TO/TMMP-TMTGE Double-Healing Composite Containing a Transesterification Reversible Matrix and Tung Oil-Loaded Microcapsules for Active Self-Healing
Abstract
1. Introduction
2. Materials and Methods
2.1. Materials
2.2. Preparation of Hydrolyzed PGMA Particles
2.3. Preparation of Pre-PF
2.4. Synthesis of TO-Loaded Microcapsules and Preparation of TO/TMMP-TMTGE Self-Healing Composite
2.5. Characterization
3. Results and Discussion
3.1. Morphology, Size Distributions, and Average Diameters of TO-Loaded Microcapsules
3.2. FTIR
3.3. TGA
3.4. DSC
3.5. Morphology of the Two Self-Healing Materials
3.6. Tensile Strengths of the Two Self-Healing Materials
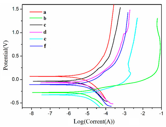
3.7. Electrochemical Properties of the Two Self-Healing Materials
4. Conclusions
Supplementary Materials
Author Contributions
Funding
Acknowledgments
Conflicts of Interest
References
- Bekas, D.G.; Tsirka, K.; Baltzis, D.; Paipetis, A.S. Self-healing materials: A review of advances in materials, evaluation, characterization and monitoring techniques. Compos. Part B Eng. 2016, 87, 92–119. [Google Scholar] [CrossRef]
- Urdl, K.; Kandelbauer, A.; Kern, W.; Müller, U.; Thebault, M.; Zikulnig-Rusch, E. Self-healing of densely crosslinked thermoset polymers-a critical review. Prog. Org. Coat. 2017, 104, 232–249. [Google Scholar] [CrossRef]
- Patrick, J.F.; Robb, M.J.; Sottos, N.R.; Moore, J.S.; White, S.R. Polymers with autonomous life-cycle control. Nature 2016, 540, 363–370. [Google Scholar] [CrossRef] [PubMed]
- An, S.; Lee, M.W.; Yarin, A.L.; Yoon, S.S. A review on corrosion-protective extrinsic self-healing: Comparison of microcapsule-based systems and those based on core-shell vascular networks. Chem. Eng. J. 2018, 344, 206–220. [Google Scholar] [CrossRef]
- Zhang, M.Q.; Rong, M.Z. Design and synthesis of self-healing polymers. Sci. China Chem. 2012, 55, 648–676. [Google Scholar] [CrossRef]
- Zhu, D.Y.; Rong, M.Z.; Zhang, M.Q. Self-healing polymeric materials based on microencapsulated healing agents: From design to preparation. Prog. Polym. Sci. 2015, 49–50, 175–220. [Google Scholar] [CrossRef]
- White, S.R.; Sottos, N.R.; Geubelle, P.H.; Moore, J.S.; Kessler, M.R.; Sriram, S.R.; Brown, E.N.; Viswanathan, S. Autonomic healing of polymer composites. Nature 2001, 409, 794–797. [Google Scholar] [CrossRef] [PubMed]
- Wilson, G.O.; Moore, J.S.; White, S.R.; Sottos, N.R.; Andersson, H.M. Autonomic healing of epoxy vinyl esters via ring opening metathesis polymerization. Adv. Funct. Mater. 2008, 18, 44–52. [Google Scholar] [CrossRef]
- Moll, J.L.; White, S.R.; Sottos, N.R. A self-healing fifiber-reinforced composite. J. Compos. Mater. 2010, 44, 2573–2585. [Google Scholar] [CrossRef]
- Cho, S.H.; Andersson, H.M.; White, S.R.; Sottos, N.R.; Braun, P.V. Polydimethylsiloxane-based self-healing materials. Adv. Mater. 2006, 18, 997–1000. [Google Scholar] [CrossRef]
- Mangun, C.L.; Mader, A.C.; Sottos, N.R.; White, S.R. Self-healing of a hightemperature cured epoxy using poly(dimethylsiloxane) chemistry. Polymer 2010, 51, 4063. [Google Scholar] [CrossRef]
- Yin, T.; Rong, M.Z.; Wu, J.; Chen, H.; Zhang, M.Q. Healing of impact damage in woven glass fabric reinforced epoxy composites. Compos. A 2008, 39, 1479–1487. [Google Scholar] [CrossRef]
- Yin, T.; Rong, M.Z.; Zhang, M.Q.; Yang, G.C. Self-healing epoxy composites- preparation and effect of the healant consisting of microencapsulated epoxy and latent curing agent. Compos. Sci. Technol. 2007, 67, 201–212. [Google Scholar] [CrossRef]
- Xiao, D.S.; Yuan, Y.C.; Rong, M.Z.; Zhang, M.Q. Self-healing epoxy based on cationic chain polymerization. Polymer 2009, 50, 2967–2975. [Google Scholar] [CrossRef]
- Xiao, D.S.; Yuan, Y.C.; Rong, M.Z.; Zhang, M.Q. A facile strategy for preparing self-healing polymer composites by incorporation of cationic catalyst-loaded vegetable fifibers. Adv. Funct. Mater. 2009, 19, 2289–2296. [Google Scholar] [CrossRef]
- Zhang, C.Y.; Jiang, X.B.; Rong, M.Z.; Zhang, M.Q. Free radical polymerization aided self-healing. J. Intell. Mater. Syst. Struct. 2014, 25, 31–39. [Google Scholar] [CrossRef]
- Suryanarayana, C.; Rao, K.C.; Kumar, D. Preparation and characterization of microcapsules containing linseed oil and its use in self-healing coatings. Prog. Org. Coat. 2008, 63, 72–78. [Google Scholar] [CrossRef]
- Leal, D.A.; Riegel-Vidotti, I.C.; Ferreira, M.G.S.; Marino, C.E.B. Smart coating based on double stimuli-responsive microcapsules containing linseed oil and benzotriazole for active corrosion protection. Corros. Sci. 2018, 130, 56–63. [Google Scholar] [CrossRef]
- Li, H.Y.; Cui, Y.X.; Li, Z.K.; Zhu, Y.J.; Wang, H.Y. Fabrication of microcapsules containing dual-functional tung oil and properties suitable for self-healing and self-lubricating coatings. Prog. Org. Coat. 2018, 115, 164–171. [Google Scholar] [CrossRef]
- Song, Y.K.; Jo, Y.H.; Lim, Y.J.; Cho, S.Y.; Yu, H.C.; Ryu, B.C.; Lee, S.I.; Chung, C.M. Sunlight-induced self-healing of a microcapsule-type protective coating. ACS Appl. Mater. Interfaces 2013, 5, 1378–1384. [Google Scholar] [CrossRef]
- Li, C.M.; Tan, J.J.; Gu, J.W.; Qiao, L.; Zhang, B.L.; Zhang, Q.Y. Rapid and efficient synthesis of isocyanate microcapsules via thiol-ene photopolymerization in Pickering emulsion and its application in self-healing coating. Compos. Sci. Technol. 2016, 123, 250–258. [Google Scholar] [CrossRef]
- Yang, Y.; Urban, M.W. Self-healing polymeric materials. Chem. Soc. Rev. 2013, 42, 7446–7467. [Google Scholar] [CrossRef] [PubMed]
- Nicolaou, K.C.; Snyder, S.A.; Montagnon, T.; Vassilikogiannakis, G. The Diels-Alder reaction in total synthesis. Angew. Chem. Int. Ed. 2002, 41, 1668–1698. [Google Scholar] [CrossRef]
- Liu, Y.L.; Chen, Y.W. Thermally reversible cross-linked polyamides with high toughness and self-repairing ability from maleimide-and furan-functionalized aromatic polyamides. Macromol. Chem. Phys. 2007, 208, 224–232. [Google Scholar] [CrossRef]
- Polgar, L.; Van-Duin, M.; Broekhuis, A.; Picchioni, F. Use of Diels-Alder chemistry for thermoreversible cross-linking of rubbers: The next step toward recycling of rubber products? Macromolecules 2015, 48, 7096–7105. [Google Scholar] [CrossRef]
- Tan, J.J.; Li, C.M.; Kevin, D.B.; Zhang, G.X.; Gu, J.W.; Zhang, Q.Y. Recyclable cross-linked hydroxythioether particles with tunable structures via robust and efficient thiol-epoxy dispersion polymerizations. RSC Adv. 2017, 7, 51763–51772. [Google Scholar] [CrossRef]
- Yang, X.T.; Guo, Y.Q.; Luo, X.; Zheng, N.; Ma, T.B.; Tan, J.J.; Li, C.M.; Zhang, Q.Y.; Gu, J.W. Self-healing, recoverable epoxy elastomers and their composites with desirable thermal conductivities by incorporating BN fillers via in-situ polymerization. Compos. Sci. Technol. 2018, 164, 59–64. [Google Scholar] [CrossRef]
- Hao, C.; Liu, T.; Zhang, S.; Brown, L.; Li, R.; Xin, J.N.; Zhong, T.H.; Jiang, L.; Zhang, J.W. A High-Lignin-Content, Removable, and Glycol-Assisted Repairable Coating Based on Dynamic Covalent Bonds. ChemSusChem 2019, 12, 1049–1058. [Google Scholar] [CrossRef]
- Cao, L.M.; Fan, J.F.; Huang, J.R.; Chen, Y.K. A robust and stretchable cross-linked rubber network with recyclable and self-healable capabilities based on dynamic covalent bonds. J. Mater. Chem. A 2019, 7, 4922–4933. [Google Scholar] [CrossRef]
- Azcune, I.; Odriozola, I. Aromatic disulfide crosslinks in polymer systems: Self-healing, reprocessability, recyclability and more. Eur. Polym. J. 2016, 84, 147–160. [Google Scholar] [CrossRef]
- Lei, Z.Q.; Xiang, H.P.; Yuan, Y.J.; Rong, M.Z.; Zhang, M.Q. Room-temperature self-healable and remoldable cross-linked polymer based on the dynamic exchange of disulfide bonds. Chem. Mater. 2014, 26, 2038–2046. [Google Scholar] [CrossRef]
- Zhou, F.T.; Guo, Z.J.; Wang, W.Y.; Lei, X.F.; Zhang, B.L.; Zhang, H.P.; Zhang, Q.Y. Preparation of self-healing, recyclable epoxy resins and low-electrical resistance composites based on double-disulfide bond exchange. Compos. Sci. Technol. 2018, 167, 79–85. [Google Scholar] [CrossRef]
- Deng, G.; Li, F.; Yu, H.; Liu, F.; Liu, C.; Sun, W.; Jiang, H.; Chen, Y. Dynamic hydrogels with an environmental adaptive self-healing ability and dual responsive sol-gel transitions. ACS Macro Lett. 2012, 1, 275–279. [Google Scholar] [CrossRef]
- Yuan, C.E.; Rong, M.Z.; Zhang, M.Q.; Zhang, Z.P.; Yuan, Y.C. Self-healing of polymers via synchronous covalent bond fission/radical recombination. Chem. Mater. 2011, 23, 5076–5081. [Google Scholar] [CrossRef]
- Amamoto, Y.; Kamada, J.; Otsuka, H.; Takahara, A.; Matyjaszewski, K. Repeatable photoinduced self-healing of covalently cross-linked polymers through reshuffling of trithiocarbonate units. Angew. Chem. Int. Ed. 2011, 123, 1698–1701. [Google Scholar] [CrossRef]
- Ghosh, B.; Urban, M.W. Self-repairing oxetane-substituted chitosan polyurethane networks. Science 2009, 323, 1458–1460. [Google Scholar] [CrossRef] [PubMed]
- Cromwell, O.R.; Chung, J.; Guan, Z. Malleable and self-healing covalent polymer networks throughtunable dynamic boronic ester bonds. J. Am. Chem. Soc. 2015, 137, 6492–6495. [Google Scholar] [CrossRef]
- Cordier, P.; Tournilhac, F.; Soulié-Ziakovic, C.; Leibler, L. Self-healing and thermoreversible rubber from supramolecular assembly. Nature 2008, 451, 977–980. [Google Scholar] [CrossRef]
- Chen, Y.; Kushner, A.M.; Williams, G.A.; Guan, Z. Multiphase design of autonomic self-healing thermoplastic elastomers. Nat. Chem. 2012, 4, 467–472. [Google Scholar] [CrossRef]
- Burnworth, M.; Tang, L.; Kumpfer, J.R.; Duncan, A.J.; Beyer, F.L.; Fiore, G.L.; Rowan, S.J.; Weder, C. Optically healable supramolecular polymers. Nature 2011, 472, 334–337. [Google Scholar] [CrossRef]
- Harrington, M.J.; Masic, A.; Holten-Andersen, N.; Waite, J.H.; Fratzl, P. Iron-clad fibers: A metalbased biological strategy for hard flexible coatings. Science 2010, 328, 216–220. [Google Scholar] [CrossRef] [PubMed]
- Burattini, S.; Greenland, B.W.; Hayes, W.; Mackay, M.E.; Rowan, S.J.; Colquhoun, H.M. A supramolecular polymer based on tweezer-type π-π stacking interactions: Molecular design for healability and enhanced toughness. Chem. Mater. 2011, 23, 6–8. [Google Scholar] [CrossRef]
- Kalista, S.J.; Pflug, J.R.; Varley, R.J. Effect of ionic content on ballistic self-healing in EMAA copolymers and ionomers. Polym. Chem. 2013, 4, 4910–4926. [Google Scholar] [CrossRef]
- Hia, I.L.; Vahedi, V.; Pasbakhsh, P. Self-healing polymer composites: Prospects, challenges, and applications. Polym. Rev. 2016, 56, 225–261. [Google Scholar] [CrossRef]
- Huang, F.; Liu, Y.Q.; Zhang, X.H.; Wei, G.S.; Gao, J.M.; Song, Z.H.; Zhang, M.L.; Qiao, J.L. Effect of elastomeric nanoparticles on toughness and heat resistance of epoxy resins. Macromol. Rapid Commun. 2015, 23, 786–790. [Google Scholar] [CrossRef]
- Zhou, L.S.; Zhang, G.C.; Feng, Y.J.; Zhang, H.M.; Li, J.T.; Shi, X.T. Design of a self-healing and flame-retardant cyclotriphosphazene-based epoxy vitrimer. J. Mater. Sci. 2018, 53, 7030–7047. [Google Scholar] [CrossRef]
- Gadwal, I.; Stuparu, M.C.; Khan, A. Homopolymer bifunctionalization through sequential thiol-epoxy and esterification reactions: An optimization, quantification, and structural elucidation study. Polym. Chem. 2015, 6, 1393–1404. [Google Scholar] [CrossRef]
- Kumari, S.; Tiyyagura, H.R.; Douglas, T.E.L.; Mohammed, E.A.A.; Adriaens, A.; Fuchs-Godec, R.; Mohan, M.K.; Skirtach, A.G. ANN prediction of corrosion behaviour of uncoated and biopolymers coated cp-Titanium substrates. Mater. Des. 2018, 157, 35–51. [Google Scholar] [CrossRef]
- Haase, M.F.; Grigoriev, D.O.; Möhwald, H.; Shchukin, D.G. Development of Nanoparticle Stabilized Polymer Nanocontainers with High Content of the Encapsulated Active Agent and Their Application in Water-Borne Anticorrosive Coatings. Adv. Mater. 2012, 24, 2429–2435. [Google Scholar] [CrossRef]
- Liu, J.J.; Yin, D.Z.; Zhang, S.; Liu, H.; Zhang, Q.Y. Synthesis of polymeric core/shell microspheres with spherical virus-like surface morphology by Pickering emulsion. Colloids Surf. A Physicochem. Eng. Asp. 2015, 466, 174–180. [Google Scholar] [CrossRef]
- Neisiany, R.E.; Khorasani, S.N.; Kong Yoong Lee, J.; Ramakrishna, S. Encapsulation of epoxy and amine curing agent in PAN nanofibers by coaxial electrospinning for self-healing purposes. RSC Adv. 2016, 6, 756–763. [Google Scholar] [CrossRef]
- Li, C.M.; Tan, J.J.; Li, H.; Yin, D.Z.; Gu, J.W.; Zhang, B.L.; Zhang, Q.Y. Thiol–isocyanate click reaction in a Pickering emulsion: A rapid and efficient route to encapsulation of healing agents. Polym. Chem. 2015, 6, 7100–7111. [Google Scholar] [CrossRef]
- Zheng, N.; Qiao, L.; Liu, J.; Lu, J.F.; Li, W.G.; Xue, Y.; Zhang, Q.Y. Microcapsules of multilayered shell structure synthesized via one-part strategy and their application in self-healing coatings. Compos. Commun. 2019, 12, 26–32. [Google Scholar] [CrossRef]
- Wang, H.H.; Qin, S.D.; Yang, X.F.; Fei, G.Q.; Tian, M.; Shao, Y.M.; Zhu, K. A waterborne uniform graphene-poly(urethane-acrylate) complex with enhanced anticorrosive properties enabled by ionic interaction. Chem. Eng. J. 2018, 351, 939–951. [Google Scholar] [CrossRef]















| Sample | Core/Shell Mass Ration | PGMA (g) | Water (g) | Pre-PF (g) | TO (g) | Resorcinol (g) | NH4Cl (g) |
|---|---|---|---|---|---|---|---|
| 1 | 2:1 | 0.5 | 25 | 14 | 13.45 | 1 | 1 |
| 2 | 3:1 | 0.5 | 25 | 14 | 20.18 | 1 | 1 |
| 3 | 4:1 | 0.5 | 25 | 14 | 26.91 | 1 | 1 |
© 2019 by the authors. Licensee MDPI, Basel, Switzerland. This article is an open access article distributed under the terms and conditions of the Creative Commons Attribution (CC BY) license (http://creativecommons.org/licenses/by/4.0/).
Share and Cite
Zheng, N.; Liu, J.; Li, W. TO/TMMP-TMTGE Double-Healing Composite Containing a Transesterification Reversible Matrix and Tung Oil-Loaded Microcapsules for Active Self-Healing. Polymers 2019, 11, 1127. https://doi.org/10.3390/polym11071127
Zheng N, Liu J, Li W. TO/TMMP-TMTGE Double-Healing Composite Containing a Transesterification Reversible Matrix and Tung Oil-Loaded Microcapsules for Active Self-Healing. Polymers. 2019; 11(7):1127. https://doi.org/10.3390/polym11071127
Chicago/Turabian StyleZheng, Nan, Jie Liu, and Wenge Li. 2019. "TO/TMMP-TMTGE Double-Healing Composite Containing a Transesterification Reversible Matrix and Tung Oil-Loaded Microcapsules for Active Self-Healing" Polymers 11, no. 7: 1127. https://doi.org/10.3390/polym11071127
APA StyleZheng, N., Liu, J., & Li, W. (2019). TO/TMMP-TMTGE Double-Healing Composite Containing a Transesterification Reversible Matrix and Tung Oil-Loaded Microcapsules for Active Self-Healing. Polymers, 11(7), 1127. https://doi.org/10.3390/polym11071127

