Structural and Mechanical Properties of Ionic Di-block Copolymers via a Molecular Dynamics Approach
Abstract
1. Introduction
2. Model and Simulation Details
3. Results
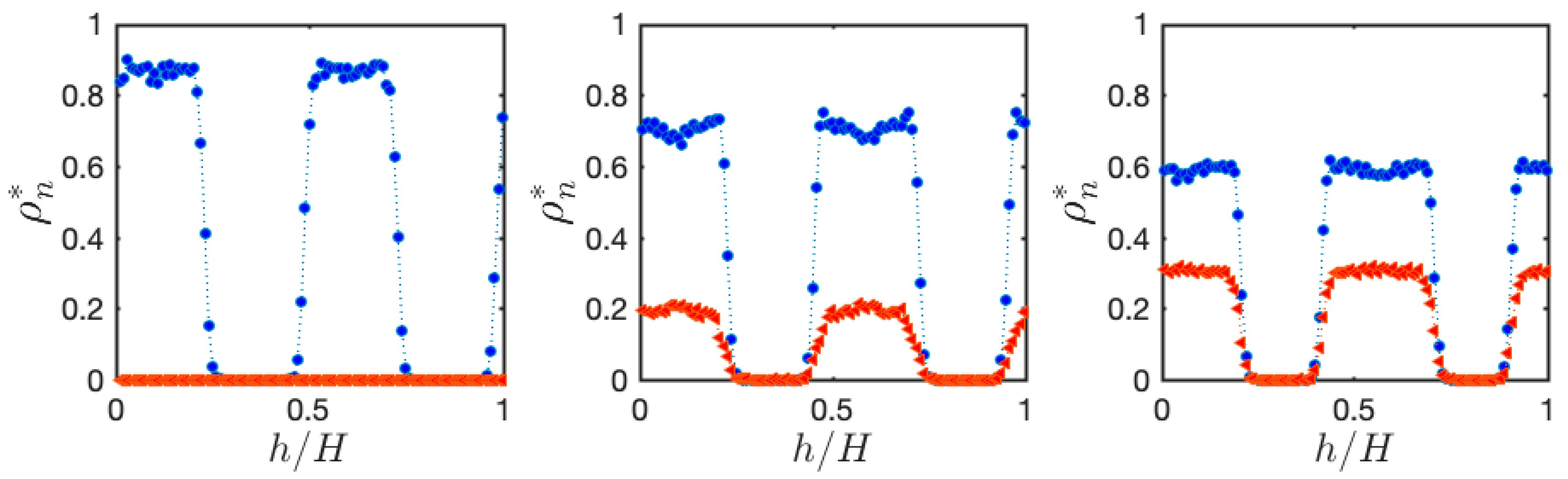
3.1. Morphologies and Number Distribution
3.2. Radial Dstribution Function
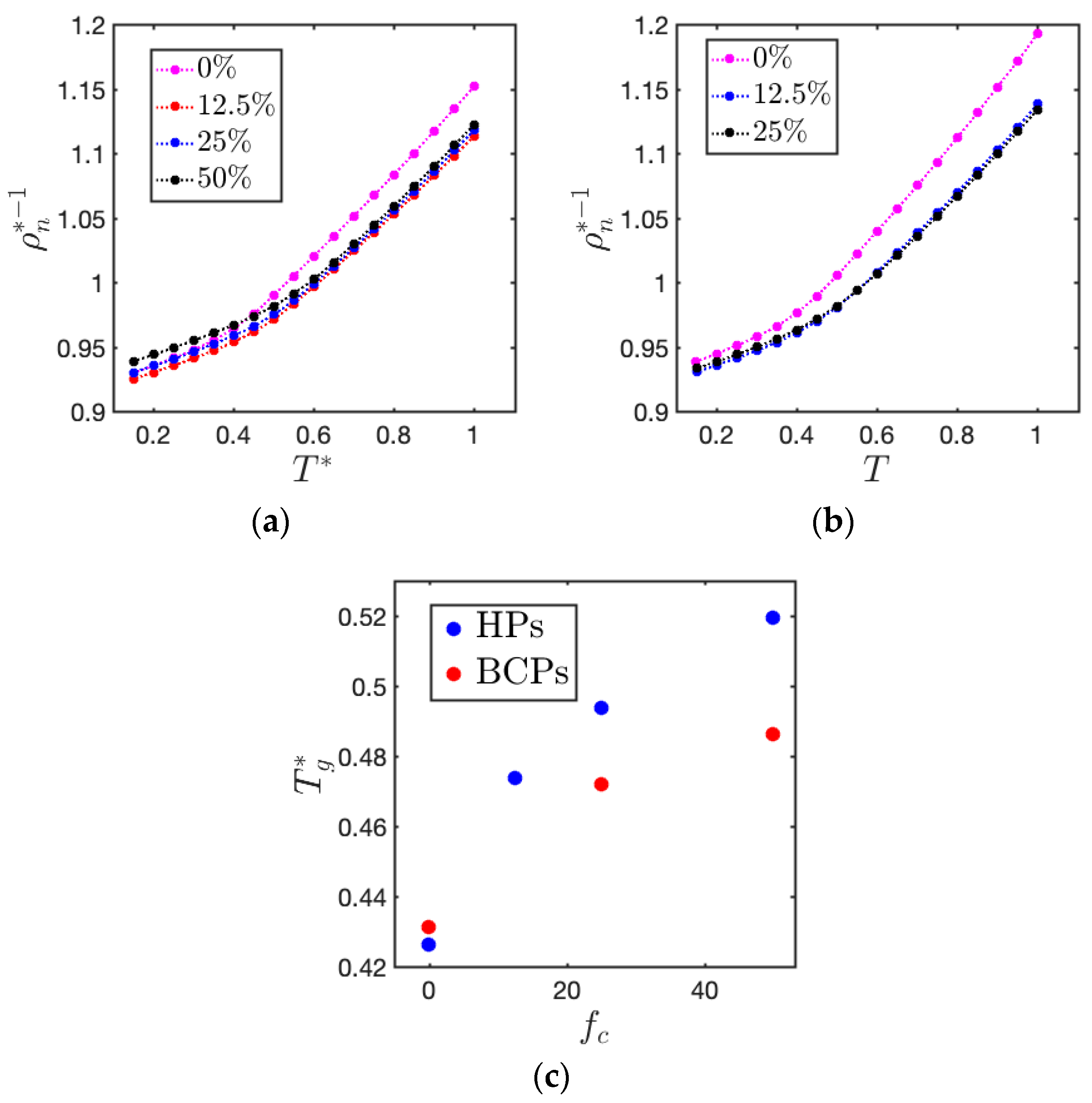
3.3. Glass Transition Temperature
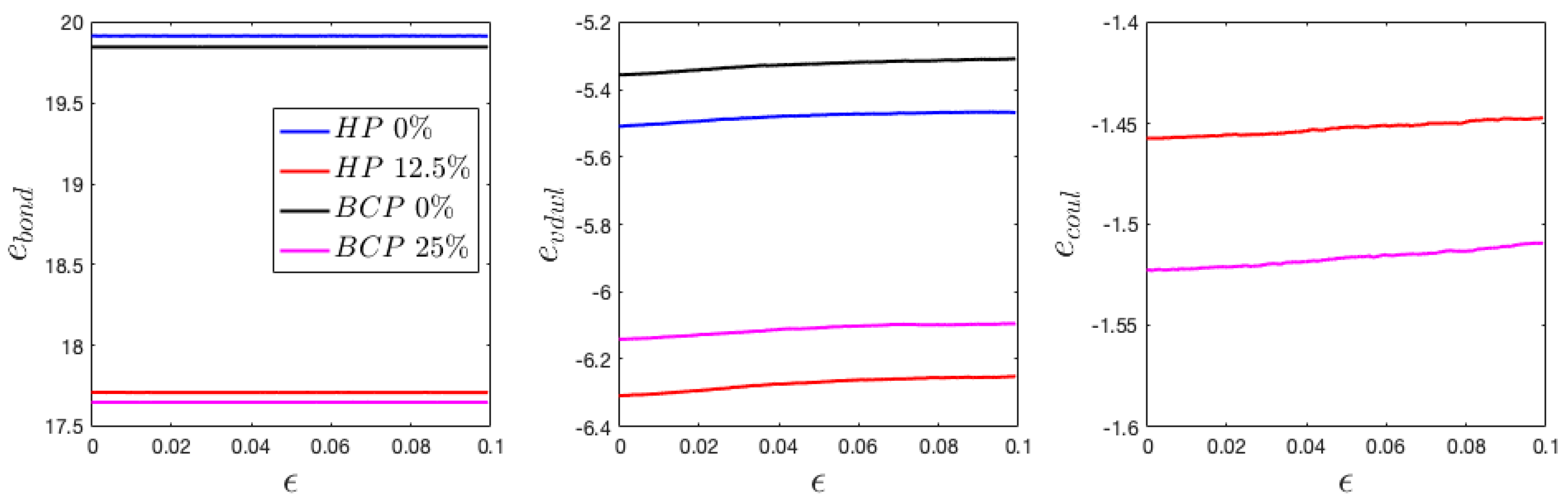
3.4. Mechanical Properties of Copolymers
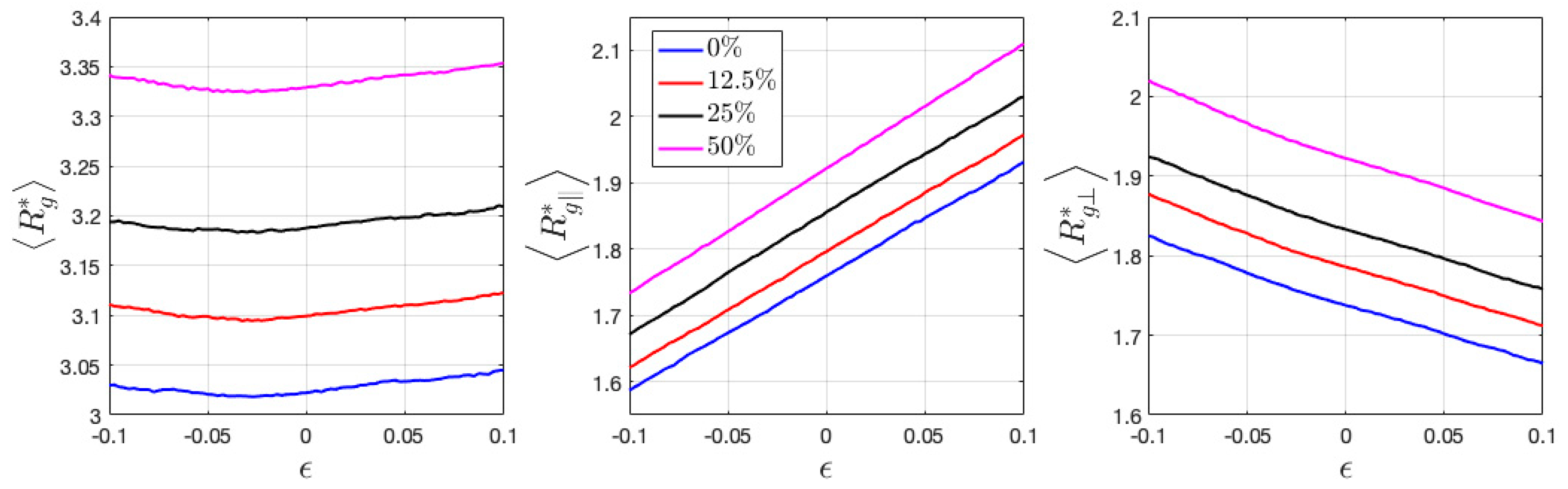
3.5. Radius of Gyration during Deformation
3.6. Second Order Legendre Polynomials
4. Discussion
5. Conclusions
- A strong dependence of mechanical properties on increasing charge ratio have been observed in ionic HPs up to 25% and in BCPs up to 50% charged A block. Further increasing the charge ratio from 25% to 50% in HPs does not result in the improvement of mechanical properties.
- Anisotropy in mechanical properties in the lamellar BCPs is not apparent when deformed to a strain level of 0.1 along the directions parallel and perpendicular to the microphase interface. When stretched up to a strain level of 30%, the mechanical responses start to show large discrepancies, which is expected as the weak interface between A and B block orients differently with respect to the two loading directions.
- Chain segments preferentially align perpendicular to the microphase interface in ionic di-BCPs, in contrast to the random distribution in ionic HPs. The radius of gyration increases with increasing charge ratio in HPs. However, shows a reverse tendency with the charge ratio in BCPs. A linear dependence of the parallel and perpendicular components of the radius of gyration and bond orientation on the applied strain is observed under all loading conditions of HPs and BCPs.
- HPs do not show a significant change in the radius of gyration, whereas di-BCPs have an increase in when stretched perpendicular to the interface or compressed parallel to the interface. BCPs have a decrease in when stretched parallel to the interface or compressed perpendicular to the interface.
Author Contributions
Funding
Acknowledgments
Conflicts of Interest
References
- Fan, L.; Wei, S.; Li, S.; Li, Q.; Lu, Y. Recent Progress of the Solid-State Electrolytes for High-Energy Metal-Based Batteries. Adv. Energy Mater. 2018, 8, 1702657. [Google Scholar] [CrossRef]
- Meek, K.M.; Elabd, Y.A. Polymerized ionic liquid block copolymers for electrochemical energy. J. Mater. Chem. A 2015, 3, 24187–24194. [Google Scholar] [CrossRef]
- Shahinpoor, M.; Bar-Cohen, Y.; Simpson, J.O.; Smith, J. Ionic polymer-metal composites (IPMCs) as biomimetic sensors, actuators and artificial muscles—A review. Smart Mater. Struct. 1998, 7. [Google Scholar] [CrossRef]
- Takashima, Y.; Hatanaka, S.; Otsubo, M.; Nakahata, M.; Kakuta, T.; Hashidzume, A.; Yamaguchi, H.; Harada, A. Expansion–contraction of photoresponsive artificial muscle regulated by host–guest interactions. Nat. Commun. 2012, 3, 1270. [Google Scholar] [CrossRef] [PubMed]
- Wu, G.; Hu, Y.; Liu, Y.; Zhao, J.; Chen, X.; Whoehling, V.; Plesse, C.; Nguyen, G.T.M.; Vidal, F.; Chen, W. Graphitic carbon nitride nanosheet electrode-based high-performance ionic actuator. Nat. Commun. 2015, 6, 7258. [Google Scholar] [CrossRef] [PubMed]
- Kataoka, K.; Harada, A.; Nagasaki, Y. Block copolymer micelles for drug delivery: Design, characterization and biological significance. Adv. Drug Deliv. Rev. 2001, 47, 113–131. [Google Scholar] [CrossRef]
- Duncan, R. The dawning era of polymer therapeutics. Nat. Rev. Drug Discov. 2003, 2, 347–360. [Google Scholar] [CrossRef]
- Bu, L.; Guo, X.; Yu, B.; Qu, Y.; Xie, Z.; Yan, D.; Geng, Y.; Wang, F. Monodisperse Co-oligomer Approach toward Nanostructured Films with Alternating Donor−Acceptor Lamellae. J. Am. Chem. Soc. 2009, 131, 13242–13243. [Google Scholar] [CrossRef]
- Huang, C.; Barlow, S.; Marder, S.R. Perylene-3,4,9,10-tetracarboxylic Acid Diimides: Synthesis, Physical Properties, and Use in Organic Electronics. J. Org. Chem. 2011, 76, 2386–2407. [Google Scholar] [CrossRef]
- Akle, B.J.; Bennett, M.D.; Leo, D.J. High-strain ionomeric–ionic liquid electroactive actuators. Sens. Actuators A Phys. 2006, 126, 173–181. [Google Scholar] [CrossRef]
- Safari, M.; Naji, L.; Baker, R.T.; Taromi, F.A. The enhancement effect of lithium ions on actuation performance of ionic liquid-based IPMC soft actuators. Polymer 2015, 76, 140–149. [Google Scholar] [CrossRef]
- Bouchet, R.; Maria, S.; Meziane, R.; Aboulaich, A.; Liénafa, L.; Bonnet, J.-P.; Phan, T.N.T.; Bertin, D.; Gigmes, D.; Devaux, D.; et al. Single-ion BAB triblock copolymers as highly efficient electrolytes for lithium-metal batteries. Nat. Mater. 2013, 12, 452–457. [Google Scholar] [CrossRef] [PubMed]
- Tyler, C.A.; Morse, D.C. Linear Elasticity of Cubic Phases in Block Copolymer Melts by Self-Consistent Field Theory. Macromolecules 2003, 36, 3764–3774. [Google Scholar] [CrossRef]
- Tyler, C.A.; Morse, D.C. Stress in Self-Consistent-Field Theory. Macromolecules 2003, 36, 8184–8188. [Google Scholar] [CrossRef]
- Chakraborty, A.K.; Fredrickson, G.H. Elastic Constants for Random Block Copolymers in the Strong Segregation Limit: Effects of Sequence Distribution. Macromolecules 1994, 27, 7079–7084. [Google Scholar] [CrossRef]
- Baeurle, S.A.; Fredrickson, G.H.; Gusev, A.A. Prediction of Elastic Properties of a Poly(styrene−butadiene−styrene) Copolymer Using a Mixed Finite Element Approach. Macromolecules 2004, 37, 5784–5791. [Google Scholar] [CrossRef]
- Zheng, Z.; Liu, H.; Shen, J.; Liu, J.; Wu, Y.; Zhang, L. Tailoring the Static and Dynamic Mechanical Properties of Tri-Block Copolymers through Molecular Dynamics Simulation. Polymer 2016, 8, 335. [Google Scholar] [CrossRef]
- Zhang, M.; Cui, Z.; Brinson, L.C. Mechanical properties of hard-soft block copolymers calculated from coarse-grained molecular dynamics models. J. Polym. Sci. Part B Polym. Phys. 2018, 56, 1552–1566. [Google Scholar] [CrossRef]
- Sethuraman, V.; Nguyen, B.H.; Ganesan, V. Coarse-graining in simulations of multicomponent polymer systems. J. Chem. Phys. 2014, 141, 244904. [Google Scholar] [CrossRef]
- Guenza, M.G. Theoretical models for bridging timescales in polymer dynamics. J. Phys. Condens. Matter 2008, 20, 033101. [Google Scholar] [CrossRef]
- Banaszak, M.; Wołoszczuk, S.; Pakula, T.; Jurga, S. Computer simulation of structure and microphase separation in model A−B−A triblock copolymers. Phys. Rev. E 2002, 66, 031804. [Google Scholar] [CrossRef] [PubMed]
- Sing, C.E.; Zwanikken, J.W.; De La Cruz, M.O. Electrostatic control of block copolymer morphology. Nat. Mater. 2014, 13, 694–698. [Google Scholar] [CrossRef] [PubMed]
- Pryamitsyn, V.A.; Kwon, H.-K.; Zwanikken, J.W.; De La Cruz, M.O. Anomalous Phase Behavior of Ionic Polymer Blends and Ionic Copolymers. Macromolecules 2017, 50, 5194–5207. [Google Scholar] [CrossRef]
- Goswami, M.; Kumar, R.; Sumpter, B.G.; Mays, J. Breakdown of Inverse Morphologies in Charged Diblock Copolymers. J. Phys. Chem. B 2011, 115, 3330–3338. [Google Scholar] [CrossRef] [PubMed][Green Version]
- Sethuraman, V.; Mogurampelly, S.; Ganesan, V. Ion transport mechanisms in lamellar phases of salt-doped PS–PEO block copolymer electrolytes. Soft Matter 2017, 13, 7793–7803. [Google Scholar] [CrossRef] [PubMed]
- Ting, C.L.; Stevens, M.J.; Frischknecht, A.L. Structure and Dynamics of Coarse-Grained Ionomer Melts in an External Electric Field. Macromolecules 2015, 48, 809–818. [Google Scholar] [CrossRef]
- Ryu, J.H.; Wee, H.S.; Lee, W.B. Molecular dynamics study on microstructures of diblock copolymer melts with soft potential and potential recovery. Phys. Rev. E 2016, 94, 032501. [Google Scholar] [CrossRef]
- Steinmüller, B.; Müller, M.; Hambrecht, K.R.; Smith, G.D.; Bedrov, D. Properties of Random Block Copolymer Morphologies: Molecular Dynamics and Single-Chain-in-Mean-Field Simulations. Macromolecules 2012, 45, 1107–1117. [Google Scholar] [CrossRef]
- Warren, P.B.; Groot, R.D. Dissipative particle dynamics: Bridging the gap between atomistic and mesoscopic simulation. J. Chem. Phys. 1997, 107, 4423–4435. [Google Scholar]
- Steinbach, P.J.; Brooks, B.R. New spherical-cutoff methods for long-range forces in macromolecular simulation. J. Comput. Chem. 1994, 15, 667–683. [Google Scholar] [CrossRef]
- Park, M.J.; Balsara, N.P. Anisotropic Proton Conduction in Aligned Block Copolymer Electrolyte Membranes at Equilibrium with Humid Air. Macromolecules 2010, 43, 292–298. [Google Scholar] [CrossRef]
- Fu, Y.; Bocharova, V.; Ma, M.; Sokolov, A.P.; Sumpter, B.G.; Kumar, R. Effects of counterion size and backbone rigidity on the dynamics of ionic polymer melts and glasses. Phys. Chem. Chem. Phys. 2017, 19, 27442–27451. [Google Scholar] [CrossRef] [PubMed]
- Wojnarowska, Z.; Feng, H.; Fu, Y.; Cheng, S.; Carroll, B.; Kumar, R.; Novikov, V.N.; Kisliuk, A.M.; Saito, T.; Kang, N.-G.; et al. Effect of Chain Rigidity on the Decoupling of Ion Motion from Segmental Relaxation in Polymerized Ionic Liquids: Ambient and Elevated Pressure Studies. Macromolecules 2017, 50, 6710–6721. [Google Scholar] [CrossRef]
- Bocharova, V.; Wojnarowska, Z.; Cao, P.-F.; Fu, Y.; Kumar, R.; Li, B.; Novikov, V.N.; Zhao, S.; Kisliuk, A.M.; Saito, T.; et al. Influence of Chain Rigidity and Dielectric Constant on the Glass Transition Temperature in Polymerized Ionic Liquids. J. Phys. Chem. B 2017, 121, 11511–11519. [Google Scholar] [CrossRef] [PubMed]
- Podgornik, R. A variational approach to charged polymer chains: Polymer mediated interactions. J. Chem. Phys. 1993, 99, 7221–7231. [Google Scholar] [CrossRef]
- Hossain, D.; Tschopp, M.; Ward, D.; Bouvard, J.; Wang, P.; Horstemeyer, M. Molecular dynamics simulations of deformation mechanisms of amorphous polyethylene. Polymer 2010, 51, 6071–6083. [Google Scholar] [CrossRef]















© 2019 by the authors. Licensee MDPI, Basel, Switzerland. This article is an open access article distributed under the terms and conditions of the Creative Commons Attribution (CC BY) license (http://creativecommons.org/licenses/by/4.0/).
Share and Cite
Ma, M.; Fu, Y. Structural and Mechanical Properties of Ionic Di-block Copolymers via a Molecular Dynamics Approach. Polymers 2019, 11, 1546. https://doi.org/10.3390/polym11101546
Ma M, Fu Y. Structural and Mechanical Properties of Ionic Di-block Copolymers via a Molecular Dynamics Approach. Polymers. 2019; 11(10):1546. https://doi.org/10.3390/polym11101546
Chicago/Turabian StyleMa, Mengze, and Yao Fu. 2019. "Structural and Mechanical Properties of Ionic Di-block Copolymers via a Molecular Dynamics Approach" Polymers 11, no. 10: 1546. https://doi.org/10.3390/polym11101546
APA StyleMa, M., & Fu, Y. (2019). Structural and Mechanical Properties of Ionic Di-block Copolymers via a Molecular Dynamics Approach. Polymers, 11(10), 1546. https://doi.org/10.3390/polym11101546

