Impact of Isomeric Dicarboxylate Ligands on the Formation of One-Dimensional Coordination Polymers and Metallocycles: A Novel cis→trans Isomerization
Abstract
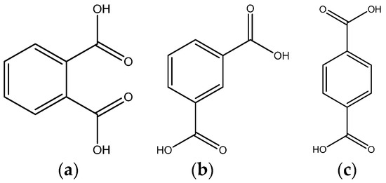
1. Introduction
2. Materials and Methods
2.1. General Orocedures
2.2. Materials
2.3. Preparations
2.3.1. {[Ni(4-ampy)2(1,4-BDC)]·H2O·CH3CH2OH}n (1a)
2.3.2. {[Co(4-ampy)2(1,4-BDC)]·H2O·CH3CH2OH}n (1b)
2.3.3. {[Ni2(4-ampy)4(1,3-BDC)2]·H2O·CH3CH2OH}n (2)
2.3.4. [Ni2(4-ampy)4(1,2-BDC)2] (3a)
2.3.5. [Co2(4-ampy)4(1,2-BDC)2] (3b)
2.3.6. [Co(4-ampy)2(1,3-BDC)]n (4)
2.3.7. {[Cu(4-ampy)2(1,4-BDC)]·CH3CH2OH}n (5a) and {[Cu(4-ampy)2(1,4-BDC)]·H2O}n (5b H2O)
2.4. X-ray Crystallography
3. Results and Discussion
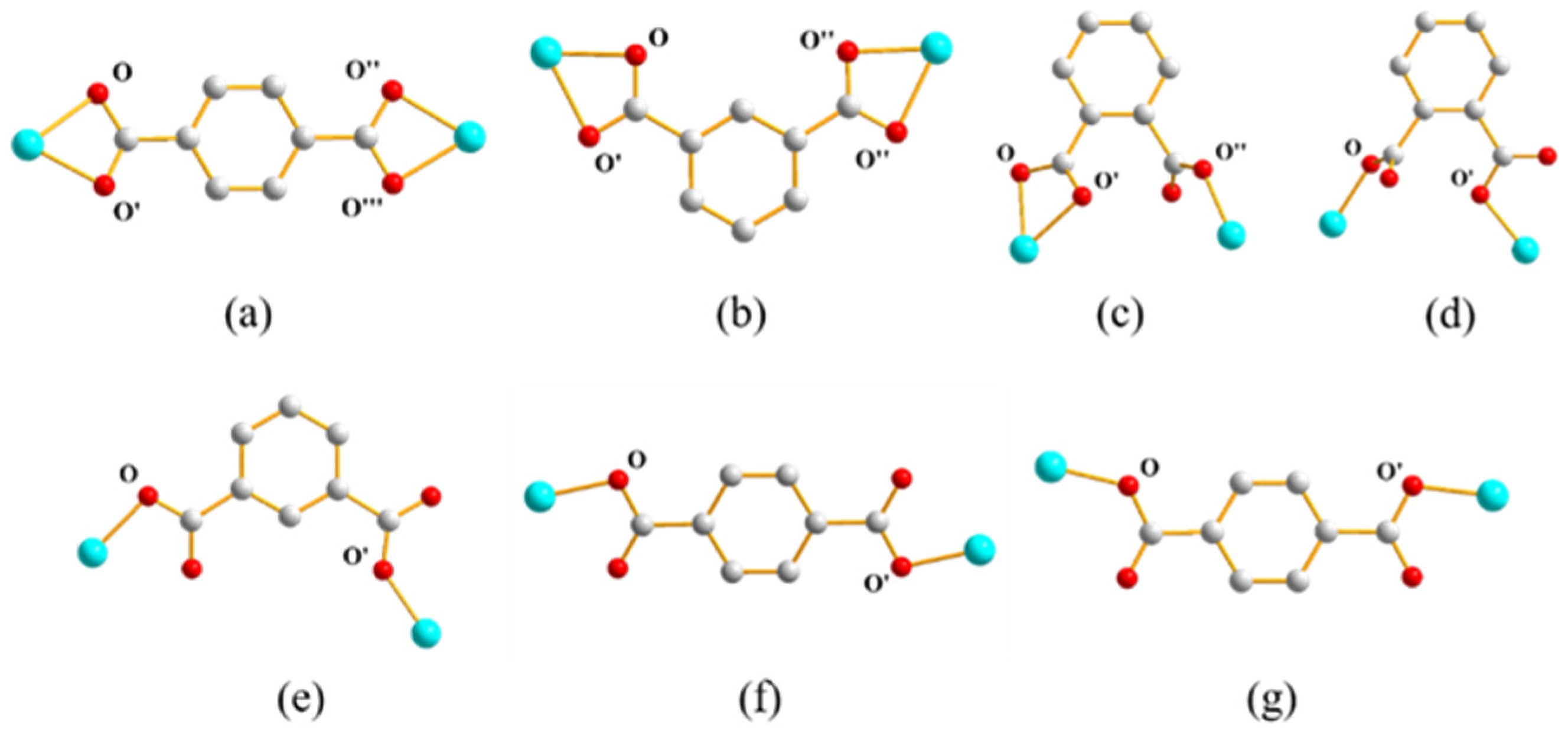
3.1. Structures of 1a and 1b
3.2. Structure of 2
3.3. Structures of 3a and 3b
3.4. Structure of 4
3.5. Structure of 5a
3.6. Structure of 5b·H2O
3.7. Ligand Isomerism and Metal Atom Effect
3.8. Structural Transformation
4. Conclusions
Supplementary Materials
Author Contributions
Funding
Acknowledgments
Conflicts of Interest
References
- Batten, S.R.; Neville, S.M.; Turner, D.R. Coordination Polymers: Design, Analysis and Application; Royal Society of Chemistry: Cambridge, UK, 2009. [Google Scholar]
- Wales, D.J.; Grand, J.; Ting, V.P.; Burke, R.D.; Edler, K.J.; Bowen, C.R.; Mintova, S.; Burrows, A.D. Gas sensing using porous materials for automotive applications. Chem. Soc. Rev. 2015, 44, 4290–4321. [Google Scholar] [CrossRef]
- Chughtai, A.H.; Ahmad, N.; Younus, H.A.; Laypkovc, A.; Verpoort, F. Metal-organic frameworks: Versatile heterogeneous catalysts for efficient catalytic organic transformations. Chem. Soc. Rev. 2015, 44, 6804–6849. [Google Scholar] [CrossRef]
- Verma, H.; Tomar, K.; Bharadwaj, P.K. Chiral Cadmium(II) Metal-Organic Framework from an Achiral Ligand by Spontaneous Resolution: An Efficient Heterogeneous Catalyst for the Strecker Reaction of Ketones. Inorg. Chem. 2017, 56, 13629–13633. [Google Scholar] [CrossRef]
- Wang, Y.-H.; Chu, K.-L.; Chen, H.-C.; Yeh, C.-W.; Chan, Z.-K.; Suen, M.-C.; Chen, J.-D. Adjusting the frameworks of polymeric silver(I) complexes with 2-aminopyrimidyl ligands by changing the counterions. CrystEngComm 2006, 8, 84–93. [Google Scholar] [CrossRef]
- Lin, C.-Y.; Chan, Z.-K.; Yeh, C.-W.; Wu, C.-J.; Chen, J.-D.; Wang, J.-C. Roles of I···I and Ag···I interactions on the self-assembly of Ag(I) complexes containing 2-amino-5-iodopyrimidine; formation of the unique Ag···I···I···Ag interaction. CrystEngComm 2006, 8, 841–846. [Google Scholar] [CrossRef]
- Blake, A.J.; Champness, N.R.; Cooke, P.A.; Nicolson, J.E.B.; Wilson, C.J. Multi-modal bridging ligands; effects of ligand functionality, anion and crystallisation solvent in silver(I) co-ordination polymers. J. Chem. Soc. Dalton Trans. 2000, 21, 3811–3819. [Google Scholar] [CrossRef]
- Wei, Y.; Hou, H.; Fan, Y.; Zhu, Y. Transition metal ion directed self-assembly of polynuclear coordination complexes: Structural characterization and magnetic properties. Eur. J. Inorg. Chem. 2004, 2004, 3946–3957. [Google Scholar] [CrossRef]
- Yue, N.L.S.; Jennings, M.C.; Puddephatt, R.J. Ring-opening polymerization of coordination complexes: Silver(I) complexes with bis(amidopyridine) ligands derived from thiophene. Dalton Trans. 2006, 32, 3886–3893. [Google Scholar] [CrossRef]
- Peng, R.; Deng, S.-R.; Li, M.; Li, D.; Li, Z.-Y. Solvent-dependent copper(I) conformational supramolecular pseudo-polymorphs based on a flexible thioether ligand. CrystEngComm 2008, 10, 590–597. [Google Scholar] [CrossRef]
- Yang, H.; Lao, Y.-N.; Chen, J.-M.; Wu, H.-X.; Yang, S.-P. Syntheses, Structure and Photoluminescence Properties of Silver(I) Complexes with Naphthalene Iminoimides. Eur. J. Inorg. Chem. 2009, 19, 2817–2824. [Google Scholar] [CrossRef]
- Jeffery, G.A. An Introduction to Hydrogen Bonding; Wiley: Chichester, UK, 1997. [Google Scholar]
- Desiraju, G.R.; Steiner, T. The Weak Hydrogen bond in Structural Chemistry and Biology; Oxford University Press: Oxford, UK, 1999. [Google Scholar]
- Du, M.; Jiang, X.-J.; Zhao, X.-J. Direction of unusual mixed-ligand metal-organic frameworks: A new type of 3-D polythreading involving 1-D and 2-D structural motifs and a 2-fold interpenetrating porous network. Chem. Commun. 2005, 44, 5521–5523. [Google Scholar] [CrossRef] [PubMed]
- Du, M.; Jiang, X.-J.; Zhao, X.-J. Molecular Tectonics of Mixed-Ligand Metal-Organic Frameworks: Positional Isomeric Effect, Metal-Directed Assembly, and Structural Diversification. Inorg. Chem. 2007, 46, 3984–3995. [Google Scholar] [CrossRef] [PubMed]
- Cheng, J.-J.; Chang, Y.-T.; Wu, C.-J.; Hsu, Y.-F.; Lin, C.-H.; Proserpio, D.M.; Chen, J.-D. Highly interpenetrated diamondoid nets of Zn(II) and Cd(II) coordination networks from mixed ligands. CrystEngComm 2012, 14, 537–543. [Google Scholar] [CrossRef]
- Sie, M.-J.; Chang, Y.-J.; Cheng, P.-W.; Kuo, P.-T.; Yeh, C.-W.; Cheng, C.-F.; Chen, J.-D.; Wang, J.-C. Interpenetrated and polycatenated nets of Cd(ii) coordination networks from mixed N,N’-dipyridyladipoamide and dicarboxylate ligands. CrystEngComm 2012, 14, 5505–5516. [Google Scholar] [CrossRef]
- Lo, Y.-C.; Hsu, W.; He, H.-Y.; Hyde, S.-T.; Proserpio, D.M.; Chen, J.-D. Structural directing roles of isomeric phenylenediacetate ligands in the formation of coordination networks based on flexible N,N’-di(3-pyridyl)suberoamide. CrystEngComm 2015, 17, 90–97. [Google Scholar] [CrossRef]
- He, H.-Y.; Hsu, C.-H.; Chang, H.-Y.; Yang, X.-K.; Chhetri, P.M.; Proserpio, D.M.; Chen, J.-D. Self-Catenated Coordination Polymers Involving Bis-pyridyl-bis-amide. Cryst. Growth Des. 2017, 17, 1991–1998. [Google Scholar] [CrossRef]
- Bruker AXS. APEX2, V2008.6, SADABS V2008/1, SAINT V7.60A, SHELXTL V6.14; Bruker AXS Inc.: Madison, WI, USA, 2008. [Google Scholar]
- Sheldrick, G.M. A short history of SHELX. Acta Crystallogr. 2008, A64, 112–122. [Google Scholar] [CrossRef]
- Spek, A.L. Single-crystal structure validation with the program PLATON. J. Appl. Crystallogr. 2003, 36, 7–13. [Google Scholar] [CrossRef]
- Bondi, A. van der Waals Volumes and Radii. J. Phys. Chem. 1964, 68, 441–451. [Google Scholar] [CrossRef]
- Blatov, V.A.; Shevchenko, A.P.; Proserpio, D.M. Applied Topological Analysis of Crystal Structures with the Program PackageToposPro. Cryst. Growth Des. 2014, 14, 3576–3586. [Google Scholar] [CrossRef]
- Vittal, J.J. Supramolecular structural transformations involving coordination polymers in the solid state. Coord. Chem. Rev. 2007, 251, 1781–1795. [Google Scholar] [CrossRef]
- Kole, G.K.; Vittal, J.J. Solid-state reactivity and structural transformations involving coordination polymers. Chem. Soc. Rev. 2013, 42, 1755–1775. [Google Scholar] [CrossRef] [PubMed]
- Thapa, K.B.; Yang, X.-K.; Chen, J.-D. Mg(II) Coordination Polymers Based on Flexible Isomeric Tetracarboxylate Ligands: Syntheses, Structures, Structural Transformation and Luminescent Properties. Polymers 2018, 10, 371. [Google Scholar] [CrossRef] [PubMed]
- Chhetri, P.M.; Yang, X.-K.; Yang, C.-T.; Chen, J.-D. One-dimensional Mercury Halide Coordination Polymers Based on a Semi-rigid N-donor Ligand: Reversible Structural Transformation. Polymers 2019, 11, 436. [Google Scholar] [CrossRef]
- Dugave, C.; Demange, L. Cis-Trans Isomerization of Organic Molecules and Biomolecules: Implications and Applications. Chem. Rev. 2003, 103, 2475–2532. [Google Scholar] [CrossRef]
- Farnum, G.A.; Martin, D.P.; Sposato, L.K.; Supkowski, R.M.; LaDuca, R.L. Zinc maleate and fumarate coordination polymers containing hydrogen-bonding capable organodiimines featuring ligand dependent in situ cis-trans isomerization. Inorg. Chim. Acta 2010, 363, 250–256. [Google Scholar] [CrossRef]













| Compound | 1a | 1b | 2 | 3a | 3b | 4 | 5a | 5b |
|---|---|---|---|---|---|---|---|---|
| Formula | C20H24N4NiO6 | C20H24CoN4O6 | C38H40N8Ni2O10 | C36H32N8Ni2O8 | C36H32Co2N8O8 | C18H16CoN4O4 | C20H22CuN4O5 | C18H16CuN4O4 |
| Formula weight | 475.14 | 475.36 | 886.20 | 882.12 | 822.56 | 411.28 | 461.96 | 415.89 |
| crystal system | Monoclinic | Monoclinic | Monoclinic | Triclinic | Triclinic | Monoclinic | Triclinic | Orthorhombic |
| space group | C2/c | C2/c | P21/c | Pī | Pī | P21/c | Pī | Pbcn |
| a, Å | 19.5010(2) | 19.5876(9) | 8.7320(2) | 8.75460(10) | 9.19230(10) | 9.1936(3) | 5.7643(2) | 30.447(3) |
| b, Å | 15.7555(2) | 15.7653(7) | 17.7599(4) | 10.42140(10) | 10.04730(10) | 9.5947(3) | 10.9232(4) | 7.1791(6) |
| c, Å | 16.8035(2) | 16.9997(12) | 30.8251(6) | 10.63650(10) | 10.64370(10) | 20.7529(6) | 17.0937(6) | 21.1316(18) |
| α, ° | 90 | 90 | 90 | 70.8840(10) | 75.8250(10) | 90 | 104.361(2) | 90 |
| β, ° | 121.2450(10) | 121.2690(10) | 93.2980(10) | 87.1970(10) | 87.5800(10) | 93.933(2) | 95.714(2) | 90 |
| γ, ° | 90 | 90 | 90 | 71.3430(10) | 67.1700(10) | 90 | 105.227(2) | 90 |
| V, Å3 | 4414.01(9) | 4487.0(4) | 4772.42(18) | 867.036(15) | 876.898(15) | 1826.30(10) | 990.32(6) | 4619.0(7) |
| Z | 8 | 8 | 4 | 1 | 1 | 4 | 2 | 8 |
| dcalc, mg/m3 | 1.430 | 1.407 | 1.233 | 1.575 | 1.558 | 1.496 | 1.549 | 1.196 |
| F(000) | 1984 | 1976 | 1840 | 424 | 422 | 844 | 478 | 1704 |
| µ(Mo Kα), mm−1 | 0.922 | 0.807 | 0.845 | 1.152 | 1.012 | 0.971 | 1.144 | 0.971 |
| range(2θ) for data collection, deg | 3.56 to 52.00 | 3.54 to 52.00 | 3.50 to 52.00 | 4.06 to 56.58 | 3.96 to 56.64 | 3.94 to 56.58 | 4.04 to 52.00 | 3.86 to 52.00 |
| independent reflections | 4351 [R(int) = 0.0383] | 4426 [R(int) = 0.0510] | 9367 [R(int) = 0.0620] | 4228 [R(int) = 0.0203] | 4058 [R(int) = 0.0182] | 4523 [R(int) = 0.0286] | 3871 [R(int) = 0.0257] | 4519 [R(int) = 0.0737] |
| data/restraints/parameters | 4351/3/260 | 4426/3/260 | 9367/3/515 | 4228/0/244 | 4058/0/244 | 4523/0/244 | 3871/1/273 | 4519/0/244 |
| quality-of-fit indicator c | 1.053 | 1.043 | 1.069 | 1.034 | 1.056 | 1.026 | 1.051 | 1.051 |
| final R indices[I > 2σ (I)] a,b | R1 = 0.0553, wR2 = 0.1683 | R1 = 0.0614, wR2 = 0.1777 | R1 = 0.0779 wR2 = 0.2195 | R1 = 0.0270, wR2 = 0.0642 | R1 = 0.0272, wR2 = 0.0733 | R1 = 0.0372, wR2 = 0.0860 | R1 = 0.0449, wR2 = 0.1126 | R1 = 0.0465 wR2 = 0.1156 |
| R indices (all data) | R1 = 0.0872, wR2 = 0.1904 | R1 = 0.1027, wR2 = 0.2065 | R1 = 0.1196, wR2 = 0.2455 | R1 = 0.0328, wR2 = 0.0669 | R1 = 0.0304, wR2 = 0.0750 | R1 = 0.0620, wR2 = 0.0962 | R1 = 0.0596, wR2 = 0.1220 | R1 = 0.0938 wR2 = 0.1424 |
| Complex | Metal | CN | Dicarboxylate | Coordination Mode | Structure |
|---|---|---|---|---|---|
| 1a | Ni(II) | 6 | 1,4-BDC2− | Scheme 2a | Zigzag chain |
| 1b | Co(II) | 6 | 1,4-BDC2− | Scheme 2a | Zigzag chain |
| 2 | Ni(II) | 6 | 1,3-BDC2− | Scheme 2b | Concave–convex chain |
| 3a | Ni(II) | 5 | 1,2-BDC2− | Scheme 2c | Dinuclear metallocycle |
| 3b | Co(II) | 4 | 1,2-BDC2− | Scheme 2d | Dinuclear metallocycle |
| 4 | Co(II) | 4 | 1,3-BDC2− | Scheme 2e | Helical chain |
| 5a | Cu(II) | 4 | 1,4-BDC2− | Scheme 2f | Linear chain |
| 5b·H2O | Cu(II) | 4 | 1,4-BDC2− | Scheme 2g | Zigzag chain |
© 2020 by the authors. Licensee MDPI, Basel, Switzerland. This article is an open access article distributed under the terms and conditions of the Creative Commons Attribution (CC BY) license (http://creativecommons.org/licenses/by/4.0/).
Share and Cite
Chen, K.-T.; Hu, J.-H.; Yang, X.-K.; Chen, J.-D. Impact of Isomeric Dicarboxylate Ligands on the Formation of One-Dimensional Coordination Polymers and Metallocycles: A Novel cis→trans Isomerization. Polymers 2020, 12, 1281. https://doi.org/10.3390/polym12061281
Chen K-T, Hu J-H, Yang X-K, Chen J-D. Impact of Isomeric Dicarboxylate Ligands on the Formation of One-Dimensional Coordination Polymers and Metallocycles: A Novel cis→trans Isomerization. Polymers. 2020; 12(6):1281. https://doi.org/10.3390/polym12061281
Chicago/Turabian StyleChen, Kuan-Ting, Ji-Hong Hu, Xiang-Kai Yang, and Jhy-Der Chen. 2020. "Impact of Isomeric Dicarboxylate Ligands on the Formation of One-Dimensional Coordination Polymers and Metallocycles: A Novel cis→trans Isomerization" Polymers 12, no. 6: 1281. https://doi.org/10.3390/polym12061281
APA StyleChen, K.-T., Hu, J.-H., Yang, X.-K., & Chen, J.-D. (2020). Impact of Isomeric Dicarboxylate Ligands on the Formation of One-Dimensional Coordination Polymers and Metallocycles: A Novel cis→trans Isomerization. Polymers, 12(6), 1281. https://doi.org/10.3390/polym12061281

