Cost-Effective PEDOT:PSS Temperature Sensors Inkjetted on a Bendable Substrate by a Consumer Printer
Abstract
:1. Introduction
2. Materials and Methods
2.1. Materials
2.2. Fabrication Process
2.3. Characterization
3. Results
3.1. Physical and Electrical Characterization
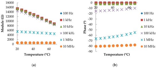
3.2. Temperature Characterization
3.3. Influence of Moisture Content
4. Discussion
Author Contributions
Funding
Conflicts of Interest
Appendix A


References
- Bobinger, M.; Keddis, S.; Hinterleuthner, S.; Becherer, M.; Kluge, F.; Schwesinger, N.; Salmeron, J.F.; Lugli, P.; Rivadeneyra, A. Light and pressure sensors based on PVDF with sprayed and transparent electrodes for self-powered wireless sensor nodes. IEEE Sens. J. 2018, 19, 1114–1126. [Google Scholar] [CrossRef]
- Albrecht, A.; Rivadeneyra, A.; Bobinger, M.; Calia, J.B.; Loghin, F.C.; Salmeron, J.F.; Becherer, M.; Lugli, P.; Falco, A. Scalable Deposition of Nanomaterial-Based Temperature Sensors for Transparent and Pervasive Electronics. J. Sens. 2018, 2018, 1–9. [Google Scholar] [CrossRef]
- Bowen, C.R.; Taylor, J.; LeBoulbar, E.; Zabek, D.; Chauhan, A.; Vaish, R. Pyroelectric materials and devices for energy harvesting applications. Energy Environ. Sci. 2014, 7, 3836–3856. [Google Scholar] [CrossRef]
- Wei, Q.; Mukaida, M.; Kirihara, K.; Naitoh, Y.; Ishida, T. Polymer thermoelectric modules screen-printed on paper. RSC Adv. 2014, 4, 28802–28806. [Google Scholar] [CrossRef]
- Eom, S.H.; Senthilarasu, S.; Uthirakumar, P.; Yoon, S.C.; Lim, J.; Lee, C.; Lim, H.S.; Lee, J.; Lee, S.H. Polymer solar cells based on inkjet-printed PEDOT:PSS layer. Org. Electron. 2009, 10, 536–542. [Google Scholar] [CrossRef]
- Sirringhaus, H.; Kawase, T.; Friend, R.H.; Shimoda, T.; Inbasekaran, M.; Wu, W.; Woo, E.P. High-resolution inkjet printing of all-polymer transistor circuits. Science 2000, 290, 2123–2126. [Google Scholar] [CrossRef] [PubMed]
- Vreeland, R.F.; Atcherley, C.W.; Russell, W.S.; Xie, J.Y.; Lu, D.; Laude, N.D.; Porreca, F.; Heien, M.L. Biocompatible PEDOT:Nafion composite electrode coatings for selective detection of neurotransmitters in vivo. Anal. Chem. 2015, 87, 2600–2607. [Google Scholar] [CrossRef] [PubMed]
- Wen, Y.; Xu, J. Scientific Importance of Water-Processable PEDOT–PSS and Preparation, Challenge and New Application in Sensors of Its Film Electrode: A Review. J. Polym. Sci. Part A Polym. Chem. 2017, 55, 1121–1150. [Google Scholar] [CrossRef]
- Pires, F.; Ferreira, Q.; Rodrigues, C.A.V.; Morgado, J.; Ferreira, F.C. Neural stem cell differentiation by electrical stimulation using a cross-linked PEDOT substrate: Expanding the use of biocompatible conjugated conductive polymers for neural tissue engineering. Biochim. Biophys. Acta-Gen. Subj. 2015, 1850, 1158–1168. [Google Scholar] [CrossRef] [PubMed]
- Mohamed Ali, E.; Kantchev, E.A.B.; Tansil, N.C.; Ying, J.Y.; Luo, S.-C.; Yu, H.; Gao, S. Poly(3,4-ethylenedioxythiophene) (PEDOT) Nanobiointerfaces: Thin, Ultrasmooth, and Functionalized PEDOT Films with in Vitro and in Vivo Biocompatibility. Langmuir 2008, 24, 8071–8077. [Google Scholar]
- Yazdimamaghani, M.; Razavi, M.; Mozafari, M.; Vashaee, D.; Kotturi, H.; Tayebi, L. Biomineralization and biocompatibility studies of bone conductive scaffolds containing poly(3,4-ethylenedioxythiophene):poly(4-styrene sulfonate) (PEDOT:PSS). J. Mater. Sci. Mater. Med. 2015, 26, 1–11. [Google Scholar] [CrossRef]
- Kim, Y.H.; Sachse, C.; MacHala, M.L.; May, C.; Müller-Meskamp, L.; Leo, K. Highly conductive PEDOT:PSS electrode with optimized solvent and thermal post-treatment for ITO-free organic solar cells. Adv. Funct. Mater. 2011, 21, 1076–1081. [Google Scholar] [CrossRef]
- Jin Bae, E.; Hun Kang, Y.; Jang, K.-S.; Yun Cho, S. Enhancement of Thermoelectric Properties of PEDOT:PSS and Tellurium-PEDOT:PSS Hybrid Composites by Simple Chemical Treatment. Sci. Rep. 2016, 6, 18805. [Google Scholar] [CrossRef]
- Kim, W.H.; Mäkinen, A.J.; Nikolov, N.; Shashidhar, R.; Kim, H.; Kafafi, Z.H. Molecular organic light-emitting diodes using highly conducting polymers as anodes. Appl. Phys. Lett. 2002, 80, 3844–3846. [Google Scholar] [CrossRef]
- Nguyen, T.P.; Le Rendu, P.; Long, P.D.; De Vos, S.A. Chemical and thermal treatment of PEDOT:PSS thin films for use in organic light emitting diodes. Surf. Coat. Technol. 2004, 180–181, 646–649. [Google Scholar] [CrossRef]
- Takamatsu, S.; Takahata, T.; Muraki, M.; Iwase, E.; Matsumoto, K.; Shimoyama, I. Transparent conductive-polymer strain sensors for touch input sheets of flexible displays. J. Micromech. Microeng. 2010, 20, 075017. [Google Scholar] [CrossRef]
- Lee, J.; Lee, P.; Lee, H.B.; Hong, S.; Lee, I.; Yeo, J.; Lee, S.S.; Kim, T.S.; Lee, D.; Ko, S.H. Room-temperature nanosoldering of a very long metal nanowire network by conducting-polymer-assisted joining for a flexible touch-panel application. Adv. Funct. Mater. 2013, 23, 4171–4176. [Google Scholar] [CrossRef]
- Sugie, K.; Masuda, Y.; Sakurai, R.; Hattori, R.; Nishii, M. The Use of Transparent Conductive Polymer for Electrode Materials in Flexible Electronic Paper. SID Symp. Dig. Tech. Pap. 2010, 40, 768. [Google Scholar]
- Rost, H.; Ficker, J.; Alonso, J.S.; Leenders, L.; McCulloch, I. Air-stable all-polymer field-effect transistors with organic electrodes. Synth. Met. 2004, 145, 83–85. [Google Scholar] [CrossRef]
- Stutzmann, N.; Friend, R.H.; Sirringhaus, H. Self-aligned, vertical-channel, polymer field-effect transistors. Science 2003, 299, 1881–1884. [Google Scholar] [CrossRef]
- Manzari, S.; Occhiuzzi, C.; Nawale, S.; Catini, A.; Di Natale, C.; Marrocco, G. Humidity sensing by polymer-loaded UHF RFID antennas. IEEE Sens. J. 2012, 12, 2851–2858. [Google Scholar] [CrossRef]
- Aziz, S.; Chang, D.E.; Doh, Y.H.; Kang, C.U.; Choi, K.H. Humidity Sensor Based on PEDOT:PSS and Zinc Stannate Nano-composite. J. Electron. Mater. 2015, 44, 3992–3999. [Google Scholar] [CrossRef]
- Taccola, S.; Greco, F.; Zucca, A.; Innocenti, C.; De Julián Fernández, C.; Campo, G.; Sangregorio, C.; Mazzolai, B.; Mattoli, V. Characterization of free-standing PEDOT:PSS/iron oxide nanoparticle composite thin films and application as conformable humidity sensors. ACS Appl. Mater. Interfaces 2013, 5, 6324–6332. [Google Scholar] [CrossRef]
- Daoud, W.A.; Xin, J.H.; Szeto, Y.S. Polyethylenedioxythiophene coatings for humidity, temperature and strain sensing polyamide fibers. Sens. Actuators B Chem. 2005, 109, 329–333. [Google Scholar] [CrossRef]
- Sappat, A.; Wisitsoraat, A.; Sriprachuabwong, C.; Jaruwongrungsee, K.; Lomas, T.; Tuantranont, A. Humidity sensor based on piezoresistive microcantilever with inkjet printed PEDOT/PSS sensing layers. In Proceedings of the ECTI-CON 2011—8th Electrical Engineering/Electronics, Computer, Telecommunications and Information Technology (ECTI) Association of Thailand—Conference 2011, Khon Kaen, Thailand, 17–19 May 2011; pp. 34–37. [Google Scholar]
- Harada, S.; Takei, K.; Honda, W.; Akita, S.; Arie, T. Printed wearable temperature sensor for health monitoring. In Proceedings of the IEEE SENSORS 2014 Proceedings, Valencia, Spain, 2–5 November 2014; pp. 2227–2229. [Google Scholar]
- Vuorinen, T.; Niittynen, J.; Kankkunen, T.; Kraft, T.M.; Mäntysalo, M. Inkjet-printed graphene/PEDOT:PSS temperature sensors on a skin-conformable polyurethane substrate. Sci. Rep. 2016, 6, 35289. [Google Scholar] [CrossRef]
- Sritongkham, P.; Wisitsoraat, A.; Sriprachuabwong, C.; Karuwan, C.; Tuantranont, A.; Phokharatkul, D. Inkjet-printed graphene-poly(3,4-ethylenedioxythiophene):poly(styrene-sulfonate) modified on screen printed carbon electrode for electrochemical sensing of salbutamol. Sens. Actuators B Chem. 2011, 161, 549–555. [Google Scholar]
- Kumar, S.; Willander, M.; Sharma, J.G.; Malhotra, B.D. A solution processed carbon nanotube modified conducting paper sensor for cancer detection. J. Mater. Chem. B 2015, 3, 9305–9314. [Google Scholar] [CrossRef]
- Seekaew, Y.; Lokavee, S.; Phokharatkul, D.; Wisitsoraat, A.; Kerdcharoen, T.; Wongchoosuk, C. Low-cost and flexible printed graphene-PEDOT:PSS gas sensor for ammonia detection. Org. Electron. Phys. Mater. Appl. 2014, 15, 2971–2981. [Google Scholar] [CrossRef]
- Zheng, Y.; Lee, D.; Koo, H.Y.; Maeng, S. Chemically modified graphene/PEDOT:PSS nanocomposite films for hydrogen gas sensing. Carbon 2015, 81, 54–62. [Google Scholar] [CrossRef]
- Sriprachuabwong, C.; Karuwan, C.; Wisitsorrat, A.; Phokharatkul, D.; Lomas, T.; Sritongkham, P.; Tuantranont, A. Inkjet-printed graphene-PEDOT:PSS modified screen printed carbon electrode for biochemical sensing. J. Mater. Chem. 2012, 22, 5478–5485. [Google Scholar] [CrossRef]
- Li, J.; Lu, Y.; Ye, Q.; Cinke, M.; Han, J.; Meyyappan, M. Carbon nanotube sensors for gas and organic vapor detection. Nano Lett. 2003, 3, 929–933. [Google Scholar] [CrossRef]
- Albrecht, A.; Rivadeneyra, A.; Abdellah, A.; Lugli, P.; Salmerón, J.F. Inkjet printing and photonic sintering of silver and copper oxide nanoparticles for ultra-low-cost conductive patterns. J. Mater. Chem. C. 2016, 4, 3546–3554. [Google Scholar] [CrossRef]
- Bobinger, M.; Haider, M.; Goliya, Y.; Albrecht, A.; Becherer, M.; Lugli, P.; Rivadeneyra, A.; Russer, J. On the sintering of solution-based silver nanoparticle thin-films for sprayed and flexible antennas. Nanotechnology 2018, 29, 485701. [Google Scholar] [CrossRef] [PubMed]
- Lyuleeva, A.; Helbich, T.; Bobinger, M.; Rieger, B.; Becherer, M.; Lugli, P.; Rivadeneyra, A. Functionalized and oxidized silicon nanosheets: Customized design for enhanced sensitivity towards relative humidity. Sens. Actuators B Chem. 2019, 283, 451–457. [Google Scholar] [CrossRef]
- Loghin, F.; Rivadeneyra, A.; Becherer, M.; Lugli, P.; Bobinger, M. A Facile and Efficient Protocol for Preparing Residual-Free Single-Walled Carbon Nanotube Films for Stable Sensing Applications. Nanomaterials 2019, 9, 471. [Google Scholar] [CrossRef]
- Kuş, M.; Okur, S. Electrical characterization of PEDOT:PSS beyond humidity saturation. Sens. Actuators B Chem. 2009, 143, 177–181. [Google Scholar] [CrossRef]
- Field, R.F. The formation of ionized water films on dielectrics under conditions of high humidity. J. Appl. Phys. 1946, 17, 318–325. [Google Scholar] [CrossRef]
- Rivadeneyra, A.; Salmeron, J.F.; Capitan-Vallvey, L.F.; Palma, A.J. Characterization of an Interdigitated Capacitive Structure with Branches for Relative Humidity Sensing. IEEE Sens. Lett. 2017, 1, 1–4. [Google Scholar] [CrossRef]
- Zabihi, F.; Xie, Y.; Gao, S.; Eslamian, M. Morphology, conductivity, and wetting characteristics of PEDOT:PSS thin films deposited by spin and spray coating. Appl. Surf. Sci. 2015, 338, 163–177. [Google Scholar] [CrossRef]
- Eslamian, M.; Soltani-Kordshuli, F. Development of multiple-droplet drop-casting method for the fabrication of coatings and thin solid films. J. Coat. Technol. Res. 2018, 15, 271–280. [Google Scholar] [CrossRef]
- Wang, J.; Gardner, D.J.; Stark, N.M.; Bousfield, D.W.; Tajvidi, M.; Cai, Z. Moisture and Oxygen Barrier Properties of Cellulose Nanomaterial-Based Films. ACS Sustain. Chem. Eng. 2018, 6, 49–70. [Google Scholar] [CrossRef]
- Su, Y.; Kravets, V.G.; Wong, S.L.; Waters, J.; Geim, A.K.; Nair, R.R. Impermeable barrier films and protective coatings based on reduced graphene oxide. Nat. Commun. 2014, 5, 4843. [Google Scholar] [CrossRef] [PubMed]





| Type 1: Dry | Type 2: Sintered | Type 3: Wet |
|---|---|---|
| Inkjet printing of Ag | Inkjet printing of Ag | Inkjet printing of Ag |
| Drying of Ag layer | Drying of Ag layer | Inkjet printing of PEDOT:PSS |
| Inkjet printing of PEDOT:PSS | Sintering of Ag layer | Drying of the sensor 1 |
| Drying of the sensor 1 | Inkjet printing of PEDOT:PSS | Sintering of the sensor 1 |
| Sintering of the sensor 1 | Drying of the sensor 1 | -- |
| Number of Layers 1 | Sheet Resistance (Ω/sq.) | Thickness (nm) |
|---|---|---|
| 1 | 250 ± 50 | 41 ± 7 |
| 2 | 170 ± 30 | 95 ± 9 |
| 3 | 110 ± 10 | 170 ± 10 |
| 4 | 81 ± 8 | 260 ± 12 |
| 5 | 29 ± 5 | 330 ± 15 |
| Type of Fabrication | Electrode Separation (µm) | Sensitivity (Ω/°C) | Linearity (R2) |
|---|---|---|---|
| Dry | 200 | −145 | 0.9968 |
| 150 | −66.2 | 0.9964 | |
| Sintered | 200 | −105 | 0.9825 |
| 150 | −59.7 | 0.9956 | |
| Wet | 200 | −86.2 | 0.9845 |
| 150 | −61.5 | 0.9957 |
| Ref. | Humidity (Range/Sensitivity) | Temperature (Range/Sensitivity) | Deposition | Substrate | Composition |
|---|---|---|---|---|---|
| [23] | 30–70% RH 0.625%/%RH | 20–50 °C −0.53%/°C | Spin coating | Free-standing | Iron oxide nanoparticles |
| [26] | X | 20–50 °C −0.57%/°C | Screen printing | Polyimide | CNT |
| [24] | 25–95% RH 0.714%/%RH | 15–45 °C −0.53%/°C | Dip coating | Fibers | Polyamide fibers |
| [38] | 40–70%RH 6.7%/%RH | X | Drop coating | Glass | pure |
| This work | 20–70% RH 1.7%/%RH | 20–70 °C −0.8%/°C | Fully printed | PET | pure |
© 2019 by the authors. Licensee MDPI, Basel, Switzerland. This article is an open access article distributed under the terms and conditions of the Creative Commons Attribution (CC BY) license (http://creativecommons.org/licenses/by/4.0/).
Share and Cite
Rivadeneyra, A.; Bobinger, M.; Albrecht, A.; Becherer, M.; Lugli, P.; Falco, A.; Salmerón, J.F. Cost-Effective PEDOT:PSS Temperature Sensors Inkjetted on a Bendable Substrate by a Consumer Printer. Polymers 2019, 11, 824. https://doi.org/10.3390/polym11050824
Rivadeneyra A, Bobinger M, Albrecht A, Becherer M, Lugli P, Falco A, Salmerón JF. Cost-Effective PEDOT:PSS Temperature Sensors Inkjetted on a Bendable Substrate by a Consumer Printer. Polymers. 2019; 11(5):824. https://doi.org/10.3390/polym11050824
Chicago/Turabian StyleRivadeneyra, Almudena, Marco Bobinger, Andreas Albrecht, Markus Becherer, Paolo Lugli, Aniello Falco, and Jose F. Salmerón. 2019. "Cost-Effective PEDOT:PSS Temperature Sensors Inkjetted on a Bendable Substrate by a Consumer Printer" Polymers 11, no. 5: 824. https://doi.org/10.3390/polym11050824
APA StyleRivadeneyra, A., Bobinger, M., Albrecht, A., Becherer, M., Lugli, P., Falco, A., & Salmerón, J. F. (2019). Cost-Effective PEDOT:PSS Temperature Sensors Inkjetted on a Bendable Substrate by a Consumer Printer. Polymers, 11(5), 824. https://doi.org/10.3390/polym11050824

