Influence of Multiwalled Carbon Nanotubes on the Rheological Behavior and Physical Properties of Kenaf Fiber-Reinforced Polypropylene Composites
Abstract
1. Introduction
2. Materials and Methods
2.1. Materials
2.2. Sample Preparations
2.3. Characterization
2.4. Rheological Measurements
2.5. Physical Properties of the PP/kenaf/MWCNT Composites
3. Results and Discussion
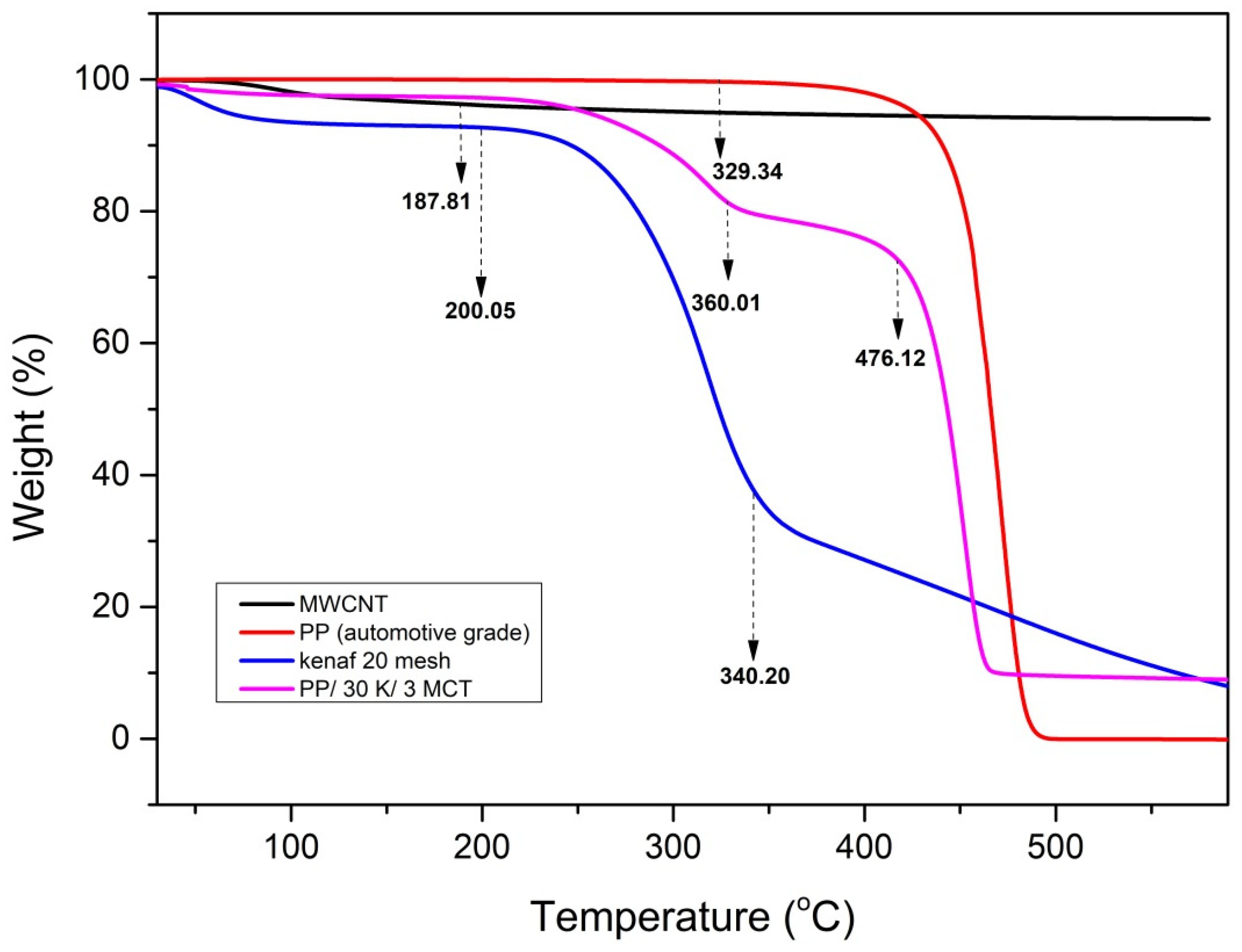
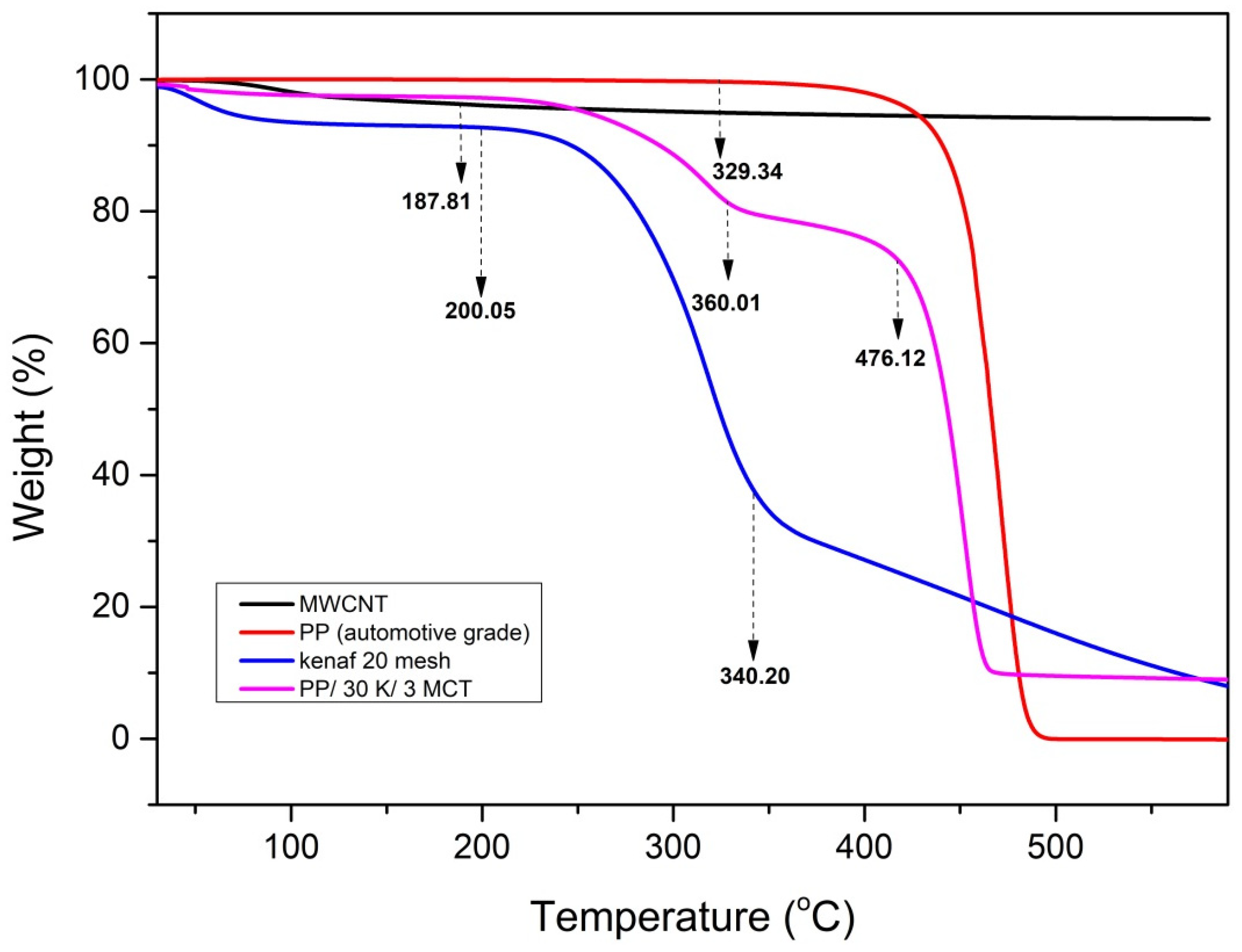
3.1. Thermal Stability
3.2. Filler Loading and Load Factor Dependence of Viscosity
3.3. Reaction of Feedstock Flow Behavior Toward Temperature Changes
3.4. Water Absorption and Flammability Properties
4. Conclusions
Author Contributions
Funding
Acknowledgments
Conflicts of Interest
References
- Akil, H.M.; Omar, M.F.; Mazuki, A.A.M.; Safiee, S.; Ishak, Z.A.M.; Bakar, A.A. Kenaf fiber reinforced composites: A review. Mater. Des. 2011, 32, 4107–4121. [Google Scholar] [CrossRef]
- Md Radzi, M.K.F.; Muhamad, N.; Sulong, A.B.; Haron, C.H.C.; Razak, Z.; Akhtar, M.N.; Ismail, N.F.; Tholibon, D.; Tharazi, I. Optimization of injection molding parameters: Improving mechanical properties of kenaf reinforced polypropylene composites. J. Adv. Manuf. Technol. 2018, 12, 107–120. [Google Scholar]
- Razak, Z.; Sulong, A.B.; Muhamad, N.; Che Haron, C.H.; Md Radzi, M.K.F.; Ismail, N.F.; Tholibon, D.; Tharazi, I. Effects of thermal cycling on physical and tensile properties of injection moulded kenaf/carbon nanotubes/polypropylene hybrid composites. Compos. Part B 2019, 168, 159–165. [Google Scholar] [CrossRef]
- Jin, F.-L.; Zhao, M.; Park, M.; Soo-Jin, P. Recent Trends of Foaming in Polymer Processing: A Review. Polymers 2019, 11, 953. [Google Scholar] [CrossRef]
- Azaman, M.D.; Sapuan, S.M.; Sulaiman, S.; Zainudin, E.S.; Khalina, A. Processability of Wood Fibre-Filled Thermoplastic Composite Thin-Walled Parts Using Injection Moulding. In Manufacturing of Natural Fibre Reinforced Polymer Composites; Salit, M., Jawaid, M., Yusoff, N., Hoque, M., Eds.; Springer: Cham, Switzerland, 2015; pp. 351–368. [Google Scholar]
- Väisänen, T.; Das, O.; Tomppo, L. A review on new bio-based constituents for natural fiber-polymer composites. J. Clean. Prod. 2017, 149, 582–596. [Google Scholar] [CrossRef]
- Nanda, M.; Tripathy, D.K. Rheological Behavior of Chlorosulfonated Polyethylene Composites: Effect of Filler and Plasticizer. J. Appl. Polym. Sci. 2012, 126, 46–55. [Google Scholar] [CrossRef]
- Chaitanya, S.; Singh, A.P.; Singh, I. Processing of lignocellulosic fiber-reinforced biodegradable composites. In Natural Fiber-Reinforced Biodegradable and Bioresorbable Polymer Composites; Lau, A.K.-T., Hung, A.P.-Y., Eds.; Elsevier Ltd.: Amsterdam, The Netherlands, 2017. [Google Scholar]
- Magalhães Da Silva, S.P.; Lima, P.S.; Oliveira, J.M. Rheological behaviour of cork-polymer composites for injection moulding. Compos. Part B 2016, 90, 172–178. [Google Scholar] [CrossRef]
- Kashiwagi, T.; Grulke, E.; Hilding, J.; Groth, K.; Harris, R.; Butler, K.; Shields, J.; Kharchenko, S.; Douglas, J. Thermal and flammability properties of polypropylene/carbon nanotube nanocomposites. Polymer 2004, 45, 4227–4239. [Google Scholar] [CrossRef]
- Razak, Z.; Sulong, A.B.; Muhammad, N.; Md Radzi, M.K.F.; Tholibon, D.; Tharazi, I.; Ismail, N.F. Effect of Multi-walled Carbon Nanotube on Mechanical Properties of Kenaf/Polypropylene Composites. J. Mech. Eng. 2017, 3, 107–117. [Google Scholar]
- Mngomezulu, M.E.; John, M.J.; Jacobs, V.; Luyt, A.S. Review on flammability of biofibres and biocomposites. Carbohydr. Polym. 2014, 111, 149–182. [Google Scholar] [CrossRef]
- Md Radzi, M.K.F.; Muhamad, N.; Sulong, A.B.; Razak, Z. Optimizing injection parameters of kenaf filler polypropylene composite by taguchi method. Mater. Sci. Forum 2017, 894, 81–84. [Google Scholar] [CrossRef]
- ASTM E1131-08, Standard Test Method for Compositional Analysis by Thermogravimetry; ASTM International: West Conshohocken, PA, USA, 2008; Available online: https://www.astm.org/DATABASE.CART/HISTORICAL/E1131-08.htm (accessed on 9 August 2020).
- Lewandowski, K.; Piszczek, K.; Mirowski, J. Rheological properties of wood polymer composites at high shear rates. Polym. Test. 2016, 51, 58–62. [Google Scholar] [CrossRef]
- Tripathi, D. Practical Guide To Polypropylene; Smithers Rapra Press: Shawbury Shropshire, UK, 2002. [Google Scholar]
- ASTM E162-11, Standard Test Method for Surface Flammability of Materials Using a Radiant Heat Energy Source; ASTM International: West Conshohocken, PA, USA, 2011; Available online: https://www.astm.org/DATABASE.CART/HISTORICAL/E162-11.htm (accessed on 9 August 2020).
- Methacanon, P.; Weerawatsophon, U.; Sumransin, N.; Prahsarn, C.; Bergado, D.T. Properties and potential application of the selected natural fibers as limited life geotextiles. Carbohydr. Polym. 2010, 82, 1090–1096. [Google Scholar] [CrossRef]
- Suardana, N.P.G.; Ku, M.S.; Lim, J.K. Effects of diammonium phosphate on the flammability and mechanical properties of bio-composites. Mater. Des. 2011, 32, 1990–1999. [Google Scholar] [CrossRef]
- Yaghoobi, H.; Fereidoon, A. Preparation and characterization of short kenaf fiber-based biocomposites reinforced with multi-walled carbon nanotubes. Compos. Part B 2019, 162, 314–322. [Google Scholar] [CrossRef]
- Kiziltas, A.; Company, F.M.; Han, Y.; Gardner, D.J. The Effect of Filler Type on the Mechanical, Thermal and Rheological Properties of Cellulose-filled Thermoplastic Composites. In Proceedings of the International Convention of Society of Wood Science and Technology and United Nations Economic Commission for Europe-Timber Committee, Geneva, Switzerland, 11–14 October 2010; pp. 1–10. [Google Scholar]
- Choi, J.H.; Jegal, J.; Kim, W.N. Fabrication and characterization of multi-walled carbon nanotubes/polymer blend membranes. J. Memb. Sci. 2006, 284, 406–415. [Google Scholar] [CrossRef]
- Xie, X.L.; Mai, Y.W.; Zhou, X.P. Dispersion and alignment of carbon nanotubes in polymer matrix: A review. Mater. Sci. Eng. R Rep. 2005, 49, 89–112. [Google Scholar] [CrossRef]
- Ramli, M.I.; Sulong, A.B.; Muhamad, N.; Muchtar, A.; Zakaria, M.Y. Rheological Properties of Titanium Alloy (Ti6Al4V)-Wollastonite (W) Composite Using Palm Stearin as Based Binder. J. Mech. Eng. 2017, 3, 87–96. [Google Scholar]
- Abdennadher, A.; Vincent, M.; Budtova, T. Rheological properties of molten flax- and Tencel®-polypropylene composites: Influence of fiber morphology and concentration. J. Rheol. 2016, 60, 191–201. [Google Scholar] [CrossRef]
- El-Sabbagh, A.; Ramzy, A.; Steuernagel, L.; Meiners, D. Flowability and fiber content homogeneity of natural fiber polypropylene composites in injection molding. AIP Conf. Proc. 2016, 1779, 60010. [Google Scholar]
- Sojoudiasli, H.; Heuzey, M.C.; Carreau, P.J. Rheological, morphological and mechanical properties of flax fiber polypropylene composites: Influence of compatibilizers. Cellulose 2014, 21, 3797–3812. [Google Scholar] [CrossRef]
- Islam, M.A.; Begum, K. Rheological Behavior of Coir-Fiber-Filled Polypropylene Composites at Constant Shear Stress. Polym. Compos. 2015, 36, 51–61. [Google Scholar] [CrossRef]
- Razak, Z.; Sulong, A.B.; Muhammad, N.; Che Haron, C.H.; Md Radzi, M.K.F.; Tholibon, D.; Tharazi, I.; Ismail, N.F. The Effects of Maleic Anhydride Grafted PP (MAPP) on the Mechanical Properties of Injection Moulded Kenaf/CNTs/PP Composites. Sains Malays. 2018, 47, 1285–1291. [Google Scholar] [CrossRef]
- Azaman, M.D.; Sapuan, S.M.; Sulaiman, S.; Zainudin, E.S.; Abdan, K. An investigation of the processability of natural fibre reinforced polymer composites on shallow and flat thin-walled parts by injection moulding process. Mater. Des. 2013, 50, 451–456. [Google Scholar] [CrossRef]
- Clark, M.D.; Krishnamoorti, R. Near-superhydrophobic behavior of multi-walled carbon nanotube thin films. Thin Solid Films 2012, 520, 4332–4338. [Google Scholar] [CrossRef]
- Devnani, G.L.; Sinha, S. Effect of nanofillers on the properties of natural fiber reinforced polymer composites. Mater. Today Proc. 2019, 18, 647–654. [Google Scholar] [CrossRef]
- Ashori, A.; Nourbakhsh, A. Preparation and characterization of polypropylene/wood flour/nanoclay composites. Eur. J. Wood Prod. 2011, 69, 663–666. [Google Scholar] [CrossRef]
- Hosseini, S.B.; Hedjazi, S.; Jamalirad, L.; Sukhtesaraie, A. Effect of nano-SiO2 on physical and mechanical properties of fiber reinforced composites (FRCs). J. Indian Acad. Wood Sci. 2014, 11, 116–121. [Google Scholar] [CrossRef]
- Maslinda, A.B.; Abdul Majid, M.S.; Ridzuan, M.J.M.; Afendi, M.; Gibson, A.G. Effect of water absorption on the mechanical properties of hybrid interwoven cellulosic-cellulosic fibre reinforced epoxy composites. Compos. Struct. 2017, 167, 227–237. [Google Scholar] [CrossRef]
- Tholibon, D.; Tharazi, I.; Sulong, A.B.; Muhamad, N.; Ismial, N.F.; Radzi, M.K.F.M.; Radzuan, N.A.M.; Hui, D. Kenaf Fiber Composites: A Review on Synthetic and Biodegradable Polymer Matrix. J. Kejuruter. 2019, 31, 65–76. [Google Scholar]
- Alam, M.S.; Roy, S.K.; Khan, G.M.A.; Haque, M.A.; Haque, M.I.; Gafur, M.A. Effect of Chemical Treatments and Coupling Agents on the Properties of Unidirectional Jute Fiber Reinforced Polypropylene Composite. J. Kejuruter. 2017, 29, 63–70. [Google Scholar] [CrossRef]
- Hapuarachchi, T.D.; Peijs, T. Multiwalled carbon nanotubes and sepiolite nanoclays as flame retardants for polylactide and its natural fibre reinforced composites. Compos. Part A 2010, 41, 954–963. [Google Scholar] [CrossRef]





| Configurations | Material Compositions (%) | ||
|---|---|---|---|
| PP | Kenaf | MWCNTs | |
| PP/10K | 90 | 10 | - |
| PP/20K | 80 | 20 | - |
| PP/30K | 70 | 30 | - |
| PP/40K | 60 | 40 | - |
| PP/30K/1MCT | 69 | 30 | 1 |
| PP/30K/2MCT | 68 | 30 | 2 |
| PP/30K/3MCT | 67 | 30 | 3 |
| PP/30K/4MCT | 66 | 30 | 4 |
| Name of Composites | Wt % of PP | Wt % of Kenaf | Wt % of MWCNT | The Activation Energy (KJ/mol) |
|---|---|---|---|---|
| PP/10K | 90 | 10 | - | 47.558 |
| PP/20K | 80 | 20 | - | 69.712 |
| PP/30K | 70 | 30 | - | 84.853 |
| PP/40K | 60 | 40 | - | 87.405 |
| PP/30K/1MCT | 69 | 30 | 1 | 55.217 |
| PP/30K/2MCT | 68 | 30 | 2 | 33.457 |
| PP/30K/3MCT | 67 | 30 | 3 | 26.851 |
| PP/40K/4MCT | 66 | 30 | 4 | 15.687 |
| Material/Composite | Length of Burnt Reach the Minimum or Maximum (mm) | Time of Burnt, t (s) | Length of Burnt, L (mm) | Flammability Rate, V (mm/min) | |
|---|---|---|---|---|---|
| 25 | 100 | ||||
| PP | Yes | Yes | 242 | 75 | 18.6 |
| PP/30K | Yes | Yes | 160 | 75 | 28.1 |
| PP/30K/3MCT | Yes | Yes | 398 | 75 | 11 |
© 2020 by the authors. Licensee MDPI, Basel, Switzerland. This article is an open access article distributed under the terms and conditions of the Creative Commons Attribution (CC BY) license (http://creativecommons.org/licenses/by/4.0/).
Share and Cite
Abdul Azam, F.‘A.; Razak, Z.; Md Radzi, M.K.F.; Muhamad, N.; Che Haron, C.H.; Sulong, A.B. Influence of Multiwalled Carbon Nanotubes on the Rheological Behavior and Physical Properties of Kenaf Fiber-Reinforced Polypropylene Composites. Polymers 2020, 12, 2083. https://doi.org/10.3390/polym12092083
Abdul Azam F‘A, Razak Z, Md Radzi MKF, Muhamad N, Che Haron CH, Sulong AB. Influence of Multiwalled Carbon Nanotubes on the Rheological Behavior and Physical Properties of Kenaf Fiber-Reinforced Polypropylene Composites. Polymers. 2020; 12(9):2083. https://doi.org/10.3390/polym12092083
Chicago/Turabian StyleAbdul Azam, Farah ‘Atiqah, Zakaria Razak, Mohd Khairul Fadzly Md Radzi, Norhamidi Muhamad, Che Hassan Che Haron, and Abu Bakar Sulong. 2020. "Influence of Multiwalled Carbon Nanotubes on the Rheological Behavior and Physical Properties of Kenaf Fiber-Reinforced Polypropylene Composites" Polymers 12, no. 9: 2083. https://doi.org/10.3390/polym12092083
APA StyleAbdul Azam, F. ‘A., Razak, Z., Md Radzi, M. K. F., Muhamad, N., Che Haron, C. H., & Sulong, A. B. (2020). Influence of Multiwalled Carbon Nanotubes on the Rheological Behavior and Physical Properties of Kenaf Fiber-Reinforced Polypropylene Composites. Polymers, 12(9), 2083. https://doi.org/10.3390/polym12092083

