Evaluation of Band-Selective HSQC and HMBC: Methodological Validation on the Cyclosporin Cyclic Peptide and Application for Poly(3-hydroxyalkanoate)s Stereoregularity Determination
Abstract
1. Introduction
2. Materials and Methods
2.1. NMR Acquisition Parameters
- Standard Bruker hsqcetgpsisp2.2 (from which the following are derived);
- Standard Bruker shsqcetgpsisp2.2: first 13C adiabatic refocalization pulse was replaced by a selective 180° refocalization pulse bracketed by gradients of opposite sign [35];
- hsqcetgpsisp2.2-DPFGSE: a double pulsed field gradients spin-echo (DPFGSE) using selective 180° inversion pulse was added after the t1 evolution period [29]; and
- hsqcetgpsisp2.2-DPFGSESYM: one PFGSE using selective 180° inversion pulse was inserted before the t1 evolution period and another one after t1 evolution period [29].
- Standard Bruker hmbcctetgpl2nd (from which the following are derived);
- Standard Bruker shmbcctetgpl2nd: 13C adiabatic refocalization was replaced by a selective 180° refocalization pulse; and
2.2. NMR Spectra Processing
2.3. Polymerization Procedure
3. Results
3.1. Spectra Quality: Selectivity and Aliasing
3.2. Selectivity According to Carbon Multiplicity
3.3. Influence of INEPT Interpulse Delay Setting
3.4. Relaxation Delay D1
3.5. Application to the Microstructural Determination of PHBOAll
4. Discussion
5. Conclusions
Supplementary Materials
Author Contributions
Acknowledgments
Conflicts of Interest
Abbreviations
| BPLOR | alkoxymethylene-β-propiolactones |
| bs | band-selective |
| DANTE | delays alternating with nutation for tailored excitation |
| DPFGSE | double pulsed field gradients spin-echo |
| GARP | globally-optimised, alternating phase rectangular pulses |
| HMBC | heteronuclear multiple bond correlation |
| HSQC | heteronuclear single quantum correlation |
| INEPT | insensitive nuclei enhanced by polarization transfer |
| MLAR | alkyl β-malolactonate |
| PHBOR | poly(3-hydroxyalkanoate) |
| PLA | polylactide |
| ROP | ring-opening polymerization |
References
- Lutz, J.-F.; Ouchi, M.; Liu, D.R.; Sawamoto, M. Sequence-controlled polymers. Science 2013, 341, 1238149. [Google Scholar] [CrossRef] [PubMed]
- Lutz, J.-F. Defining the Field of Sequence-Controlled Polymers. Macromol. Rapid Commun. 2017, 38. [Google Scholar] [CrossRef] [PubMed]
- Lutz, J.-F. Sequence-Controlled Polymers; John Wiley & Sons: Hoboken, NJ, USA, 2018; ISBN 978-3-527-34237-2. [Google Scholar]
- Arnold, P.L.; Buffet, J.-C.; Blaudeck, R.P.; Sujecki, S.; Blake, A.J.; Wilson, C. C3-Symmetric Lanthanide Tris(alkoxide) Complexes Formed by Preferential Complexation and Their Stereoselective Polymerization of rac-Lactide. Angew. Chem. Int. Ed. 2008, 47, 6033–6036. [Google Scholar] [CrossRef] [PubMed]
- Bakewell, C.; Cao, T.-P.-A.; Long, N.; Le Goff, X.F.; Auffrant, A.; Williams, C.K. Yttrium Phosphasalen Initiators for rac-Lactide Polymerization: Excellent Rates and High Iso-Selectivities. J. Am. Chem. Soc. 2012, 134, 20577–20580. [Google Scholar] [CrossRef] [PubMed]
- Aluthge, D.C.; Patrick, B.O.; Mehrkhodavandi, P. A highly active and site selective indium catalyst for lactide polymerization. Chem. Commun. 2013, 49, 4295–4297. [Google Scholar] [CrossRef] [PubMed]
- Bakewell, C.; White, A.J.P.; Long, N.J.; Williams, C.K. Metal-Size Influence in Iso-Selective Lactide Polymerization. Angew. Chem. Int. Ed. 2014, 53, 9226–9230. [Google Scholar] [CrossRef] [PubMed]
- Jones, M.D.; Hancock, S.L.; McKeown, P.; Schäfer, P.M.; Buchard, A.; Thomas, L.H.; Mahon, M.F.; Lowe, J.P. Zirconium complexes of bipyrrolidine derived salan ligands for the isoselective polymerisation of rac-Lactide. Chem. Commun. 2014, 50, 15967–15970. [Google Scholar] [CrossRef] [PubMed]
- Mou, Z.; Liu, B.; Wang, M.; Xie, H.; Li, P.; Li, L.; Li, S.; Cui, D. Isoselective ring-opening polymerization of rac-Lactide initiated by achiral heteroscorpionate zwitterionic zinc complexes. Chem. Commun. 2014, 50, 11411–11414. [Google Scholar] [CrossRef] [PubMed]
- Jones, M.D.; Brady, L.; McKeown, P.; Buchard, A.; Schäfer, P.M.; Thomas, L.H.; Mahon, M.F.; Woodman, T.J.; Lowe, J.P. Metal influence on the iso- and hetero-selectivity of complexes of bipyrrolidine derived salan ligands for the polymerisation of rac-Lactide. Chem. Sci. 2015, 6, 5034–5039. [Google Scholar] [CrossRef] [PubMed]
- McKeown, P.; Davidson, M.G.; Kociok-Köhn, G.; Jones, M.D. Aluminium salalens vs. salans: “Initiator Design” for the isoselective polymerisation of rac-Lactide. Chem. Commun. 2016, 52, 10431–10434. [Google Scholar] [CrossRef] [PubMed]
- Rosen, T.; Popowski, Y.; Goldberg, I.; Kol, M. Zinc Complexes of Sequential Tetradentate Monoanionic Ligands in the Isoselective Polymerization of rac-Lactide. Chem. Eur. J. 2016, 22, 11533–11536. [Google Scholar] [CrossRef] [PubMed]
- Xu, T.-Q.; Yang, G.-W.; Liu, C.; Lu, X.-B. Highly Robust Yttrium Bis(phenolate) Ether Catalysts for Excellent Isoselective Ring-Opening Polymerization of Racemic Lactide. Macromolecules 2017, 50, 515–522. [Google Scholar] [CrossRef]
- Carpentier, J.-F. Discrete Metal Catalysts for Stereoselective Ring-Opening Polymerization of Chiral Racemic β-Lactones. Macromol. Rapid Commun. 2010, 31, 1696–1705. [Google Scholar] [CrossRef] [PubMed]
- Amgoune, A.; Thomas, C.M.; Ilinca, S.; Roisnel, T.; Carpentier, J.-F. Highly Active, Productive, and Syndiospecific Yttrium Initiators for the Polymerization of Racemic β-Butyrolactone. Angew. Chem. Int. Ed. 2006, 45, 2782–2784. [Google Scholar] [CrossRef] [PubMed]
- Bouyahyi, M.; Ajellal, N.; Kirillov, E.; Thomas, C.M.; Carpentier, J.-F. Exploring Electronic versus Steric Effects in Stereoselective Ring-Opening Polymerization of Lactide and β-Butyrolactone with Amino-alkoxy-bis(phenolate)-Yttrium Complexes. Chem. Eur. J. 2011, 17, 1872–1883. [Google Scholar] [CrossRef] [PubMed]
- Carpentier, J.-F. Rare-Earth Complexes Supported by Tripodal Tetradentate Bis(phenolate) Ligands: A Privileged Class of Catalysts for Ring-Opening Polymerization of Cyclic Esters. Organometallics 2015, 34, 4175–4189. [Google Scholar] [CrossRef]
- Ajellal, N.; Bouyahyi, M.; Amgoune, A.; Thomas, C.M.; Bondon, A.; Pillin, I.; Grohens, Y.; Carpentier, J.-F. Syndiotactic-Enriched Poly(3-hydroxybutyrate)s via Stereoselective Ring-Opening Polymerization of Racemic β-Butyrolactone with Discrete Yttrium Catalysts. Macromolecules 2009, 42, 987–993. [Google Scholar] [CrossRef]
- Jaffredo, C.G.; Chapurina, Y.; Guillaume, S.M.; Carpentier, J.-F. From Syndiotactic Homopolymers to Chemically Tunable Alternating Copolymers: Highly Active Yttrium Complexes for Stereoselective Ring-Opening Polymerization of β-Malolactonates. Angew. Chem. Int. Ed. 2014, 53, 2687–2691. [Google Scholar] [CrossRef] [PubMed]
- Jaffredo, C.G.; Chapurina, Y.; Kirillov, E.; Carpentier, J.-F.; Guillaume, S.M. Highly Stereocontrolled Ring-Opening Polymerization of Racemic Alkyl β-Malolactonates Mediated by Yttrium [Amino-alkoxy-bis(phenolate)] Complexes. Chem. Eur. J. 2016, 22, 7629–7641. [Google Scholar] [CrossRef] [PubMed]
- Ligny, R.; Hänninen, M.M.; Guillaume, S.M.; Carpentier, J.-F. Highly Syndiotactic or Isotactic Polyhydroxyalkanoates by Ligand-Controlled Yttrium-Catalyzed Stereoselective Ring-Opening Polymerization of Functional Racemic β-Lactones. Angew. Chem. Int. Ed Engl. 2017, 56, 10388–10393. [Google Scholar] [CrossRef] [PubMed]
- Tiegs, B.J.; Sarkar, S.; Condo, A.M.; Keresztes, I.; Coates, G.W. Rapid Determination of Polymer Stereoregularity Using Band-Selective 2D HSQC. ACS Macro Lett. 2016, 5, 181–184. [Google Scholar] [CrossRef]
- Davis, D.G. Proton detection of long-range couplings to carbon-13 using semiselective pulses. A high-resolution method for assigning amino acids in peptides. J. Magn. Reson. 1989, 83, 212–218. [Google Scholar] [CrossRef]
- Led, J.J.; Abildgaard, F.; Gesmar, H. Phase correction of soft-pulse heteronuclear multiple-bond correlation spectra using backward linear prediction. J. Magn. Reson. 1991, 93, 659–665. [Google Scholar] [CrossRef]
- Poppe, L.; van Halbeek, H. 13C-selective, 1H-detected 2D {1H, 13C} correlation spectra of oligosaccharides. Magn. Reson. Chem. 1991, 29, 848–851. [Google Scholar] [CrossRef]
- Claridge, T.D.W.; Pérez-Victoria, I. Enhanced 13C resolution in semi-selective HMBC: A band-selective, constant-time HMBC for complex organic structure elucidation by NMR. Org. Biomol. Chem. 2003, 1, 3632–3634. [Google Scholar] [CrossRef] [PubMed]
- Bernassau, J.M.; Nuzillard, J.M. Clean Selective Excitation of Heteronuclear Spin Systems. J. Magn. Reson. A 1993, 104, 212–221. [Google Scholar] [CrossRef]
- Bernassau, J.M.; Nuzillard, J.M. Enhancement of F1-Selective HMQC and HSQC Experiments by Field-Gradient Pulses. J. Magn. Reson. A 1994, 108, 248–254. [Google Scholar] [CrossRef]
- Gaillet, C.; Lequart, C.; Debeire, P.; Nuzillard, J.-M. Band-Selective HSQC and HMBC Experiments Using Excitation Sculpting and PFGSE. J. Magn. Reson. 1999, 139, 454–459. [Google Scholar] [CrossRef] [PubMed]
- Bernassau, J.M.; Nuzillard, J.M. Selective HMBC Experiments Using Soft Inversion Pulses. J. Magn. Reson. B 1994, 103, 77–81. [Google Scholar] [CrossRef]
- Saurí, J.; Reibarkh, M.; Zhang, T.; Cohen, R.D.; Wang, X.; Molinski, T.F.; Martin, G.E.; Williamson, R.T. Band-Selective 2D HSQMBC: A Universal Technique for Detection and Measurement of 35,37Cl Isotope Effects for 13C Nuclei. Org. Lett. 2016, 18, 4786–4789. [Google Scholar] [CrossRef] [PubMed]
- Wang, X.; Duggan, B.M.; Molinski, T.F. Mollenynes B–E from the Marine Sponge Spirastrella mollis. Band-Selective Heteronuclear Single Quantum Coherence for Discrimination of Bromo–Chloro Regioisomerism in Natural Products. J. Am. Chem. Soc. 2015, 137, 12343–12351. [Google Scholar] [CrossRef] [PubMed]
- Wang, X.; Duggan, B.M.; Molinski, T.F. Ultra-high resolution band-selective HSQC for nanomole-scale identification of chlorine-substituted 13C in natural products drug discovery. Magn. Reson. Chem. 2017, 55, 263–268. [Google Scholar] [CrossRef] [PubMed]
- Milanowski, D.J.; Oku, N.; Cartner, L.K.; Bokesch, H.R.; Williamson, R.T.; Saurí, J.; Liu, Y.; Blinov, K.A.; Ding, Y.; Li, X.-C.; et al. Unequivocal determination of caulamidines A and B: Application and validation of new tools in the structure elucidation tool box. Chem. Sci. 2018, 9, 307–314. [Google Scholar] [CrossRef] [PubMed]
- Dalvit, C. Semi-selective two-dimensional homonuclear and heteronuclear NMR experiments recorded with pulsed field gradients. Magn. Reson. Chem. 1995, 33, 570–576. [Google Scholar] [CrossRef]
- Hwang, T.L.; Shaka, A.J. Water Suppression That Works. Excitation Sculpting Using Arbitrary Wave-Forms and Pulsed-Field Gradients. J. Magn. Reson. A 1995, 112, 275–279. [Google Scholar] [CrossRef]
- Berger, S. NMR techniques employing selective radiofrequency pulses in combination with pulsed field gradients. Prog. Nucl. Magn. Reson. Spectrosc. 1997, 30, 137–156. [Google Scholar] [CrossRef]
- Kövér, K.E.; Fehér, K.; Szilágyi, L.; Borbás, A.; Herczegh, P.; Lipták, A. 2D NMR spectra of oligosaccharides enhanced by band-selective suppression of unwanted signals. Tetrahedron Lett. 2000, 41, 393–396. [Google Scholar] [CrossRef]
- Emsley, L.; Bodenhausen, G. Optimization of shaped selective pulses for NMR using a quaternion description of their overall propagators. J. Magn. Reson. 1992, 97, 135–148. [Google Scholar] [CrossRef]
- Emsley, L.; Bodenhausen, G. Gaussian pulse cascades: New analytical functions for rectangular selective inversion and in-phase excitation in NMR. Chem. Phys. Lett. 1990, 165, 469–476. [Google Scholar] [CrossRef]



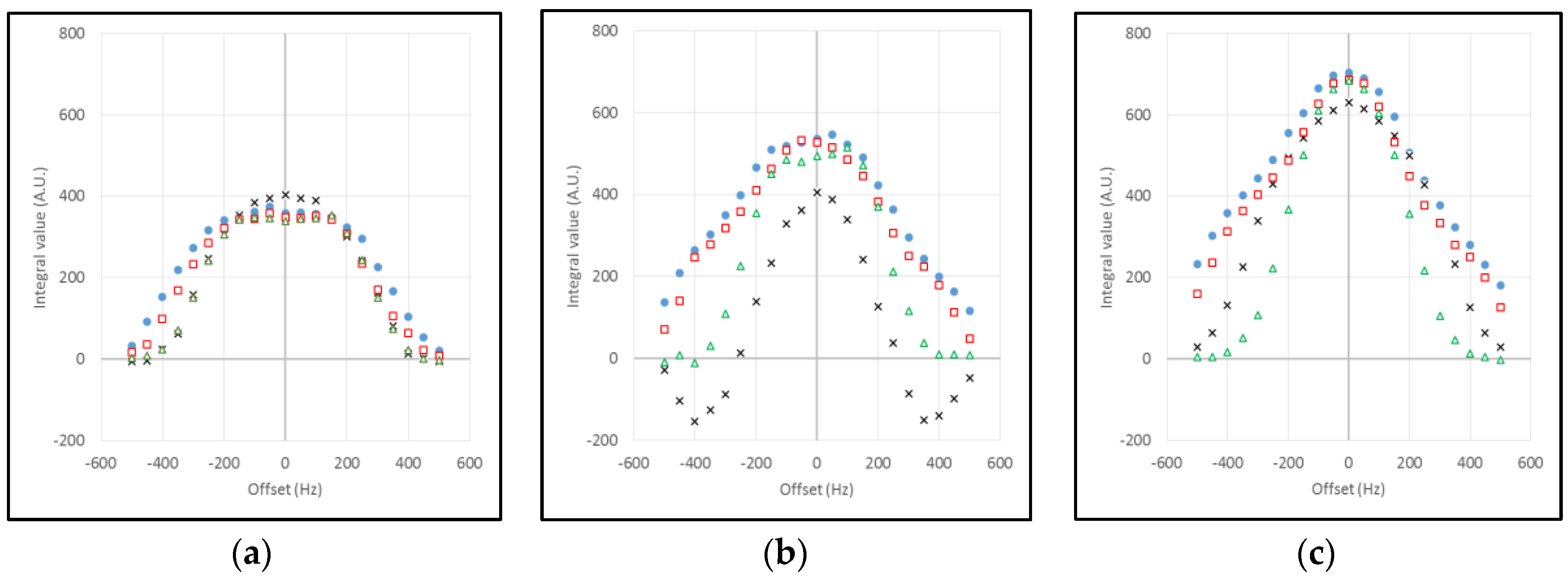
); hsqcetgpsisp2.2-REFOC (×); hsqcetgpsisp2.2-DPFGSE (
); and hsqcetgpsisp2.2-DPFGSESYM (
). Selective pulse (Q3.1000) was calculated for a 600 Hz selectivity.
); hsqcetgpsisp2.2-REFOC (×); hsqcetgpsisp2.2-DPFGSE (
); and hsqcetgpsisp2.2-DPFGSESYM (
). Selective pulse (Q3.1000) was calculated for a 600 Hz selectivity.
); hsqcetgpsisp2.2-REFOC (×); hsqcetgpsisp2.2-DPFGSE (
); and hsqcetgpsisp2.2-DPFGSESYM (
).
); hsqcetgpsisp2.2-REFOC (×); hsqcetgpsisp2.2-DPFGSE (
); and hsqcetgpsisp2.2-DPFGSESYM (
).
); hsqcetgpsisp2.2-REFOC (×); hsqcetgpsisp2.2-DPFGSE (
); and hsqcetgpsisp2.2-DPFGSESYM (
).
); hsqcetgpsisp2.2-REFOC (×); hsqcetgpsisp2.2-DPFGSE (
); and hsqcetgpsisp2.2-DPFGSESYM (
).

) and with the hmbcctetgpl2nd-SPFGSE sequence (
) against PS values obtained from 1D 13C{1H} (carbonyl region). Error bars represent standard deviation.
) and with the hmbcctetgpl2nd-SPFGSE sequence (
) against PS values obtained from 1D 13C{1H} (carbonyl region). Error bars represent standard deviation.
| NMR Sequence | Number of Measurements | Mean Integral Value (A.U.) | Standard Deviation of Integral Value (A.U.) | Relative Standard Deviation (%) |
|---|---|---|---|---|
| shsqcetgpspsp2.2 | 7 | 688.2 | 15.0 | 2.2% |
| hsqcetgpsisp2.2-REFOC | 6 | 622.5 | 10.4 | 1.7% |
| hsqcetgpsisp2.2-DPFGSE | 7 | 666.1 | 15.6 | 2.3% |
| hsqcetgpsisp2.2-DPFGSESYM | 6 | 654.7 | 15.7 | 2.4% |
| Attribution | δ13C | δ1H | T1 13C | T1 1H | 1JCH |
|---|---|---|---|---|---|
| Abu-CO | 173.71 | - | 1.44 | - | - |
| CH α Me-Leu 10 | 57.84 | 5.34 | 0.29 | 0.38 | 134 |
| CH2 β Me-Leu 10 | 41.55 | 2.41/1.29 | 0.17 | 0.40 | 126/132 |
| CH3N Me-Leu 10 | 29.98 | 2.84 | 1.13 | 0.86 | 139 |
| CH3 γ Me-Val 11 | 18.87 | 0.96 | 0.28 | 0.37 | 125 |
| Complex Used to Prepare PHBOAll | Sequence | Observation of Carbonyl Signal (δ 169 ppm) | Observation of Side Chain CH2 (δ 35 ppm) | ||
|---|---|---|---|---|---|
| Ps (Mean) | S.D. | Ps (Mean) | S.D. | ||
| 1a | zgpg | 0.504 | 0.006 | 0.504 | 0.004 |
| hsqcetgpsisp2.2 | 0.499 | 0.001 | |||
| shsqcetgpsisp2.2 | 0.503 | 0.003 | |||
| hsqcetgpsisp2.2-REFOC | 0.507 | 0.005 | |||
| hsqcetgpsisp2.2-DPFGSE | 0.501 | 0.007 | |||
| hsqcetgpsisp2.2-DPFGSESYM | 0.503 | 0.003 | |||
| shmbcctetgpl2nd | 0.410 | 0.002 | |||
| hmbcctetgpl2nd-SPFGSE | 0.440 | 0.004 | |||
| 1b | zgpg | 0.822 | 0.019 | 0.784 | 0.001 |
| hsqcetgpsisp2.2 | 0.795 | 0.007 | |||
| shsqcetgpsisp2.2 | 0.797 | 0.014 | |||
| hsqcetgpsisp2.2-REFOC | 0.800 | 0.011 | |||
| hsqcetgpsisp2.2-DPFGSE | 0.791 | 0.004 | |||
| hsqcetgpsisp2.2-DPFGSESYM | 0.827 | 0.011 | |||
| shmbcctetgpl2nd | 0.702 | 0.012 | |||
| hmbcctetgpl2nd-SPFGSE | 0.676 | 0.002 | |||
| 1c | zgpg | 0.857 | 0.008 | 0.812 | 0.004 |
| hsqcetgpsisp2.2 | 0.837 | 0.005 | |||
| shsqcetgpsisp2.2 | 0.834 | 0.008 | |||
| hsqcetgpsisp2.2-REFOC | 0.839 | 0.005 | |||
| hsqcetgpsisp2.2-DPFGSE | 0.828 | 0.001 | |||
| hsqcetgpsisp2.2-DPFGSESYM | 0.863 | 0.009 | |||
| shmbcctetgpl2nd | 0.766 | 0.001 | |||
| hmbcctetgpl2nd-SPFGSE | 0.711 | 0.003 | |||
© 2018 by the authors. Licensee MDPI, Basel, Switzerland. This article is an open access article distributed under the terms and conditions of the Creative Commons Attribution (CC BY) license (http://creativecommons.org/licenses/by/4.0/).
Share and Cite
Caytan, E.; Ligny, R.; Carpentier, J.-F.; Guillaume, S.M. Evaluation of Band-Selective HSQC and HMBC: Methodological Validation on the Cyclosporin Cyclic Peptide and Application for Poly(3-hydroxyalkanoate)s Stereoregularity Determination. Polymers 2018, 10, 533. https://doi.org/10.3390/polym10050533
Caytan E, Ligny R, Carpentier J-F, Guillaume SM. Evaluation of Band-Selective HSQC and HMBC: Methodological Validation on the Cyclosporin Cyclic Peptide and Application for Poly(3-hydroxyalkanoate)s Stereoregularity Determination. Polymers. 2018; 10(5):533. https://doi.org/10.3390/polym10050533
Chicago/Turabian StyleCaytan, Elsa, Romain Ligny, Jean-François Carpentier, and Sophie M. Guillaume. 2018. "Evaluation of Band-Selective HSQC and HMBC: Methodological Validation on the Cyclosporin Cyclic Peptide and Application for Poly(3-hydroxyalkanoate)s Stereoregularity Determination" Polymers 10, no. 5: 533. https://doi.org/10.3390/polym10050533
APA StyleCaytan, E., Ligny, R., Carpentier, J.-F., & Guillaume, S. M. (2018). Evaluation of Band-Selective HSQC and HMBC: Methodological Validation on the Cyclosporin Cyclic Peptide and Application for Poly(3-hydroxyalkanoate)s Stereoregularity Determination. Polymers, 10(5), 533. https://doi.org/10.3390/polym10050533

