Ionic Conductivity and Structure of Chitosan Films Modified with Lactic Acid-Choline Chloride NADES
Abstract
1. Introduction
2. Materials and Methods
2.1. Materials
2.2. Films Preparation
2.3. Characterization Methods
2.3.1. Fourier Transform Infrared Spectroscopy
2.3.2. Microscopic Investigation
2.3.3. Wide- and Small-Angle X-Ray Diffraction Study
2.3.4. Thermogravimetric Analysis (TGA)
2.3.5. Thermo-Mechanical Analysis
2.3.6. Sorption Isotherms
2.3.7. Electrical Properties
3. Results and Discussion
3.1. Fourier Transform Infrared Spectra
3.2. Scanning Electron Microscopy
3.3. X-Ray Diffraction Investigation
3.3.1. WAXD Data
3.3.2. SAXD Data
3.4. Thermal Properties of Films
3.4.1. Thermal Gravimetric Analysis
3.4.2. Thermo-Mechanical Analysis
3.5. Water Sorption Measurements
3.6. Mechanical Properties
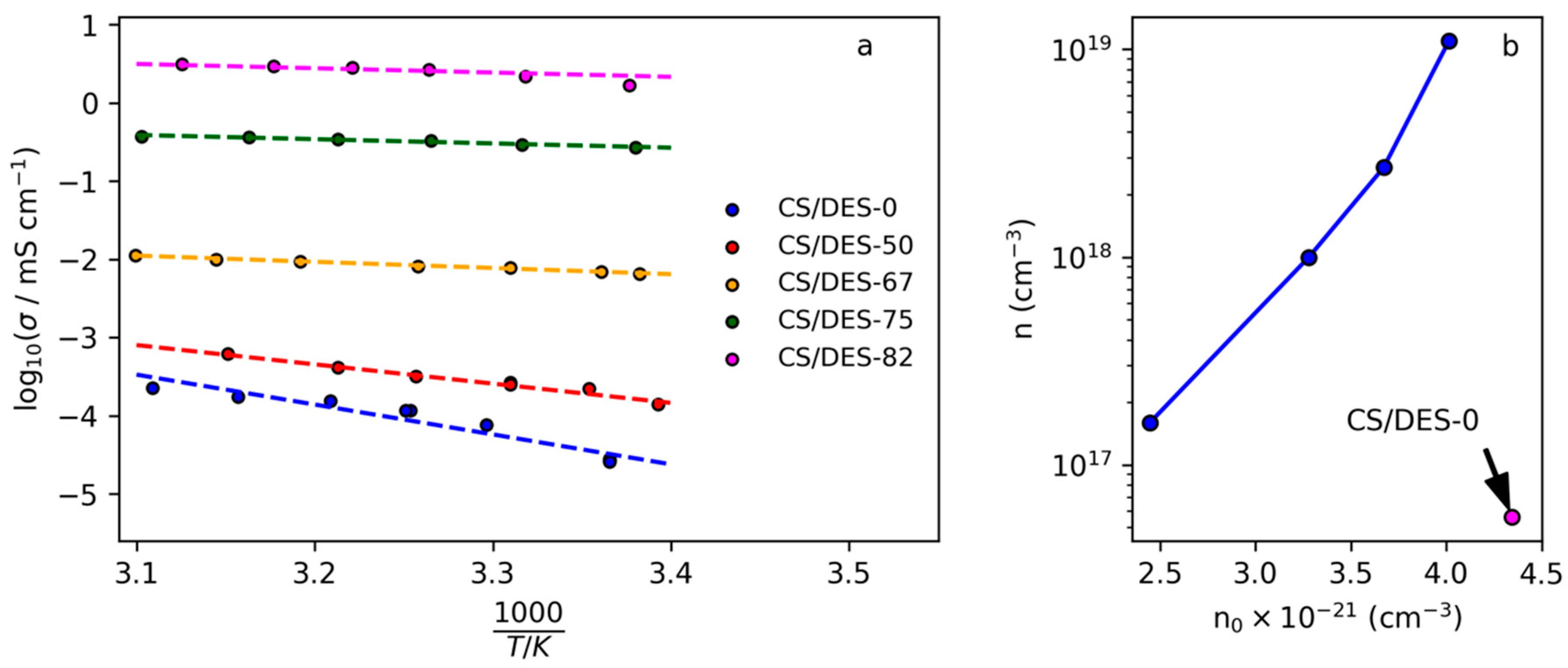
3.7. Ionic Conductivity and Transport Properties of CS/DES Films
4. Conclusions
Supplementary Materials
Author Contributions
Funding
Acknowledgments
Conflicts of Interest
References
- Naskar, S.; Koutsu, K.; Sharma, S. Chitosan-Based Nanoparticles as Drug Delivery Systems: A Review on Two Decades of Research. J. Drug Target. 2019, 27, 379–393. [Google Scholar] [CrossRef] [PubMed]
- Sultankulov, B.; Berillo, D.; Sultankulova, K.; Tokay, T.; Saparov, A. Progress in the Development of Chitosan-Based Biomaterials for Tissue Engineering and Regenerative Medicine. Biomolecules 2019, 9, 470. [Google Scholar] [CrossRef]
- Tabriz, A.; Ur Rehman Alvi, M.A.; Khan Niazi, M.B.; Batool, M.; Bhatti, M.F.; Khan, A.L.; Khan, A.U.; Jamil, T.; Ahmad, N.M. Quaternized Trimethyl Functionalized Chitosan Based Antifungal Membranes for Drinking Water Treatment. Carbohydr. Polym. 2019, 207, 17–25. [Google Scholar] [CrossRef] [PubMed]
- Kononova, S.V.; Kruchinina, E.V.; Petrova, V.A.; Baklagina, Y.G.; Klechkovskaya, V.V.; Orekhov, A.S.; Vlasova, E.N.; Popova, E.N.; Gubanova, G.N.; Skorik, Y.A. Pervaporation Membranes of a Simplex Type with Polyelectrolyte Layers of Chitosan and Sodium Hyaluronate. Carbohydr. Polym. 2019, 209, 10–19. [Google Scholar] [CrossRef] [PubMed]
- Cazón, P.; Vázquez, M. Mechanical and Barrier Properties of Chitosan Combined with Other Components as Food Packaging Film. Environ. Chem. Lett. 2019. [Google Scholar] [CrossRef]
- Ilic, I.K.; Meurer, M.; Chaleawlert-Umpon, S.; Antonietti, M.; Liedel, C. Vanillin Decorated Chitosan as Electrode Material for Sustainable Energy Storage. RSC Adv. 2019, 9, 4591–4598. [Google Scholar] [CrossRef]
- Smirnov, M.A.; Sokolova, M.P.; Bobrova, N.V.; Toikka, A.M.; Morganti, P.; Lahderanta, E. Synergistic Effect of Chitin Nanofibers and Polyacrylamide on Electrochemical Performance of Their Ternary Composite with Polypyrrole. J. Energy Chem. 2018, 27, 843–853. [Google Scholar] [CrossRef]
- Varshney, P.K.; Gupta, S. Natural Polymer-Based Electrolytes for Electrochemical Devices: A Review. Ionics 2011, 17, 479–483. [Google Scholar] [CrossRef]
- Xiong, Y.; Wang, H.; Wu, C.; Wang, R. Preparation and Characterization of Conductive Chitosan-Ionic Liquid Composite Membranes. Polym. Adv. Technol. 2012, 23, 1429–1434. [Google Scholar] [CrossRef]
- Aziz, S.B.; Hamsan, M.H.; Karim, W.O.; Kadir, M.F.Z.; Brza, M.A.; Abdullah, O.G. High Proton Conducting Polymer Blend Electrolytes Based on Chitosan:Dextran with Constant Specific Capacitance and Energy Density. Biomolecules 2019, 9, 267. [Google Scholar] [CrossRef]
- Yang, H.; Liu, Y.; Kong, L.; Kang, L.; Ran, F. Biopolymer-Based Carboxylated Chitosan Hydrogel Film Crosslinked by HCl as Gel Polymer Electrolyte for All-Solid-Sate Supercapacitors. J. Power Sources 2019, 426, 47–54. [Google Scholar] [CrossRef]
- Du, Z.; Su, Y.; Qu, Y.; Zhao, L.; Jia, X.; Mo, Y.; Yu, F.; Du, J.; Chen, Y. A Mechanically Robust, Biodegradable and High Performance Cellulose Gel Membrane as Gel Polymer Electrolyte of Lithium-Ion Battery. Electrochim. Acta 2019, 299, 19–26. [Google Scholar] [CrossRef]
- Li, T.; Zhang, X.; Lacey, S.D.; Mi, R.; Zhao, X.; Jiang, F.; Song, J.; Liu, Z.; Chen, G.; Dai, J.; et al. Cellulose Ionic Conductors with High Differential Thermal Voltage for Low-Grade Heat Harvesting. Nat. Mater. 2019, 18, 608–613. [Google Scholar] [CrossRef] [PubMed]
- Smirnov, M.A.; Vorobiov, V.K.; Sokolova, M.P.; Bobrova, N.V.; Lahderanta, E.; Hiltunen, S.; Yakimansky, A.V. Electrochemical Properties of Supercapacitor Electrodes Based on Polypyrrole and Enzymatically Prepared Cellulose Nanofibers. Polym. Sci. Ser. C 2018, 60, 228–239. [Google Scholar] [CrossRef]
- Forsyth, M.; Porcarelli, L.; Wang, X.; Goujon, N.; Mecerreyes, D. Innovative Electrolytes Based on Ionic Liquids and Polymers for Next-Generation Solid-State Batteries. Acc. Chem. Res. 2019, 52, 686–694. [Google Scholar] [CrossRef] [PubMed]
- Thiemann, S.; Sachnov, S.J.; Pettersson, F.; Bollström, R.; Österbacka, R.; Wasserscheid, P.; Zaumseil, J. Cellulose-Based Ionogels for Paper Electronics. Adv. Funct. Mater. 2014, 24, 625–634. [Google Scholar] [CrossRef]
- Isik, M.; Lonjaret, T.; Sardon, H.; Marcilla, R.; Herve, T.; Malliaras, G.G.; Ismailova, E.; Mecerreyes, D. Cholinium-Based Ion Gels as Solid Electrolytes for Long-Term Cutaneous Electrophysiology. J. Mater. Chem. C 2015, 3, 8942–8948. [Google Scholar] [CrossRef]
- Mazza, M.; Catana, D.A.; Vaca-Garcia, C.; Cecutti, C. Influence of Water on the Dissolution of Cellulose in Selected Ionic Liquids. Cellulose 2009, 16, 207–215. [Google Scholar] [CrossRef]
- Lee, J.M.; Nguyen, D.Q.; Lee, S.B.; Kim, H.; Ahn, B.S.; Kim, H.S. Cellulose Triacetate-Based Polymer Gel Electrolytes Jung. J. Appl. Polym. Sci. 2010, 115, 32–36. [Google Scholar] [CrossRef]
- Kotatha, D.; Torii, Y.; Shinomiya, K.; Ogino, M.; Uchida, S.; Ishikawa, M.; Furuike, T.; Tamura, H. Preparation of Thin-Film Electrolyte from Chitosan-Containing Ionic Liquid for Application to Electric Double-Layer Capacitors. Int. J. Biol. Macromol. 2019, 124, 1274–1280. [Google Scholar] [CrossRef]
- Chupp, J.; Shellikeri, A.; Palui, G.; Chatterjee, J. Chitosan-Based Gel Film Electrolytes Containing Ionic Liquid and Lithium Salt for Energy Storage Applications. J. Appl. Polym. Sci. 2015, 132, 1–8. [Google Scholar] [CrossRef]
- Tang, B.; Schneiderman, D.K.; Zare Bidoky, F.; Frisbie, C.D.; Lodge, T.P. Printable, Degradable, and Biocompatible Ion Gels from a Renewable ABA Triblock Polyester and a Low Toxicity Ionic Liquid. ACS Macro Lett. 2017, 6, 1083–1088. [Google Scholar] [CrossRef]
- Zhang, Y.; Ji, X.; Lu, X. Choline-Based Deep Eutectic Solvents for CO2 Separation: Review and Thermodynamic Analysis. Renew. Sustain. Energy Rev. 2018, 97, 436–455. [Google Scholar] [CrossRef]
- Wells, A.S.; Coombe, V.T. On the Freshwater Ecotoxicity and Biodegradation Properties of Some Common Ionic Liquids. Org. Process Res. Dev. 2006, 10, 794–798. [Google Scholar] [CrossRef]
- Smith, E.L.; Abbott, A.P.; Ryder, K.S. Deep Eutectic Solvents (DESs) and Their Applications. Chem. Rev. 2014, 114, 11060–11082. [Google Scholar] [CrossRef]
- Samarov, A.A.; Smirnov, M.A.; Toikka, A.M.; Prikhodko, I.V. Study of Deep Eutectic Solvent on the Base Choline Chloride as Entrainer for the Separation Alcohol–Ester Systems. J. Chem. Eng. Data 2018, 63, 1877–1884. [Google Scholar] [CrossRef]
- Samarov, A.A.; Smirnov, M.A.; Sokolova, M.P.; Popova, E.N.; Toikka, A.M. Choline Chloride Based Deep Eutectic Solvents as Extraction Media for Separation of n -Hexane–Ethanol Mixture. Fluid Phase Equilib. 2017, 448, 123–127. [Google Scholar] [CrossRef]
- Paiva, A.; Craveiro, R.; Aroso, I.; Martins, M.; Reis, R.L.; Duarte, A.R.C. Natural Deep Eutectic Solvents—Solvents for the 21st Century. ACS Sustain. Chem. Eng. 2014, 2, 1063–1071. [Google Scholar] [CrossRef]
- Selvanathan, V.; Azzahari, A.D.; Adyani, A.A.; Yahya, R. Ternary Natural Deep Eutectic Solvent (NADES) Infused Phthaloyl Starch as Cost Efficient Quasi-Solid Gel Polymer Electrolyte. Carbohydr. Polym. 2017, 167, 210–218. [Google Scholar] [CrossRef]
- Galvis-Sánchez, A.C.; Castro, M.C.R.; Biernacki, K.; Gonçalves, M.P.; Souza, H.K.S. Natural Deep Eutectic Solvents as Green Plasticizers for Chitosan Thermoplastic Production with Controlled/Desired Mechanical and Barrier Properties. Food Hydrocoll. 2018. [Google Scholar] [CrossRef]
- Roda, A.; Matias, A.A.; Paiva, A.; Duarte, A.R.C. Polymer Science and Engineering Using Deep Eutectic Solvents. Polymers 2019, 11, 912. [Google Scholar] [CrossRef] [PubMed]
- Zdanowicz, M.; Wilpiszewska, K.; Spychaj, T. Deep Eutectic Solvents for Polysaccharides Processing. A Review. Carbohydr. Polym. 2018, 200, 361–380. [Google Scholar] [CrossRef] [PubMed]
- Colomines, G.; Decaen, P.; Lourdin, D.; Leroy, E. Biofriendly Ionic Liquids for Starch Plasticization: A Screening Approach. RSC Adv. 2016, 6, 90331–90337. [Google Scholar] [CrossRef]
- Galvis-Sánchez, A.C.; Sousa, A.M.M.; Hilliou, L.; Gonçalves, M.P.; Souza, H.K.S. Thermo-Compression Molding of Chitosan with a Deep Eutectic Mixture for Biofilms Development. Green Chem. 2016, 18, 1571–1580. [Google Scholar] [CrossRef]
- Sokolova, M.P.; Smirnov, M.A.; Samarov, A.A.; Bobrova, N.V.; Vorobiov, V.K.; Popova, E.N.; Filippova, E.; Geydt, P.; Lahderanta, E.; Toikka, A.M. Plasticizing of Chitosan Films with Deep Eutectic Mixture of Malonic Acid and Choline Chloride. Carbohydr. Polym. 2018, 197, 548–557. [Google Scholar] [CrossRef]
- Decaen, P.; Rolland-Sabaté, A.; Guilois, S.; Jury, V.; Allanic, N.; Colomines, G.; Lourdin, D.; Leroy, E. Choline Chloride vs Choline Ionic Liquids for Starch Thermoplasticization. Carbohydr. Polym. 2017, 177, 424–432. [Google Scholar] [CrossRef]
- Alcalde, R.; Gutiérrez, A.; Atilhan, M.; Aparicio, S. An Experimental and Theoretical Investigation of the Physicochemical Properties on Choline Chloride—Lactic Acid Based Natural Deep Eutectic Solvent (NADES). J. Mol. Liq. 2019, 290, 110916. [Google Scholar] [CrossRef]
- Laatikainen, M.; Lindström, M. General Sorption Isotherm for Swelling Materials. Acta Polytech. Scand. Chem. Technol. Metall. Ser. 1987, 178, 105–116. [Google Scholar]
- Matet, M.; Heuzey, M.; Pollet, E.; Ajji, A.; Avérous, L. Innovative Thermoplastic Chitosan Obtained by Thermo-Mechanical Mixing with Polyol Plasticizers. Carbohydr. Polym. 2013, 95, 241–251. [Google Scholar] [CrossRef]
- Pǎucean, A.; Vodnar, D.C.; Mureşan, V.; Fetea, F.; Ranga, F.; Man, S.M.; Muste, S.; Socaciu, C. Monitoring Lactic Acid Concentrations by Infrared Spectroscopy: A New Developed Method for Lactobacillus Fermenting Media with Potential Food Applications. Acta Aliment. 2017, 46, 420–427. [Google Scholar] [CrossRef]
- NIST Chemistry WebBook, NIST Standard Reference Database Number 69, National Institute of Standards and Technology. Available online: https://webbook.nist.gov/cgi/cbook.cgi?ID=C67481&Mask=80#IR-Spec (accessed on 2 February 2020).
- Ogawa, K.; Hirano, S.; Miyanishi, T.; Yui, T.; Watanabe, T. A New Polymorph of Chitosan. Macromolecules 1984, 17, 973–975. [Google Scholar] [CrossRef]
- He, Q.; Ao, Q.; Gong, Y.; Zhang, X. Preparation of Chitosan Films Using Different Neutralizing Solutions to Improve Endothelial Cell Compatibility. J. Mater. Sci. Mater. Med. 2011, 22, 2791–2802. [Google Scholar] [CrossRef] [PubMed]
- Kawada, J.; Yui, T.; Okuyama, K.; Ogawa, K. Crystalline Behavior of Chitosan Organic Acid Salts. Biosci. Biotechnol. Biochem. 2001, 65, 2542–2547. [Google Scholar] [CrossRef] [PubMed]
- Ogawa, K.; Yui, T. Crystallinity of Partially N-Acetylated Chitosans. Biosci. Biotechnol. Biochem. 1993, 57, 1466–1469. [Google Scholar] [CrossRef]
- Baklagina, Y.G.; Klechkovskaya, V.V.; Kononova, S.V.; Petrova, V.A.; Poshina, D.N.; Orekhov, A.S.; Skorik, Y.A. Polymorphic Modifications of Chitosan. Crystallogr. Rep. 2018, 63, 303–313. [Google Scholar] [CrossRef]
- Ogawa, K.; Yui, T.; Okuyama, K. Three D Structures of Chitosan. Int. J. Biol. Macromol. 2004, 34, 1–8. [Google Scholar] [CrossRef]
- Takara, E.A.; Marchese, J.; Ochoa, N.A. NaOH Treatment of Chitosan Films: Impact on Macromolecular Structure and Film Properties. Carbohydr. Polym. 2015, 132, 25–30. [Google Scholar] [CrossRef]
- Kumirska, J.; Czerwicka, M.; Kaczyński, Z.; Bychowska, A.; Brzozowski, K.; Thöming, J.; Stepnowski, P. Application of Spectroscopic Methods for Structural Analysis of Chitin and Chitosan. Mar. Drugs 2010, 8, 1567–1636. [Google Scholar] [CrossRef]
- Guinier, A.; Fournet, G. Smal-Angle Scattering of X-Rays; John Wiley & Sons, Inc.: New York, NY, USA, 1955. [Google Scholar]
- Schmidt, P.W. Small-Angle Scattering Studies of Disordered, Porous and Fractal Systems. J. Appl. Crystallogr. 1991, 24, 414–435. [Google Scholar] [CrossRef]
- Zhu, G.; Huang, Z.; Xu, Z.; Yan, L.T. Tailoring Interfacial Nanoparticle Organization through Entropy. Acc. Chem. Res. 2018, 51, 900–909. [Google Scholar] [CrossRef]
- Nikolov, S.; Han, C.S.; Raabe, D. On the Origin of Size Effects in Small-Strain Elasticity of Solid Polymers. Int. J. Solids Struct. 2007, 44, 1582–1592. [Google Scholar] [CrossRef]
- Lodge, T.P.; Muthukumar, M. Physical Chemistry of Polymers: Entropy, Interactions, and Dynamics. J. Phys. Chem. 1996, 100, 13275–13292. [Google Scholar] [CrossRef]
- Agmon, N. The Grotthuss Mechanism. Chem. Phys. Lett. 1995, 244, 456–462. [Google Scholar] [CrossRef]











| Sample | Rg, nm |
|---|---|
| CS/DES-50 | 7.1 |
| CS/DES-67 | 7.8 |
| CS/DES-75 | 8.2 |
| CS/DES-82 | 9.6 |
| Sample | τ5, °C | τ5, °C * |
|---|---|---|
| CS | - | 269 |
| CS/DES-0 | 134 | 255 |
| CS/DES-50 | 178 | 228 |
| CS/DES-67 | 189 | 228 |
| CS/DES-75 | 172 | 229 |
| CS/DES-82 | 169 | 232 |
| NADES Content, wt% | am, g/g | α | β |
|---|---|---|---|
| 0 | 0.07 | 1.28 | 0.98 |
| 50 | 0.08 | 15.85 | 1 |
| 67 | 0.09 | 2.23 | 1 |
| 75 | 0.13 | 0.96 | 1 |
| 82 | 0.14 | 1.37 | 1 |
| Sample | Modulus, MPa | Strength, MPa | Elongation at Break, % |
|---|---|---|---|
| CS/DES-0 | 1300 ± 100 | 31 ± 2 | 3.5 ± 1 |
| CS/DES-50 | 32 ± 5 | 16 ± 1 | 60 ± 10 |
| CS/DES-67 | 14 ± 2 | 12 ± 2 | 92 ± 9 |
| CS/DES-75 | 8 ± 2 | 5 ± 2 | 75 ± 25 |
| CS/DES-82 | 6 ± 1 | 3.3 ± 0.7 | 50 ± 14 |
| Sample | σ, mS/cm | D, cm2/s | μ, cm2/V s | n, 1/cm3 | Ea, kJ/mol |
|---|---|---|---|---|---|
| CS/DES-0 | 2.8 × 10−5 | 8.1 × 10−8 | 3.2 × 10−6 | 5.6 × 1016 | 73 |
| CS/DES-50 | 1.4 × 10−4 | 1.4 × 10−6 | 5.7 × 10−5 | 1.6 × 1017 | 47 |
| CS/DES-67 | 6.6 × 10−2 | 1.0 × 10−5 | 4.1 × 10−4 | 1.0 × 1018 | 15 |
| CS/DES-75 | 2.7 × 10−1 | 1.6 × 10−5 | 6.4 × 10−4 | 2.7 × 1018 | 10 |
| CS/DES-82 | 1.7 × 100 | 2.3 × 10−5 | 9.2 × 10−4 | 1.1 × 1019 | 10 |
© 2020 by the authors. Licensee MDPI, Basel, Switzerland. This article is an open access article distributed under the terms and conditions of the Creative Commons Attribution (CC BY) license (http://creativecommons.org/licenses/by/4.0/).
Share and Cite
Smirnov, M.A.; Nikolaeva, A.L.; Vorobiov, V.K.; Bobrova, N.V.; Abalov, I.V.; Smirnov, A.V.; Sokolova, M.P. Ionic Conductivity and Structure of Chitosan Films Modified with Lactic Acid-Choline Chloride NADES. Polymers 2020, 12, 350. https://doi.org/10.3390/polym12020350
Smirnov MA, Nikolaeva AL, Vorobiov VK, Bobrova NV, Abalov IV, Smirnov AV, Sokolova MP. Ionic Conductivity and Structure of Chitosan Films Modified with Lactic Acid-Choline Chloride NADES. Polymers. 2020; 12(2):350. https://doi.org/10.3390/polym12020350
Chicago/Turabian StyleSmirnov, Mikhail A., Alexandra L. Nikolaeva, Vitaly K. Vorobiov, Natalia V. Bobrova, Ivan V. Abalov, Alexander V. Smirnov, and Maria P. Sokolova. 2020. "Ionic Conductivity and Structure of Chitosan Films Modified with Lactic Acid-Choline Chloride NADES" Polymers 12, no. 2: 350. https://doi.org/10.3390/polym12020350
APA StyleSmirnov, M. A., Nikolaeva, A. L., Vorobiov, V. K., Bobrova, N. V., Abalov, I. V., Smirnov, A. V., & Sokolova, M. P. (2020). Ionic Conductivity and Structure of Chitosan Films Modified with Lactic Acid-Choline Chloride NADES. Polymers, 12(2), 350. https://doi.org/10.3390/polym12020350

