Production of Polyhydroxybutyrate (PHB) and Factors Impacting Its Chemical and Mechanical Characteristics
Abstract
1. Introduction
2. Polyhydroxyalkanoates (PHAs)
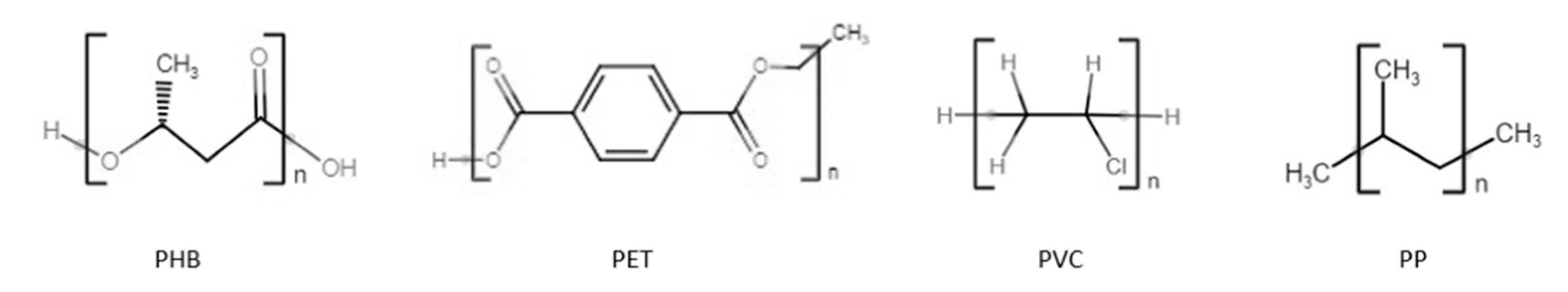
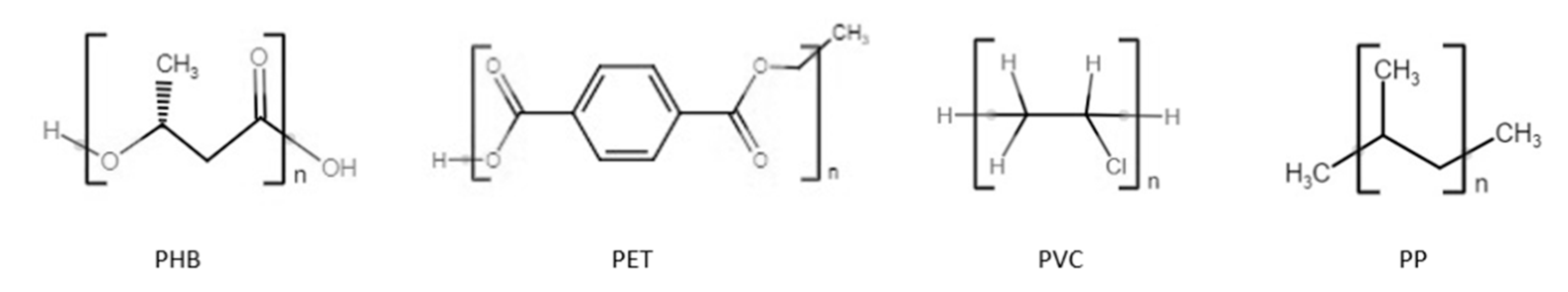
3. Polyhydroxybutyrate (PHB)
3.1. PHB Synthesis
- The reversible condensation of two acetyl-CoA moieties forming acetoacetyl-CoA, catalyzed by β-ketothiolase (PhaA);
- Acetoacetyl-CoA reduction to (R)-3-hydroxybutyryl-CoA by an acetoacetyl-CoA reductase (PhaB);
3.2. PHB Fermentation Methods
3.3. Factors Impacting Chemical and Mechanical Characteristics of PHB
3.3.1. PHB Producing Strains
3.3.2. Effect of Medium Composition
3.3.3. Effect of Carbon Source Present in Media
3.3.4. Effects of Agitation and Apparatus
3.3.5. Effect of Downstream Process
3.3.6. Aging of PHB Materials
3.4. Property Improvement Measures
4. Conclusions
Author Contributions
Funding
Acknowledgments
Conflicts of Interest
References
- Belgacem, M.N.; Gandini, A. Monomers, Polymers and Composites from Renewable Resources, 1st ed.; Elsevier Science: Amsterdam, The Netherlands, 2008. [Google Scholar]
- Pernicova, I.; Novackova, I.; Sedlacek, P.; Kourilova, X.; Kalina, M.; Kovalcik, A.; Koller, M.; Nebesarova, J.; Krzyzanek, V.; Hrubanova, K.; et al. Introducing the Newly Isolated Bacterium Aneurinibacillus Sp. H1 as an Auspicious Thermophilic Producer of Various Polyhydroxyalkanoates (PHA) Copolymers-1. Isolation and Characterization of the Bacterium. Polymers 2020, 12, 1235. [Google Scholar] [CrossRef] [PubMed]
- Koller, M. A Review on Established and Emerging Fermentation Schemes for Microbial Production of Polyhydroxyalkanoate (PHA) Biopolyesters. Fermentation 2018, 4, 30. [Google Scholar] [CrossRef]
- Steinbüchel, A. Perspectives for Biotechnological Production and Utilization of Biopolymers: Metabolic Engineering of Polyhydroxyalkanoate Biosynthesis Pathways as a Successful Example. Macromol. Biosci. 2001, 1, 1–24. [Google Scholar] [CrossRef]
- Shrivastav, A.; Kim, H.-Y.; Kim, Y.-R. Advances in the Applications of Polyhydroxyalkanoate Nanoparticles for Novel Drug Delivery System. BioMed Res. Int. 2013, 2013, 581684. [Google Scholar] [CrossRef] [PubMed]
- Puppi, D.; Pecorini, G.; Chiellini, F. Biomedical Processing of Polyhydroxyalkanoates. Bioengineering 2019, 6, 108. [Google Scholar] [CrossRef] [PubMed]
- Sujatha, K.; Mahalakshmi, A.; Shenbagarathai, R. A Study on Accumulation of PHB in Native Pseudomonas Isolates LDC-5 and LDC-25. Indian J. Biotechnol. 2005, 4, 216–221. [Google Scholar]
- Chen, S.; Liu, Q.; Wang, H.; Zhu, B.; Yu, F.; Chen, G.-Q.; Inoue, Y. Polymorphic Crystallization of Fractionated Microbial Medium-Chain-Length Polyhydroxyalkanoates. Polymer 2009, 50, 4378–4388. [Google Scholar] [CrossRef]
- Rodriguez-Contreras, A. Recent Advances in the Use of Polyhydroyalkanoates in Biomedicine. Bioengineering 2019, 6, 82. [Google Scholar] [CrossRef]
- Tan, G.Y.A.; Chen, C.L.; Li, L.; Ge, L.; Wang, L.; Razaad, I.M.N.; Li, Y.; Zhao, L.; Mo, Y.; Wang, J.Y. Start a Research on Biopolymer Polyhydroxyalkanoate (PHA): A Review. Polymers 2014, 3, 706–754. [Google Scholar] [CrossRef]
- Yu, L.-P.; Yan, X.; Zhang, X.; Chen, X.-B.; Wu, Q.; Jiang, X.-R.; Chen, G.-Q. Biosynthesis of Functional Polyhydroxyalkanoates by Engineered Halomonas Bluephagenesis. Metab. Eng. 2020, 59, 119–130. [Google Scholar] [CrossRef]
- Olivera, E.; Arcos, M.; Carrasco, G.; Luengo, J. Unusual PHA Biosynthesis. In Plastics from Bacteria; Springer: Berlin/Heidelberg, Germany, 2009; Volume 14, pp. 133–186. [Google Scholar] [CrossRef]
- Zheng, Y.; Chen, J.-C.; Ma, Y.; Chen, G.-Q. Engineering Biosynthesis of Polyhydroxyalkanoates (PHA) for Diversity and Cost Reduction. Metab. Eng. 2019, 58, 82–93. [Google Scholar] [CrossRef] [PubMed]
- Zembouai, I.; Kaci, M.; Bruzaud, S.; Benhamida, A.; Yves-Marie, C.; Grohens, Y. A Study of Morphological, Thermal, Rheological and Barrier Properties of Poly(3-Hydroxybutyrate-Co-3-Hydroxyvalerate)/Polylactide Blends Prepared by Melt Mixing. Polym. Test. 2013, 32, 842–851. [Google Scholar] [CrossRef]
- Bhatia, S.K.; Wadhwa, P.; Hong, J.W.; Hong, Y.G.; Jeon, J.-M.; Lee, E.S.; Yang, Y.-H. Lipase Mediated Functionalization of Poly(3-Hydroxybutyrate-Co-3-Hydroxyvalerate) with Ascorbic Acid into an Antioxidant Active Biomaterial. Int. J. Biol. Macromol. 2019, 123, 117–123. [Google Scholar] [CrossRef] [PubMed]
- Markl, E.; Grünbichler, H.; Lackner, M. PHB—Bio Based and BiodegradableReplacement for PP: A Review. Nov. Tech. Nutr. Food Sci. 2018, 2, 206–209. [Google Scholar]
- Brandl, H.; Gross, R.A.; Lenz, R.W.; Fuller, R.C. Pseudomonas Oleovorans as a Source of Poly(Beta-Hydroxyalkanoates) for Potential Applications as Biodegradable Polyesters. Appl. Environ. Microbiol. 1988, 54, 1977–1982. [Google Scholar] [CrossRef]
- Grigore, M.E.; Grigorescu, R.M.; Iancu, L.; Ion, R.-M.; Zaharia, C.; Andrei, E.R. Methods of Synthesis, Properties and Biomedical Applications of Polyhydroxyalkanoates: A Review. J. Biomater. Sci. Polym. Ed. 2019, 30, 695–712. [Google Scholar] [CrossRef]
- Kansiz, M.; Domínguez-Vidal, A.; McNaughton, D.; Lendl, B. Fourier-Transform Infrared (FTIR) Spectroscopy for Monitoring and Determining the Degree of Crystallisation of Polyhydroxyalkanoates (PHAs). Anal. Bioanal. Chem. 2007, 388, 1207–1213. [Google Scholar] [CrossRef]
- Wei, L.; Stark, N.M.; McDonald, A.G. Interfacial Improvements in Biocomposites Based on Poly(3-Hydroxybutyrate) and Poly(3-Hydroxybutyrate-Co-3-Hydroxyvalerate) Bioplastics Reinforced and Grafted with α-Cellulose Fibers. Green Chem. 2015, 17, 4800–4814. [Google Scholar] [CrossRef]
- Keridou, I.; Del Valle, L.; Funk, L.; Turon, P.; Yousef, I.; Franco, L.; Puiggalí, J. Isothermal Crystallization Kinetics of Poly(4-Hydroxybutyrate) Biopolymer. Materials 2019, 12, 2488. [Google Scholar] [CrossRef]
- Koller, M.; Salerno, A.; Dias, M.; Reiterer, A.; Braunegg, G. Modern Biotechnological Polymer Synthesis: A Review. Food Technol. Biotechnol. 2010, 48, 255–269. [Google Scholar]
- Utsunomia, C.; Ren, Q.; Zinn, M. Poly(4-Hydroxybutyrate): Current State and Perspectives. Front. Bioeng. Biotechnol. 2020, 8, 257. [Google Scholar] [CrossRef] [PubMed]
- Polypropylene (PP). Available online: https://polymerdatabase.com/Commercial%20Polymers/PP.html (accessed on 20 September 2020).
- Horvath, T.; Kalman, M.; Szabo, T.; Roman, K.; Zsoldos, G.; Szabone Kollar, M. The Mechanical Properties of Polyethylene-Terephthalate (PET) and Polylactic-Acid (PDLLA and PLLA), the Influence of Material Structure on Forming. IOP Conf. Ser. Mater. Sci. Eng. 2018, 426, 12018. [Google Scholar] [CrossRef]
- Amar, B. Chemical Modification of Corn Flour for Use in Low Density Polyethylene Matrix: Effect in the Thermal, Mechanical and Morphological Properties of the Resulting Composites. Int. J. Appl. Res. Text. 2015, 36, 245–252. [Google Scholar] [CrossRef]
- Tufan, M.; Akbas, S.; Gulec, T.; Taşçıoğlu, C.; Mehmet, A. Mechanical, Thermal, Morpological Properties and Decay Resistance of Filled Hazelnut Husk Polymer Composites (AOP Paper). Maderas Cienc. Tecnol. 2015, 17. [Google Scholar] [CrossRef]
- Farah, S.; Anderson, D.G.; Langer, R. Physical and Mechanical Properties of PLA, and Their Functions in Widespread Applications—A Comprehensive Review. In Advanced Drug Delivery Reviews; Elsevier B.V.: Amsterdam, The Netherlands, 2016; pp. 367–392. [Google Scholar] [CrossRef]
- Shrivastava, A. (Ed.) 3—Plastic Properties and Testing. In Plastics Design Library; William Andrew Publishing: Norwich, NY, USA, 2018; pp. 49–110. [Google Scholar] [CrossRef]
- Kong, Y.; Hay, J.N. The Measurement of the Crystallinity of Polymers by DSC. Polymer 2002, 43, 3873–3878. [Google Scholar] [CrossRef]
- Vroman, I.; Tighzert, L. Biodegradable Polymers. Mater. Mol. Divers. Preserv. Int. 2009, 2, 307–344. [Google Scholar] [CrossRef]
- Sharma, R.; Ray, A.R. Polyhydroxybutyrate, Its Copolymers and Blends. J. Macromol. Sci. Part C 1995, 35, 327–359. [Google Scholar] [CrossRef]
- Jendrossek, D.; Handrick, R. Microbial Degradation of Polyhydroxyalkanoates. Annu. Rev. Microbiol. 2002, 56, 403–432. [Google Scholar] [CrossRef]
- Dos Santos, A.J.; Oliviera Dalla Valentina, L.V.; Hidalgo Shulz, A.A.; Tomaz Duarte, M.A. From Obtaining to Degradation of PHB: Material Properties. Part I. Ing. Cienc. 2017, 26, 269–298. [Google Scholar] [CrossRef]
- Schneemeyer, L.F. Crystal Growth; Meyers, R., Third, E., Eds.; Academic Press: New York, NY, USA, 2003; pp. 79–89. [Google Scholar] [CrossRef]
- Barham, P.J.; Keller, A. The Relationship between Microstructure and Mode of Fracture in Polyhydroxybutyrate. J. Polym. Sci. Part B Polym. Phys. 1986, 24, 69–77. [Google Scholar] [CrossRef]
- Holmes, P.A. Biologically Produced (R)-3-Hydroxy- Alkanoate Polymers and Copolymers. In Developments in Crystalline Polymers; Bassett, D.C., Ed.; Springer: Dordecht, The Netherlands, 1988. [Google Scholar] [CrossRef]
- Savenkova, L.; Gercberga, Z.; Bibers, I.; Kalnin, M. Effect of 3-Hydroxy Valerate Content on Some Physical and Mechanical Properties of Polyhydroxyalkanoates Produced by Azotobacter Chroococcum. Process Biochem. 2000, 36, 445–450. [Google Scholar] [CrossRef]
- Mitomo, H.; Hsieh, W.-C.; Nishiwaki, K.; Kasuya, K.-I.; Doi, Y. Poly(3-Hydroxybutyrate-Co-4-Hydroxybutyrate) Produced by Comamonas Acidovorans. Polymer 2001, 42, 3455–3461. [Google Scholar] [CrossRef]
- Sastri, V.R. Plastics in Medical Devices: Properties, Requirements, and Applications, 2nd ed.; Elsevier Inc.: Amsterdam, The Netherlands, 2013. [Google Scholar] [CrossRef]
- Pradhan, S.; Dikshit, P.K.; Moholkar, V.S. Production, Ultrasonic Extraction, and Characterization of Poly (3-Hydroxybutyrate) (PHB) Using Bacillus Megaterium and Cupriavidus Necator. Polym. Adv. Technol. 2018, 29, 2392–2400. [Google Scholar] [CrossRef]
- Srubar, W.V.; Wright, Z.C.; Tsui, A.; Michel, A.T.; Billington, S.L.; Frank, C.W. Characterizing the Effects of Ambient Aging on the Mechanical and Physical Properties of Two Commercially Available Bacterial Thermoplastics. Polym. Degrad. Stab. 2012, 97, 1922–1929. [Google Scholar] [CrossRef]
- Alejandra, R.-C.; Margarita, C.-M.; María Soledad, M.-C. Enzymatic Degradation of Poly(3-Hydroxybutyrate) by a Commercial Lipase. Polym. Degrad. Stab. 2012, 97, 2473–2476. [Google Scholar] [CrossRef]
- Rosengart, A.; Cesário, M.; Almeida, M.C.; Raposo, R.; Espert, A.; Díaz de Apodaca, E.; Fonseca, M. Efficient P(3HB) Extraction from Burkholderia Sacchari Cells Using Non-Chlorinated Solvents. Biochem. Eng. J. 2015, 103, 39–46. [Google Scholar] [CrossRef]
- Rao, U.; Ravichandran, S.; Sehgal, P.K. Biosynthesis and Biocompatibility of P(3HB-Co-4HB) Produced by Cupriavidus Necator from Spent Palm Oil. Biochem. Eng. J. 2010, 49, 13–20. [Google Scholar] [CrossRef]
- Bharti, S.N.; Swetha, G. Need for Bioplastics and Role of Biopolymer PHB: A Short Review. J. Pet. Environ. Biotechnol. 2016, 7, 7. [Google Scholar] [CrossRef]
- Verlinden, R.A.J.; Hill, D.J.; Kenward, M.A.; Williams, C.D.; Radecka, I. Bacterial Synthesis of Biodegradable Polyhydroxyalkanoates. J. Appl. Microbiol. 2007, 102, 1437–1449. [Google Scholar] [CrossRef]
- Sindhu, R.; Ammu, B.; Binod, P.; Deepthi, S.K.; Ramachandran, K.B.; Soccol, C.R.; Pandey, A. Production and Characterization of Poly-3-Hydroxybutyrate from Crude Glycerol by Bacillus Sphaericus NII 0838 and Improving Its Thermal Properties by Blending with Other Polymers. Brazilian Arch. Biol. Technol. 2011, 54, 783–794. [Google Scholar] [CrossRef]
- Sudesh, K.; Abe, H.; Doi, Y. Synthesis, Structure and Properties of Polyhydroxyalkanoates: Biological Polyesters. Prog. Polym. Sci. 2000, 10, 1503–1555. [Google Scholar] [CrossRef]
- Dobrogojski, J.; Spychalski, M.; Luciński, R.; Borek, S. Transgenic Plants as a Source of Polyhydroxyalkanoates. Acta Physiol. Plant. 2018, 40, 162. [Google Scholar] [CrossRef]
- Wróbel-Kwiatkowska, M.; Kostyn, K.; Dymińska, L.; Hanuza, J.; Kurzawa, A.; Żuk, M.; Rymowicz, W. Spectroscopic and Biochemical Characteristics of Flax Transgenic Callus Cultures Producing PHB. Plant Cell Tissue Organ Cult. 2020, 141, 489–497. [Google Scholar] [CrossRef]
- Handrick, R.; Reinhardt, S.; Kimmig, P.; Jendrossek, D. The “Intracellular” Poly(3-Hydroxybutyrate) (PHB) Depolymerase of Rhodospirillum Rubrum Is a Periplasm-Located Protein with Specificity for Native PHB and with Structural Similarity to Extracellular PHB Depolymerases. J. Bacteriol. 2004, 186, 7243–7253. [Google Scholar] [CrossRef] [PubMed]
- Batista, M.B.; Teixeira, C.S.; Sfeir, M.Z.T.; Alves, L.P.S.; Valdameri, G.; Pedrosa, F.D.O.; Sassaki, G.L.; Steffens, M.B.R.; de Souza, E.M.; Dixon, R.; et al. PHB Biosynthesis Counteracts Redox Stress in Herbaspirillum Seropedicae. Front. Microbiol. 2018, 9, 472. [Google Scholar] [CrossRef]
- Sharma, N. Polyhydroxybutyrate (PHB) Production by Bacteria and Its Application as Biodegradable Plastic in Various Industries. Acad. J. Polym. Sci. 2019, 2, 1–3. [Google Scholar] [CrossRef]
- Gahlawat, G. Enhancing the Production of Polyhydroxyalkanoate Biopolymer by Azohydromonas Australica Using a Simple Empty and Fill Bioreactor Cultivation Strategy. Chem. Biochem. Eng. Q. 2018, 4, 479–485. [Google Scholar] [CrossRef]
- Shahhosseini, S. Simulation and Optimisation of PHB Production in Fed-Batch Culture of Ralstonia Eutropha. Process Biochem. 2004, 39, 963–969. [Google Scholar] [CrossRef]
- Castillo, T.; Flores, C.; Segura, D.; Espín, G.; Sanguino, J.; Cabrera, E.; Barreto, J.; Díaz-Barrera, A.; Peña, C. Production of Polyhydroxybutyrate (PHB) of High and Ultra-High Molecular Weight by Azotobacter Vinelandii in Batch and Fed-Batch Cultures. J. Chem. Technol. Biotechnol. 2017, 92, 1809–1816. [Google Scholar] [CrossRef]
- Braunegg, G.; Lefebvre, G.; Renner, G.; Zeiser, A.; Haage, G.; Loidl-Lanthaler, K. Kinetics as a Tool for Polyhydroxyalkanoate Production Optimization. Can. J. Microbiol. 2011, 41, 239–248. [Google Scholar] [CrossRef]
- Dey, P.; Rangarajan, V. Improved Fed-Batch Production of High-Purity PHB (Poly-3 Hydroxy Butyrate) by Cupriavidus necator (MTCC 1472) from Sucrose-Based Cheap Substrates under Response Surface-Optimized Conditions. 3 Biotech 2017, 7, 310. [Google Scholar] [CrossRef]
- Zhang, D.X.; Cheryan, M. Starch to Lactic Acid in a Continuous Membrane Bioreactor. Process Biochem. 1994, 29, 145–150. [Google Scholar] [CrossRef]
- Kourmentza, C.; Plácido, J.; Venetsaneas, N.; Burniol-Figols, A.; Varrone, C.; Gavala, H.N.; Reis, M.A.M. Recent Advances and Challenges towards Sustainable Polyhydroxyalkanoate (PHA) Production. Bioengineering 2017, 4, 55. [Google Scholar] [CrossRef] [PubMed]
- Koller, M.; Muhr, A. Continuous Production Mode as a Viable Process-Engineering Tool for Efficient Poly(Hydroxyalkanoate) (PHA) Bio-Production. Chem. Biochem. Eng. Q. Croat. Soc. Chem. Eng. 2014, 1, 153–165. [Google Scholar]
- Hany, R.; Brinkmann, M.; Ferri, D.; Hartmann, R.; Pletscher, E.; Rentsch, D.; Zinn, M. Crystallization of an Aromatic Biopolyester. Macromolecules 2009, 42, 6322–6326. [Google Scholar] [CrossRef]
- Chandani, N.; Mazumder, P.B.; Bhattacharjee, A. Production of Polyhydroxybutyrate (Biopolymer) by Bacillus Tequilensis NCS-3 Isolated from Municipal Waste Areas of Silchar, Assam. Int. J. Sci. Res. 2014, 12, 198–203. [Google Scholar]
- Jiang, Y.; Marang, L.; Kleerebezem, R.; Muyzer, G.; van Loosdrecht, M.C.M. Polyhydroxybutyrate Production from Lactate Using a Mixed Microbial Culture. Biotechnol. Bioeng. 2011, 108, 2022–2035. [Google Scholar] [CrossRef]
- Możejko-Ciesielska, J.; Kiewisz, R. Bacterial Polyhydroxyalkanoates: Still Fabulous? Microbiol. Res. 2016, 192, 271–282. [Google Scholar] [CrossRef] [PubMed]
- Mercan Dogan, N.; Aslim, B.; Yuksekdag, Z.; Beyatli, Y. Production of Poly-β-Hydroxybutyrate (PHB) by Some Rhizobium Bacteria. Turk. J. Biol. 2002, 26, 215–219. [Google Scholar]
- Musa, H.; Bolanle, B.B.; Kasim, F.; Arbain, D. Screening and Production of Polyhydroxybutyrate (PHB) by Bacterial Strains Isolated from Rhizosphere Soil of Groundnut Plants. Sains Malays. 2016, 45, 1469–1476. [Google Scholar]
- Peña, C.; Castillo, T.; García, A.; Millán, M.; Segura, D. Biotechnological Strategies to Improve Production of Microbial Poly-(3-Hydroxybutyrate): A Review of Recent Research Work. Microb. Biotechnol. 2014, 7, 278–293. [Google Scholar] [CrossRef] [PubMed]
- Domínguez-Díaz, M.; Meneses-Acosta, A.; Romo-Uribe, A.; Peña, C.; Segura, D.; Espin, G. Thermo-Mechanical Properties, Microstructure and Biocompatibility in Poly-β-Hydroxybutyrates (PHB) Produced by OP and OPN Strains of Azotobacter Vinelandii. Eur. Polym. J. 2015, 63, 101–112. [Google Scholar] [CrossRef]
- Kaplan, D.L. Introduction to Biopolymers from Renewable Resources. In Biopolymers from Renewable Resources. Macromolecular Systems—Materials Approach; Springer: Berlin/Heidelberg, Germany, 1998. [Google Scholar] [CrossRef]
- Berenjian, A. (Ed.) Fundamentals of Fermentation Media. In Essentials in Fermentation Technology; Springer International Publishing (Learning Materials in Biosciences): New York, NY, USA, 2019; pp. 41–84. [Google Scholar] [CrossRef]
- Oliveira, F.C.; Dias, M.L.; Castilho, L.R.; Freire, D.M.G. Characterization of Poly(3-Hydroxybutyrate) Produced by Cupriavidus Necator in Solid-State Fermentation. Bioresour. Technol. 2007, 98, 633–638. [Google Scholar] [CrossRef] [PubMed]
- Grigull, H.V.; da Silva, D.D.; Garcia, M.C.F.; Furlan, S.A.; Testa, A.P.; dos Santos Schneider, A.L.; Aragao, G.F. Production and Characterization of Poly(3-Hydroxybutyrate) from Oleic Acid by Ralstonia Eutropha. Food Technol. Biotechnol. 2008, 46, 223–228. [Google Scholar]
- Gurieff, N.; Lant, P. Comparative Life Cycle Assessment and Financial Analysis of Mixed Culture Polyhydroxyalkanoate Production. Bioresour. Technol. 2007, 98, 3393–3403. [Google Scholar] [CrossRef] [PubMed]
- Yu, P.H.; Chua, H.; Huang, A.L.; Lo, W.; Chen, G.Q. Conversion of Food Industrial Wastes into Bioplastics. Appl. Biochem. Biotechnol. 1998, 70–72, 603–614. [Google Scholar] [CrossRef] [PubMed]
- Urtuvia, V.; Villegas, P.; González, M.; Seeger, M. Bacterial Production of the Biodegradable Plastics Polyhydroxyalkanoates. Int. J. Biol. Macromol. 2014, 70, 208–213. [Google Scholar] [CrossRef]
- Dalsasso, R.R.; Pavan, F.A.; Bordignon, S.E.; De Aragão, G.M.F.; Poletto, P. Polyhydroxybutyrate (PHB) Production by Cupriavidus Necator from Sugarcane Vinasse and Molasses as Mixed Substrate. Process Biochem. 2019, 85, 12–18. [Google Scholar] [CrossRef]
- Wang, J.; Tan, H.; Li, K.; Yin, H. Two-Stage Fermentation Optimization for Poly-3-Hydroxybutyrate Production from Methanol by a New Methylobacterium Isolate from Oil Fields. J. Appl. Microbiol. 2020, 128, 171–181. [Google Scholar] [CrossRef]
- Sharma, V.; Misra, S.; Srivastava, A. Developing a Green and Sustainable Process for Enhanced PHB Production by Azohydromonas Australica. Biocatal. Agric. Biotechnol. 2017, 10, 122–129. [Google Scholar] [CrossRef]
- Choi, J.; Lee, S.Y. Factors Affecting the Economics of Polyhydroxyalkanoate Production by Bacterial Fermentation. Appl. Microbiol. Biotechnol. 1999, 51, 13–21. [Google Scholar] [CrossRef]
- Sanhueza, C.; Diaz-Rodriguez, P.; Villegas, P.; González, Á.; Seeger, M.; Suárez-González, J.; Concheiro, A.; Alvarez-Lorenzo, C.; Acevedo, F. Influence of the Carbon Source on the Properties of Poly-(3)-Hydroxybutyrate Produced by Paraburkholderia Xenovorans LB400 and Its Electrospun Fibers. Int. J. Biol. Macromol. 2020, 152, 11–20. [Google Scholar] [CrossRef] [PubMed]
- Hassan, M.A.; Bakhiet, E.K.; Hussein, H.R.; Ali, S.G. Statistical Optimization Studies for Polyhydroxybutyrate (PHB) Production by Novel Bacillus Subtilis Using Agricultural and Industrial Wastes. Int. J. Environ. Sci. Technol. 2019, 16, 3497–3512. [Google Scholar] [CrossRef]
- Garcia-Gonzalez, L.; Mozumder, M.S.I.; Dubreuil, M.; Volcke, E.; de Wever, H. Sustainable Autotrophic Production of Polyhydroxybutyrate (PHB) from CO2 Using a Two-Stage Cultivation System. Catal. Today 2015, 257, 237–245. [Google Scholar] [CrossRef]
- Rollero, S.; Roberts, S.; Bauer, F.F.; Divol, B. Agitation Impacts Fermentation Performance as Well as Carbon and Nitrogen Metabolism in Saccharomyces Cerevisiae under Winemaking Conditions. Aust. J. Grape Wine Res. 2018, 24, 360–367. [Google Scholar] [CrossRef]
- Berwig, K.H.; Baldasso, C.; Dettmer, A. Production and Characterization of Poly(3-Hydroxybutyrate) Generated by Alcaligenes Latus Using Lactose and Whey after Acid Protein Precipitation Process. Bioresour. Technol. 2016, 218, 31–37. [Google Scholar] [CrossRef]
- Yezza, A.; Halasz, A.; Levadoux, W.; Hawari, J. Production of Poly-ß-Hydroxybutyrate (PHB) by Alcaligenes Latus from Maple Sap. Appl. Microbiol. Biotechnol. 2007, 77, 269–274. [Google Scholar] [CrossRef]
- Aramvash, A.; Moazzeni Zavareh, F.; Gholami Banadkuki, N. Comparison of Different Solvents for Extraction of Polyhydroxybutyrate from Cupriavidus Necator. Eng. Life Sci. 2018, 18, 20–28. [Google Scholar] [CrossRef]
- Aramvash, A.; Gholami-Banadkuki, N.; Moazzeni-Zavareh, F.; Hajizadeh-Turchi, S. An Environmentally Friendly and Efficient Method for Extraction of PHB Biopolymer with Non-Halogenated Solvents. J. Microbiol. Biotechnol. 2015, 25, 1936–1943. [Google Scholar] [CrossRef]
- Fiorese, M.; Freitas, F.; Pais, J.; Ramos, A.; Aragao, G.; Reis, M. Recovery of Polyhydroxybutyrate (PHB) from Cupriavidus necator Biomass by Solvent Extraction with 1,2-Propylene Carbonate. Eng. Life Sci. 2009, 9, 454–461. [Google Scholar] [CrossRef]
- Morris, B.A. Rheology of Polymer Melts. In The Science and Technology of Flexible Packaging; William Andrew Publishing (Plastics Design Library): Oxford, UK, 2017; pp. 121–147. [Google Scholar] [CrossRef]
- Lopera-Valle, A.; Caputo, J.V.; Leão, R.; Sauvageau, D.; Luz, S.M.; Elias, A. Influence of Epoxidized Canola Oil (ECO) and Cellulose Nanocrystals (CNCs) on the Mechanical and Thermal Properties of Polyhydroxybutyrate (PHB)-Poly(Lactic Acid) (PLA) Blends. Polymers 2019, 11, 933. [Google Scholar] [CrossRef] [PubMed]
- De Koning, G.J.M.; Lemstra, P.J. Crystallization Phenomena in Bacterial Poly[(R)-3- Hydroxybutyrate]: 2. Embrittlement and Rejuvenation. Polymer 1993, 19, 4089–4094. [Google Scholar] [CrossRef]
- Gopi, S.; Kontopoulou, M.; Ramsay, B.A.; Ramsay, J.A. Manipulating the Structure of Medium-Chain-Length Polyhydroxyalkanoate (MCL-PHA) to Enhance Thermal Properties and Crystallization Kinetics. Int. J. Biol. Macromol. 2018, 119, 1248–1255. [Google Scholar] [CrossRef] [PubMed]
- Li, Z.; Yang, J.; Loh, X.J. Polyhydroxyalkanoates: Opening Doors for a Sustainable Future. NPG Asia Mater. 2016, 8, e265. [Google Scholar] [CrossRef]
- Zhang, K.; Mohanty, A.K.; Misra, M. Fully Biodegradable and Biorenewable Ternary Blends from Polylactide, Poly(3-Hydroxybutyrate-Co-Hydroxyvalerate) and Poly(Butylene Succinate) with Balanced Properties. ACS Appl. Mater. Interfaces 2012, 4, 3091–3101. [Google Scholar] [CrossRef]
- Zembouai, I.; Kaci, M.; Zaidi, L.; Bruzaud, S. Combined Effects of Sepiolite and Cloisite 30B on Morphology and Properties of Poly(3-Hydroxybutyrate-Co-3-Hydroxyvalerate)/Polylactide Blends. Polym. Degrad. Stab. 2018, 153, 47–52. [Google Scholar] [CrossRef]




| Mechanical Property | P3HB | PP | PET | LDPE | HDPE | PLLA | PDLLA |
|---|---|---|---|---|---|---|---|
| Tensile modulus (GPa) | 3–3.5 | 1.95 | 9.35 | 0.26–0.5 | 0.5–1.1 | 2.7–4.14 | 1–3.45 |
| Tensile Strength (MPa) | 20–40 | 31–45 | 62 | 30 | 30–40 | 15.5–150 | 27.6–50 |
| Elongation at break (%) | 5–10 | 50–145 | 230 | 200–600 | 500–700 | 20–30 | 1.5–20 |
| Degree of Crystallinity (%) | 50–60 | 42.6–58.1 | 7.97 | 25–50 | 60–80 | 13.94 | 3.5 |
| Melting Temperature (°C) | 165–175 | 160–169.1 | 260 | 115 | 135 | 170–200 | amorphous |
| Glass Transition Temperature (°C) | 5–9 | −20–−5 | 67–81 | −130–100 | −130–100 | 50–60 | 50–60 |
| Mechanical Property | Literature Values | PHB from Bacillus megaterium | PHB from C. nector |
|---|---|---|---|
| Xc (%) | 53.4 | 23–37 | 46–53 |
| Tm (°C) | 169 | 151–176 | 169–175 |
| Tg (°C) | 1.1 | −1–4 | −0.2–0.6 |
| Carbon Source | Fermentation Medium | Tg (°C) | Tm (°C) | Xc (%) |
|---|---|---|---|---|
| Soy Cake | Batch SSF in non- supplemented medium | −0.3 | 170.4 | 46 |
| Soy Cake | Batch SSF in supplemented medium | −0.2 | 169.5 | 45 |
| Soy Cake | Batch Submerged | 1.1 | 173 | 53 |
| Glucose/Fructose | Batch Submerged (0% oleic acid) | −4 | 173 | 70 |
| Glucose/Fructose | Batch Submerged (0.9% oleic acid) | 0 | 172 | 62 |
| Glucose/Fructose | Batch Submerged (3.0% oleic acid) | −10 | 149 | 53 |
| Substrate | Substrate Cost (US $/kg) | PHB Yield | Production Cost (US $/kg) |
|---|---|---|---|
| Glucose | 0.493 | 0.38 | 1.3 |
| Sucrose | 0.29 | 0.4 | 0.72 |
| Methanol | 0.18 | 0.43 | 0.42 |
| Acetic acid | 0.595 | 0.38 | 1.56 |
| Ethanol | 0.502 | 0.5 | 1 |
| Cane molasses (waste-based substrate) | 0.22 | 0.42 | 0.52 |
| Cheese whey (waste-based substrate) | 0.071 | 0.33 | 0.22 |
Publisher’s Note: MDPI stays neutral with regard to jurisdictional claims in published maps and institutional affiliations. |
© 2020 by the authors. Licensee MDPI, Basel, Switzerland. This article is an open access article distributed under the terms and conditions of the Creative Commons Attribution (CC BY) license (http://creativecommons.org/licenses/by/4.0/).
Share and Cite
McAdam, B.; Brennan Fournet, M.; McDonald, P.; Mojicevic, M. Production of Polyhydroxybutyrate (PHB) and Factors Impacting Its Chemical and Mechanical Characteristics. Polymers 2020, 12, 2908. https://doi.org/10.3390/polym12122908
McAdam B, Brennan Fournet M, McDonald P, Mojicevic M. Production of Polyhydroxybutyrate (PHB) and Factors Impacting Its Chemical and Mechanical Characteristics. Polymers. 2020; 12(12):2908. https://doi.org/10.3390/polym12122908
Chicago/Turabian StyleMcAdam, Blaithín, Margaret Brennan Fournet, Paul McDonald, and Marija Mojicevic. 2020. "Production of Polyhydroxybutyrate (PHB) and Factors Impacting Its Chemical and Mechanical Characteristics" Polymers 12, no. 12: 2908. https://doi.org/10.3390/polym12122908
APA StyleMcAdam, B., Brennan Fournet, M., McDonald, P., & Mojicevic, M. (2020). Production of Polyhydroxybutyrate (PHB) and Factors Impacting Its Chemical and Mechanical Characteristics. Polymers, 12(12), 2908. https://doi.org/10.3390/polym12122908

