 |
| 10 | 167.9 | 4.09 | 3.35 | |
| 20 | 165.3 | 2.49 | 1.91 | |
| 40 | 160.1 | 2.01 | 1.01 | |
| TPAE-1500 | 5 | 182.6 | 7.12 | 2.25 |
| 10 | 178.0 | 6.40 | 1.41 | |
| 20 | 169.2 | 6.01 | 0.80 | |
| 40 | 154.2 | 5.58 | 0.60 | |
| TPAE-2000 | 5 | 184.9 | 9.75 | 2.18 |
| 10 | 178.9 | 8.74 | 1.10 | |
| 20 | 173.5 | 8.03 | 0.65 | |
| 40 | 168.6 | 7.69 | 0.43 | |
| PA10T/10I | 5 | 206.6 | 23.73 | 2.46 |
| 10 | 199.6 | 23.70 | 1.71 | |
| 20 | 189.3 | 22.01 | 1.36 | |
| 40 | 173.8 | 21.43 | 0.81 |
| Sample | R (°C/min) | n | lgZt | Zc | t1/2 (min) |
|---|---|---|---|---|---|
| TPAE-1000 | 5 | 2.48 | −2.09 | 0.38 | 6.00 |
| 10 | 2.39 | −1.40 | 0.72 | 3.30 | |
| 20 | 2.64 | −0.93 | 0.90 | 1.96 | |
| 40 | 2.84 | −0.23 | 0.92 | 1.06 | |
| TPAE-1500 | 5 | 2.92 | −1.10 | 0.52 | 2.11 |
| 10 | 2.91 | −0.56 | 0.75 | 1.38 | |
| 20 | 3.26 | 0.15 | 0.90 | 0.81 | |
| 40 | 2.56 | 0.30 | 0.99 | 0.66 | |
| TPAE-2000 | 5 | 2.59 | −1.03 | 0.60 | 2.17 |
| 10 | 2.54 | −0.23 | 0.88 | 1.13 | |
| 20 | 2.60 | 0.22 | 1.02 | 0.71 | |
| 40 | 2.52 | 0.68 | 1.02 | 0.46 | |
| PA10T/10I | 5 | 2.30 | −1.43 | 0.40 | 3.57 |
| 10 | 2.32 | −1.26 | 0.71 | 2.99 | |
| 20 | 2.49 | −0.90 | 0.89 | 1.99 | |
| 40 | 2.35 | −0.23 | 0.97 | 1.07 |
| Xt (%) | TPAE-1000 | TPAE-1500 | TPAE-2000 | PA10T/10I | ||||
|---|---|---|---|---|---|---|---|---|
| F(T) | α | F(T) | α | F(T) | α | F(T) | α | |
| 20 | 13.17 | 0.78 | 4.14 | 0.53 | 3.42 | 0.58 | 4.93 | 0.79 |
| 40 | 19.08 | 0.81 | 5.20 | 0.51 | 4.23 | 0.57 | 7.71 | 0.80 |
| 50 | 21.64 | 0.82 | 5.69 | 0.51 | 4.68 | 0.57 | 7.41 | 0.79 |
| 60 | 23.96 | 0.82 | 6.10 | 0.50 | 5.05 | 0.56 | 7.90 | 0.77 |
| 80 | 29.58 | 0.83 | 6.86 | 0.47 | 6.06 | 0.56 | 9.90 | 0.74 |
Publisher’s Note: MDPI stays neutral with regard to jurisdictional claims in published maps and institutional affiliations. |
© 2020 by the authors. Licensee MDPI, Basel, Switzerland. This article is an open access article distributed under the terms and conditions of the Creative Commons Attribution (CC BY) license (http://creativecommons.org/licenses/by/4.0/).
Share and Cite
Tong, X.; Wang, Z.; Zhang, M.-L.; Wang, X.-J.; Zhang, G.; Long, S.-R.; Yang, J. Synthesis, Characterization and Non-Isothermal Crystallization Kinetics of a New Family of Poly (Ether-Block-Amide)s Based on Nylon 10T/10I. Polymers 2021, 13, 72. https://doi.org/10.3390/polym13010072
Tong X, Wang Z, Zhang M-L, Wang X-J, Zhang G, Long S-R, Yang J. Synthesis, Characterization and Non-Isothermal Crystallization Kinetics of a New Family of Poly (Ether-Block-Amide)s Based on Nylon 10T/10I. Polymers. 2021; 13(1):72. https://doi.org/10.3390/polym13010072
Chicago/Turabian StyleTong, Xin, Zhao Wang, Mei-Ling Zhang, Xiao-Jun Wang, Gang Zhang, Sheng-Ru Long, and Jie Yang. 2021. "Synthesis, Characterization and Non-Isothermal Crystallization Kinetics of a New Family of Poly (Ether-Block-Amide)s Based on Nylon 10T/10I" Polymers 13, no. 1: 72. https://doi.org/10.3390/polym13010072
APA StyleTong, X., Wang, Z., Zhang, M.-L., Wang, X.-J., Zhang, G., Long, S.-R., & Yang, J. (2021). Synthesis, Characterization and Non-Isothermal Crystallization Kinetics of a New Family of Poly (Ether-Block-Amide)s Based on Nylon 10T/10I. Polymers, 13(1), 72. https://doi.org/10.3390/polym13010072

