Electric Field Enhances Shear Resistance of Polymer Melts via Orientational Polarization in Microstructures
Abstract
1. Introduction
2. Experimental
2.1. Material
2.2. Rheology Behavior
2.2.1. Dynamic Strain Sweep
2.2.2. Dynamic Time Sweep
2.2.3. Strain Rate Sweep
2.2.4. Creep Test
3. Results and Discussion
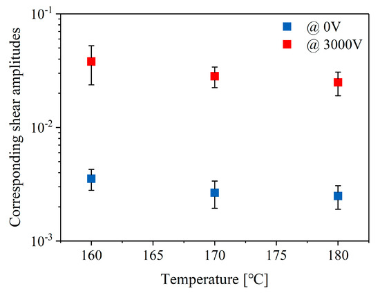
3.1. Oscillation Behavior
3.2. Creep Behavior and Model Fit
3.3. Flow Behavior
3.4. Recovery of Internal Structure
4. Conclusions
Supplementary Materials
Author Contributions
Funding
Acknowledgments
Conflicts of Interest
References
- Winslow, W.M. Induced Fibration of Suspensions. J. Appl. Phys. 1949, 20, 1137–1140. [Google Scholar] [CrossRef]
- Martin, J.E.; Odinek, J.; Halsey, T.C. Evolution of structure in a quiescent electrorheological fluid. Phys. Rev. Lett. 1992, 69, 1524–1527. [Google Scholar] [CrossRef]
- Bonnecaze, R.T.; Brady, J.F. Dynamic simulation of an electrorheological fluid. J. Chem. Phys. 1992, 96, 2183–2202. [Google Scholar] [CrossRef]
- Chin, B.D.; Winter, H.H. Field-induced gelation, yield stress, and fragility of an electro-rheological suspension. Rheol. Acta 2002, 41, 265–275. [Google Scholar] [CrossRef]
- Choi, H.J.; Jhon, M.S. Electrorheology of polymers and nanocomposites. Soft Matter 2009, 5, 1562–1567. [Google Scholar] [CrossRef]
- Du, F.; Scogna, R.C.; Zhou, W.; Brand, S.; Fischer, J.E.; Winey, K.I. Nanotube Networks in Polymer Nanocomposites: Rheology and Electrical Conductivity. Macromolecules 2004, 37, 9048–9055. [Google Scholar] [CrossRef]
- Yee, M.; Souza, A.M.; Valera, T.S.; Demarquette, N.R. Stress relaxation behavior of PMMA/PS polymer blends. Rheol. Acta 2009, 48, 527–541. [Google Scholar] [CrossRef]
- Kimura, H.; Aikawa, K.; Masubuchi, Y.; Takimoto, J.; Koyama, K.; Uemura, T. ‘Positive’ and ‘negative’ electro-rheological effect of liquid blends1Dedicated to the memory of Professor Gianni Astarita1. J. Non Newton. Fluid Mech. 1998, 76, 199–211. [Google Scholar] [CrossRef]
- Park, C.; Wilkinson, J.; Banda, S.; Ounaies, Z.; Wise, K.E.; Sauti, G.; Lillehei, P.T.; Harrison, J.S. Aligned single-wall carbon nanotube polymer composites using an electric field. J. Polym. Sci. Part B Polym. Phys. 2006, 44, 1751–1762. [Google Scholar] [CrossRef]
- Kwon, O.M.; Watanabe, H.; Ahn, K.H.; Lee, S.J. Interplay between structure and property of graphene nanoplatelet networks formed by an electric field in a poly(lactic acid) matrix. J. Rheol. 2017, 61, 291–303. [Google Scholar] [CrossRef]
- Kontopoulou, M.; Kaufman, M.; Docoslis, A. Electrorheological properties of PDMS/carbon black suspensions under shear flow. Rheol. Acta 2009, 48, 409–421. [Google Scholar]
- Martin, C.A.; Sandler, J.K.; Windle, A.H.; Schwarz, M.K.; Bauhofer, W.; Schulte, K.; Shaffer, M.S. Electric field-induced aligned multi-wall carbon nanotube networks in epoxy composites. Polymer 2005, 46, 877–886. [Google Scholar] [CrossRef]
- Kumar, S.; Khatua, S.; Thareja, P. Fumed alumina-in-nematic liquid crystal suspensions under shear and electric field. Rheol. Acta 2019, 58, 203–216. [Google Scholar] [CrossRef]
- Mackey, M.; Schuele, D.E.; Zhu, L.; Flandin, L.; Wolak, M.A.; Shirk, J.S.; Hiltner, A.; Baer, E. Reduction of Dielectric Hysteresis in Multilayered Films via Nanoconfinement. Macromolecules 2012, 45, 1954–1962. [Google Scholar] [CrossRef]
- Kho, D.H.; Chae, S.H.; Jeong, U.; Kim, H.Y.; Kim, J.K. Morphological Development at the Interface of Polymer/Polymer Bilayer with an in-Situ Compatibilizer under Electric Field. Macromolecules 2005, 38, 3820–3827. [Google Scholar] [CrossRef]
- Solanki, A.; Wu, B.; Salim, T.; Yeow, E.K.; Lam, Y.M.; Sum, T.C. Performance Improvements in Polymer Nanofiber/Fullerene Solar Cells with External Electric Field Treatment. J. Phys. Chem. C 2014, 118, 11285–11291. [Google Scholar] [CrossRef]
- Morariu, M.D.; Voicu, N.E.; Schäffer, E.; Lin, Z.; Russell, T.P.; Steiner, U. Hierarchical structure formation and pattern replication induced by an electric field. Nat. Mater. 2003, 2, 48–52. [Google Scholar] [CrossRef]
- Leach, K.A.; Lin, Z.; Russell, T.P. Early Stages in the Growth of Electric Field-Induced Surface Fluctuations. Macromolecules 2005, 38, 4868–4873. [Google Scholar] [CrossRef]
- Chou, S.Y.; Zhuang, L. Lithographically induced self-assembly of periodic polymer micropillar arrays. J. Vac. Sci. Technol. B 1999, 17, 3197–3202. [Google Scholar] [CrossRef]
- Morkved, T.L.; Lu, M.; Urbas, A.M.; Ehrichs, E.E.; Jaeger, H.M.; Mansky, P.; Russell, T.P. Local Control of Microdomain Orientation in Diblock Copolymer Thin Films with Electric Fields. Science 1996, 273, 931. [Google Scholar] [CrossRef]
- Amundson, K.; Helfand, E.; Quan, X.; Hudson, S.D.; Smith, S.D. Alignment of Lamellar Block Copolymer Microstructure in an Electric Field. 2. Mechanisms of Alignment. Macromolecules 1994, 27, 6559–6570. [Google Scholar] [CrossRef]
- Amundson, K.; Helfand, E.; Quan, X.; Hudson, S.D.; Smith, S.D. Large Scale Domain Alignment of a Block Copolymer from Solution Using Electric Fields. Macromolecules 2002, 35, 1319–1325. [Google Scholar]
- Kan, D.; He, X. Tuning phase structures of a symmetrical diblock copolymer with a patterned electric field. Soft Matter 2016, 12, 4449–4456. [Google Scholar] [CrossRef] [PubMed]
- Kuijk, A.; Troppenz, T.; Filion, L.; Imhof, A.; Van Roij, R.; Dijkstra, M.; Van Blaaderen, A. Effect of external electric fields on the phase behavior of colloidal silica rods. Soft Matter 2014, 10, 6249–6255. [Google Scholar] [CrossRef] [PubMed]
- Lettieri, S.; Rega, R.; Pallotti, D.K.; Gennari, O.; Mecozzi, L.; Maddalena, P.; Ferraro, P.; Grilli, S. Direct Evidence of Polar Ordering and Investigation on Cytophilic Properties of Pyroelectrified Polymer Films by Optical Second Harmonic Generation Analysis. Macromolecules 2017, 50, 7666–7671. [Google Scholar] [CrossRef]
- Dong, Y.Z.; Seo, Y.; Choi, H.J. Recent development of electro-responsive smart electrorheological fluids. Soft Matter. 2019, 15, 3473–3486. [Google Scholar] [CrossRef] [PubMed]
- Gracia-Fernández, C.; Gómez-Barreiro, S.; Álvarez-García, A.; López-Beceiro, J.; Artiaga, R. Electrorheological behaviour of a starch-oil system. Rheol. Acta 2014, 53, 655–661. [Google Scholar] [CrossRef]
- Adalja, S.B.; Otaigbe, J.U. Creep and recovery behavior of novel organic-inorganic polymer hybrids. Polym. Compos. 2002, 23, 171–181. [Google Scholar] [CrossRef]
- Jia, Y.; Peng, K.; Gong, X.L.; Zhang, Z. Creep and recovery of polypropylene/carbon nanotube composites. Int. J. Plast. 2011, 27, 1239–1251. [Google Scholar] [CrossRef]
- Barnes, H.A.; Hutton, J.F.; Walters, K. An Introduction to Rheology; Elsevier: Amsterdam, The Netherlands, 1989. [Google Scholar]
- Gu, S.Y.; Zhang, K.; Ren, J.; Zhan, H. Melt rheology of polylactide/poly(butylene adipate-co-terephthalate) blends. Carbohydr. Polym. 2008, 74, 79–85. [Google Scholar] [CrossRef]
- La Mantia, F.P.; Valenza, A.; Paci, M.; Magagnini, P.L. Shear viscosity of polybutyleneterephthalate/liquid crystal polymer blends. Rheol. Acta 1989, 28, 417–422. [Google Scholar] [CrossRef]
- Otsubo, Y.; Edamura, K. Viscoelasticity of a dielectric fluid in nonuniform electric fields generated by electrodes with flocked fabrics. Rheol. Acta 1998, 37, 500–507. [Google Scholar] [CrossRef]
- Wang, Y.; Yu, M.-J. Effect of volume loading and surface treatment on the thixotropic behavior of polypropylene filled with calcium carbonate. Polym. Compos. 2000, 21, 1–12. [Google Scholar] [CrossRef]
- Edamura, K.; Otsubo, Y. Electrorheology of dielectric liquids. Rheol. Acta 2004, 43, 180–183. [Google Scholar] [CrossRef]
- Otsubo, Y.; Edamura, K. Elctrorheology of dilute suspensions induced by hydrodynamic instability. J. Non Newton. Fluid Mech. 1997, 71, 183–195. [Google Scholar] [CrossRef]








| Voltage (V) | 1/E1 (Pa−1) | 1/E2 (Pa−1) | τ (s) | η3 (s) |
|---|---|---|---|---|
| 0 | 0.003141 | 0.003041 | 0.06020 | 167.9 |
| 1000 | 0.003601 | 0.003416 | 0.06072 | 198.7 |
| 2000 | 0.003289 | 0.003058 | 0.06103 | 210.5 |
© 2020 by the authors. Licensee MDPI, Basel, Switzerland. This article is an open access article distributed under the terms and conditions of the Creative Commons Attribution (CC BY) license (http://creativecommons.org/licenses/by/4.0/).
Share and Cite
Huo, M.; Guo, Y. Electric Field Enhances Shear Resistance of Polymer Melts via Orientational Polarization in Microstructures. Polymers 2020, 12, 335. https://doi.org/10.3390/polym12020335
Huo M, Guo Y. Electric Field Enhances Shear Resistance of Polymer Melts via Orientational Polarization in Microstructures. Polymers. 2020; 12(2):335. https://doi.org/10.3390/polym12020335
Chicago/Turabian StyleHuo, Miao, and Yunlong Guo. 2020. "Electric Field Enhances Shear Resistance of Polymer Melts via Orientational Polarization in Microstructures" Polymers 12, no. 2: 335. https://doi.org/10.3390/polym12020335
APA StyleHuo, M., & Guo, Y. (2020). Electric Field Enhances Shear Resistance of Polymer Melts via Orientational Polarization in Microstructures. Polymers, 12(2), 335. https://doi.org/10.3390/polym12020335

