Poly(mono/diethylene glycol n-tetradecyl ether vinyl ether)s with Various Molecular Weights as Phase Change Materials
Abstract
:1. Introduction
2. Materials and Methods
2.1. Materials
2.2. Fabrication of Mono/diethylene glycol n-tetradecyl ether vinyl ethers
2.3. Synthesis of Poly(mono/diethylene glycol n-tetradecyl ether vinyl ethers)
2.4. Characterization
3. Results and Discussion
3.1. Structure of Mono/diethylene glycol n-tetradecyl ether vinyl ether
3.2. Thermal Behavior of Mono/diethylene glycol n-tetradecyl ether vinyl ether
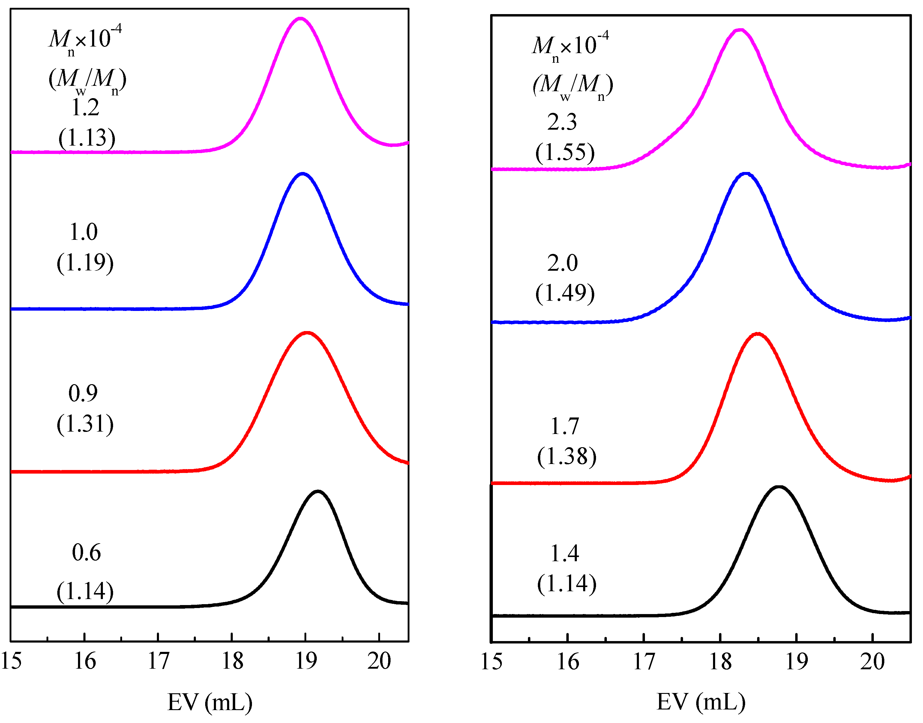
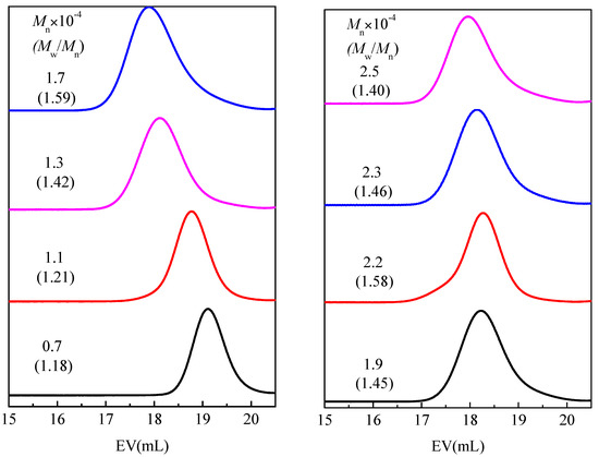
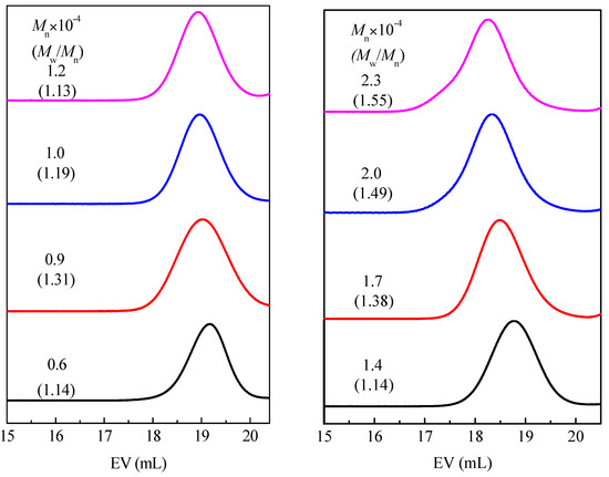
3.3. Structure of Poly(mono/diethylene glycol n-tetradecyl ether vinyl ether)
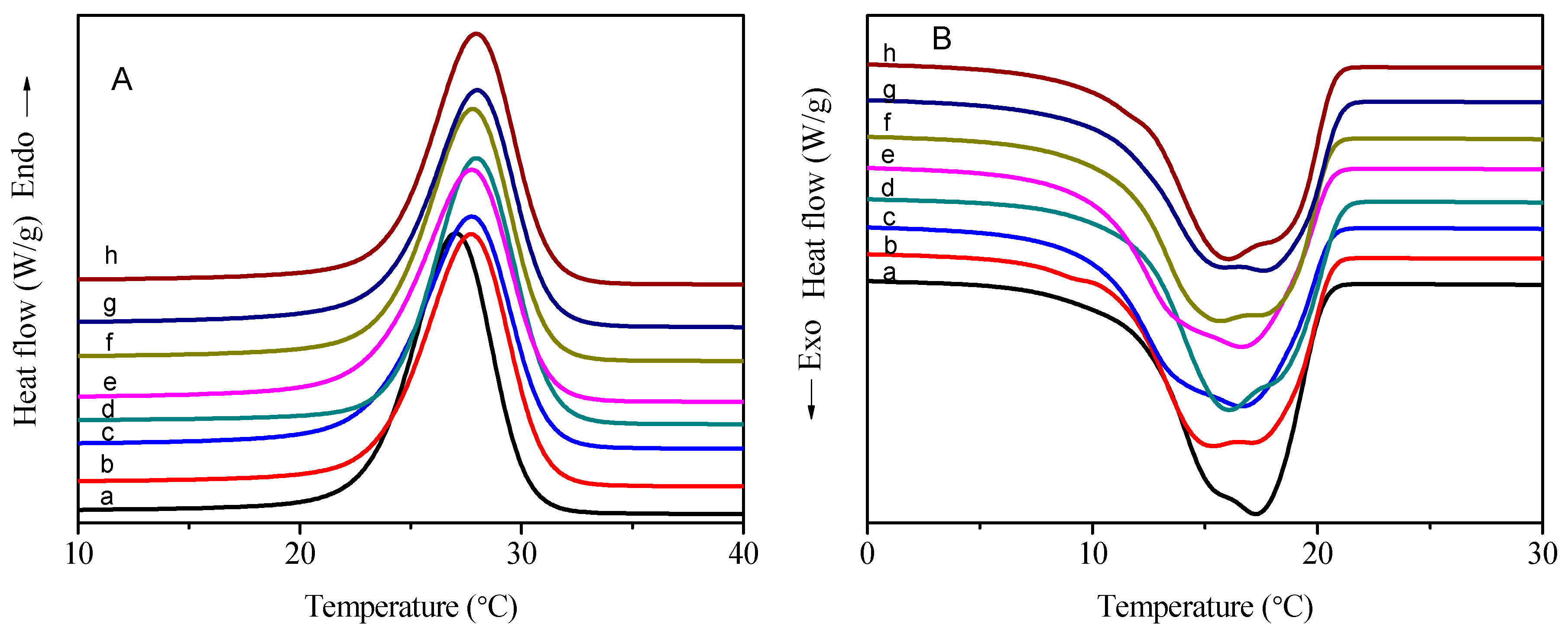
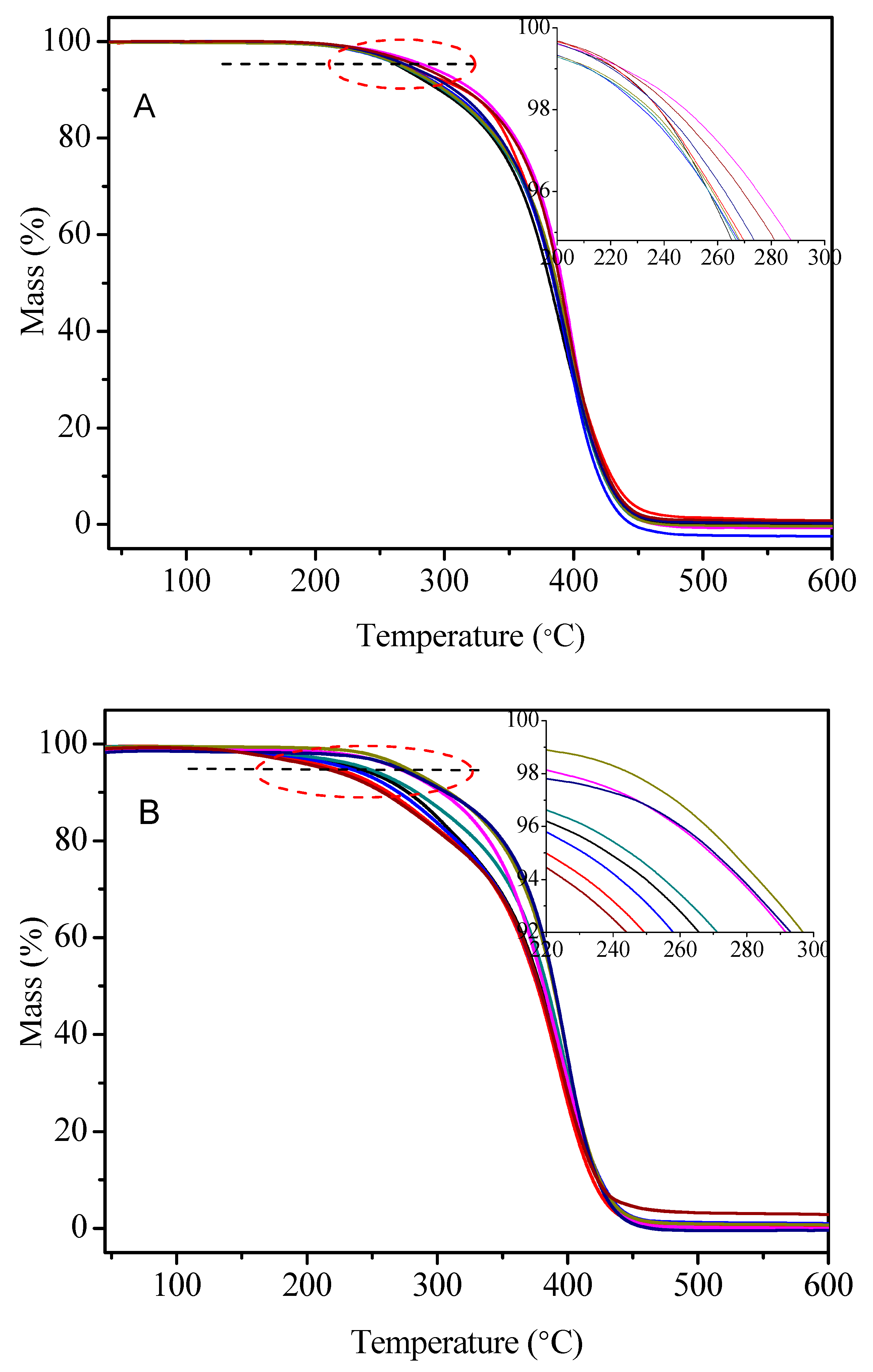
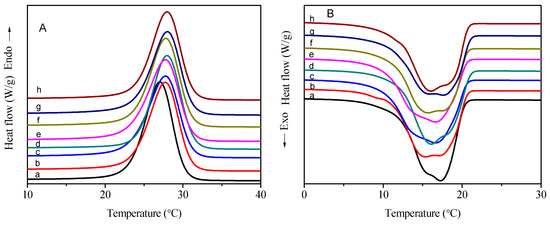
3.4. Thermal Behavior of Poly(mono/diethylene glycol n-tetradecyl ether vinyl ether)
4. Conclusions
Acknowledgments
Author Contributions
Conflicts of Interest
References
- Hempel, E.; Budde, H.; Höring, S.; Beiner, M. Side chain crystallization in microphase-separated poly(styrene- block -octadecylmethacrylate) copolymers. Thermochim. Acta 2005, 432, 254–261. [Google Scholar] [CrossRef]
- Li, W.; Zong, J.; Huang, R.; Wang, J.; Wang, N.; Han, N.; Zhang, X. Design, controlled fabrication and characterization of narrow-disperse macrocapsules containing micro/nanopcms. Mater. Des. 2016, 99, 225–234. [Google Scholar] [CrossRef]
- Ma, Y.; Zong, J.; Li, W.; Chen, L.; Tang, X.; Han, N.; Wang, J.; Zhang, X. Synthesis and characterization of thermal energy storage microencapsulated n-dodecanol with acrylic polymer shell. Energy 2015, 87, 86–94. [Google Scholar] [CrossRef]
- Wang, Y.; Wang, J.P.; Nan, G.H.; Wang, H.; Li, W.; Zhang, X.X. A novel method for the preparation of narrow-disperse nanoencapsulated phase change materials by phase inversion emulsification and suspension polymerization. Ind. Eng. Chem. Res. 2015, 54, 9307–9313. [Google Scholar] [CrossRef]
- Tang, X.; Li, W.; Zhang, X.; Shi, H. Fabrication and performances of microencapsulated n-alkanes with copolymers having n-octadecyl side chains as shells. Ind. Eng. Chem. Res. 2014, 53, 1678–1687. [Google Scholar] [CrossRef]
- Rehberg, C.E.; Fisher, C.H. Preparation and properties of the n-alkyl acrylates. J. Am. Chem. Soc. 1944, 66, 1203–1207. [Google Scholar] [CrossRef]
- Zhang, Z.; Zhang, X.; Shi, H.; Li, W.; Meng, J. Thermo-regulated sheath/core submicron fiber with poly(diethylene glycol hexadecyl ether acrylate) as a core. Text. Res. J. 2015, 86, 493–501. [Google Scholar] [CrossRef]
- Meng, J.Y.; Tang, X.F.; Zhang, Z.L.; Zhang, X.X.; Shi, H.F. Fabrication and properties of poly (polyethylene glycol octadecyl ether methacrylate). Thermochim. Acta 2013, 574, 116–120. [Google Scholar] [CrossRef]
- Jones, A.T. Polybutene-1-type ii crystalline form. J. Polym. Sci. Part B Polym. Lett. 1963, 1, 455–456. [Google Scholar] [CrossRef]
- Leon, A.; Gargallo, L.; Horta, A.; Radić, D. Synthesis and solution properties of comblike poly(mono-n-alkyl itaconates). I. Poly(monodecyl itaconate). J. Polym. Sci. Part B Polym. Phys. 1989, 27, 2337–2345. [Google Scholar] [CrossRef]
- Jordan, E.F., Jr.; Feldeisen, D.W.; Wrigley, A.N. Side-chain crystallinity. I. Heats of fusion and melting transitions on selected homopolymers having long side chains. J. Polym. Sci. Part A-1 Polym. Chem. 1971, 9, 1835–1851. [Google Scholar] [CrossRef]
- Hsieh, H.W.S.; Post, B.; Morawetz, H. A crystallographic study of polymers exhibiting side-chain crystallization. J. Polym. Sci. Polym. Phys. Ed. 1976, 14, 1241–1255. [Google Scholar] [CrossRef]
- Liu, L.; Wang, H.; Qi, X.; Kong, L.; Cui, J.; Zhang, X.; Shi, H. Shape-stabilized phase change materials based on poly (ethylene-graft-maleic anhydride)-g-alkyl alcohol comb-like polymers. Sol. Energy Mater. Sol. Cells 2015, 143, 21–28. [Google Scholar] [CrossRef]
- Wang, H.X.; Shi, H.F.; Qi, M.; Zhang, L.J.; Zhang, X.X.; Qi, L. Structure and thermal performance of poly(styrene-co-maleic anhydride)-g-alkyl alcohol comb-like copolymeric phase change materials. Thermochim. Acta 2013, 564, 34–38. [Google Scholar] [CrossRef]
- Sarı, A.; Alkan, C.; Biçer, A. Synthesis and thermal properties of polystyrene-graft-peg copolymers as new kinds of solid-solid phase change materials for thermal energy storage. Mater. Chem. Phys. 2012, 133, 87–94. [Google Scholar] [CrossRef]
- Shi, H.; Li, J.; Jin, Y.; Yin, Y.; Zhang, X. Preparation and properties of poly (vinyl alcohol)-g-octadecanol copolymers based solid–solid phase change materials. Mater. Chem. Phys. 2011, 131, 108–112. [Google Scholar] [CrossRef]
- Pei, D.F.; Chen, S.; Li, S.Q.; Shi, H.F.; Li, W.; Li, X.; Zhang, X.X. Fabrication and properties of poly(polyethylene glycol n-alkyl ether vinyl ether)s as polymeric phase change materials. Thermochim. Acta 2016, 633, 161–169. [Google Scholar] [CrossRef]
- Aoshima, S.; Higashimura, T. Living cationic polymerization of vinyl monomers by organoaluminum halides. 3. Living polymerization of isobutyl vinyl ether by ethyldichloroaluminum in the presence of ester additives. Macromolecules 1989, 22, 1009–1013. [Google Scholar] [CrossRef]
- Wan, D.; Liu, H.; Jin, M.; Pu, H.; Wang, G. Facile williamson etherification of hyperbranched polyglycerol and subtle core-dependent supramolecular guest selection of the resulting molecular nanocapsule. Eur. Polym. J. 2014, 55, 9–16. [Google Scholar] [CrossRef]
- Markova, D.; Christova, D.; Velichkova, R.M. Williamson alkylation approach to the synthesis of poly(alkyl vinyl ether) copolymers. C. R. Acad. Bulg. Sci. 2008, 61, 63–72. [Google Scholar]
- Smith, R.G.; Vanterpool, A.; Kulak, H.J. Dimethyl sulfoxide as a solvent in the williamson ether synthesis. Can. J. Chem. 1969, 47, 2015–2019. [Google Scholar] [CrossRef]
- Aoshima, S.; Oda, H.; Kobayashi, E. Synthesis of thermally-induced phase separating polymer with well-defined polymer structure by living cationic polymerization. I. Synthesis of poly(vinyl ether)s with oxyethylene units in the pendant and its phase separation behavior in aqueous solution. J. Polym. Sci. Part A Polym. Chem. 1992, 30, 2407–2413. [Google Scholar] [CrossRef]
- Seno, K.I.; Date, A.; Kanaoka, S.; Aoshima, S. Synthesis and solution properties of poly(vinyl ether)s with long alkyl chain, biphenyl, and cholesteryl pendants. J. Polym. Sci. Polym. Chem. 2008, 46, 4392–4406. [Google Scholar] [CrossRef]
- Aoshima, S.; Sugihara, S. Syntheses of stimuli-responsive block copolymers of vinyl ethers with side oxyethylene groups by living cationic polymerization and their thermosensitive physical gelation. J. Polym. Science Part A Polym. Chem. 2000, 38, 3962–3965. [Google Scholar] [CrossRef]
- Yang, K.; Wang, X.H.; Chen, X.D.; Zhang, M.Q. Conformational transition and its dynamics of naphthalene-labeled poly (octadecyl vinyl ether) chains in dichloromethane solution. Polymer 2011, 52, 3512–3517. [Google Scholar] [CrossRef]
- Aoshima, S.; Yoshida, T.; Kanazawa, A.; Kanaoka, S. New stage in living cationic polymerization: An array of effective lewis acid catalysts and fast living polymerization in seconds. J. Polym. Sci. Polym. Chem. 2007, 45, 1801–1813. [Google Scholar] [CrossRef]
- Shi, H.F.; Zhao, Y.; Zhang, X.Q.; Jiang, S.C.; Wang, D.J.; Han, C.C.; Xu, D.F. Phase transition and conformational variation of n-alkylated branched poly(ethyleneimine) comblike polymer. Macromolecules 2004, 37, 9933–9940. [Google Scholar] [CrossRef]
- Fujimori, A.; Saitoh, H.; Shibasaki, Y. Influence of molecular arrangement on the γ-ray-irradiation solid-state polymerization of 1-octadecyl vinyl ether with a characteristic polymorphism. J. Polym. Sci. Part A Polym. Chem. 2015, 37, 3845–3853. [Google Scholar] [CrossRef]
- Cao, R.R.; Li, X.; Chen, S.; Yuan, H.R.; Zhang, X.X. Fabrication and characterization of novel shape-stabilized synergistic phase change materials based on phda/go composites. Energy 2017, 138, 157–166. [Google Scholar] [CrossRef]
- Shi, H.F.; Zhao, Y.; Dong, X.; Zhou, Y.; Wang, D.J. Frustrated crystallisation and hierarchical self-assembly behaviour of comb-like polymers. Chem. Soc. Rev. 2013, 42, 2075–2099. [Google Scholar] [CrossRef] [PubMed]
- Wang, H.X.; Han, X.; Shi, H.F.; Zhang, X.X.; Qi, L.; Wang, D.J. Crystalline structure and phase behavior of n-alkylated polypyrrole comb-like polymers. Crystengcomm 2014, 16, 7090–7096. [Google Scholar] [CrossRef]















| Specimen | Tm (°C) | Tc (°C) | ΔHm (J/g) | ΔHc (J/g) | ΔT (°C) 5 | T5wt % (°C) 6 | ||
|---|---|---|---|---|---|---|---|---|
| Tmo 1 | Tmp 2 | Tco 3 | Tcp 4 | |||||
| C14H29Br | 1.2 | 8.6 | −8.2 | −11.1 | 138 | −136 | 9.4 | 174 |
| C14H30 | 3.6 | 11.7 | 3.8 | −2.8 | 210 | −209 | −0.2 | 130 |
| C14E1VE | 11.8 | 19.6 | 1.1 | −2.3 | 193 | −193 | 10.7 | 191 |
| C14E2VE | 15.6 | 24.2 | 2.5 | −0.4 | 199 | −197 | 13.1 | 214 |
| Specimen | Mn × 10−4 | Dispersity | ∆Hm (J/g) | Xc (%) | Nc |
|---|---|---|---|---|---|
| PC14E1VE | 0.7 | 1.18 | 95 | 33.5 | 6.8 |
| PC14E1VE | 2.5 | 1.40 | 89 | 31.4 | 6.3 |
| PC14E2VE | 0.6 | 1.14 | 93 | 32.8 | 7.6 |
| PC14E2VE | 2.3 | 1.55 | 83 | 29.3 | 6.8 |
| Specimen | Mn(GPC) × 10−4 | Dispersity | Tm (°C) | Tc (°C) | ΔHm (J/g) | ΔHc (J/g) | T5wt % (°C) | ||
|---|---|---|---|---|---|---|---|---|---|
| Tmo | Tmp | Tco | Tcp | ||||||
| PC14E1VE | 0.7 | 1.18 | 23.1 | 27.0 | 20.3 | 17.3 | 95 | −96 | 264 |
| PC14E1VE | 1.1 | 1.21 | 23.5 | 27.7 | 20.6 | 17.1 | 93 | −92 | 267 |
| PC14E1VE | 1.3 | 1.42 | 23.1 | 27.5 | 20.3 | 16.6 | 91 | −92 | 269 |
| PC14E1VE | 1.7 | 1.59 | 23.8 | 27.9 | 21.0 | 17.2 | 90 | −91 | 268 |
| PC14E1VE | 1.9 | 1.45 | 23.2 | 27.7 | 20.7 | 16.9 | 89 | −90 | 271 |
| PC14E1VE | 2.2 | 1.58 | 23.7 | 27.8 | 20.6 | 17.1 | 89 | −89 | 272 |
| PC14E1VE | 2.3 | 1.46 | 23.8 | 28.1 | 21.0 | 17.6 | 89 | −89 | 280 |
| PC14E1VE | 2.5 | 1.40 | 24.1 | 28.0 | 20.9 | 17.5 | 89 | −89 | 287 |
| Specimen | Mn(GPC) × 10−4 | Dispersity | Tm (°C) | Tc (°C) | ΔHm (J/g) | ΔHc (J/g) | T5wt % (°C) | ||
|---|---|---|---|---|---|---|---|---|---|
| Tmo | Tmp | Tco | Tcp | ||||||
| PC14E2VE | 0.6 | 1.14 | 20.6 | 24.0 | 18.6 | 15.6 | 93 | -94 | 228 |
| PC14E2VE | 0.9 | 1.31 | 20.7 | 24.3 | 18.4 | 15.6 | 86 | -86 | 230 |
| PC14E2VE | 1.0 | 1.19 | 20.8 | 24.2 | 18.9 | 15.9 | 85 | -85 | 247 |
| PC14E2VE | 1.2 | 1.13 | 19.5 | 24.0 | 18.9 | 15.3 | 85 | -85 | 247 |
| PC14E2VE | 1.4 | 1.14 | 20.1 | 24.4 | 18.9 | 16.3 | 84 | -84 | 254 |
| PC14E2VE | 1.7 | 1.38 | 20.2 | 24.4 | 18.9 | 16.2 | 83 | -83 | 279 |
| PC14E2VE | 2.0 | 1.49 | 20.7 | 24.6 | 19.0 | 16.3 | 83 | -83 | 284 |
| PC14E2VE | 2.3 | 1.55 | 20.7 | 24.4 | 19.0 | 16.3 | 83 | -83 | 286 |
© 2018 by the authors. Licensee MDPI, Basel, Switzerland. This article is an open access article distributed under the terms and conditions of the Creative Commons Attribution (CC BY) license (http://creativecommons.org/licenses/by/4.0/).
Share and Cite
Pei, D.; Chen, S.; Li, W.; Zhang, X. Poly(mono/diethylene glycol n-tetradecyl ether vinyl ether)s with Various Molecular Weights as Phase Change Materials. Polymers 2018, 10, 197. https://doi.org/10.3390/polym10020197
Pei D, Chen S, Li W, Zhang X. Poly(mono/diethylene glycol n-tetradecyl ether vinyl ether)s with Various Molecular Weights as Phase Change Materials. Polymers. 2018; 10(2):197. https://doi.org/10.3390/polym10020197
Chicago/Turabian StylePei, Dongfang, Sai Chen, Wei Li, and Xingxiang Zhang. 2018. "Poly(mono/diethylene glycol n-tetradecyl ether vinyl ether)s with Various Molecular Weights as Phase Change Materials" Polymers 10, no. 2: 197. https://doi.org/10.3390/polym10020197
APA StylePei, D., Chen, S., Li, W., & Zhang, X. (2018). Poly(mono/diethylene glycol n-tetradecyl ether vinyl ether)s with Various Molecular Weights as Phase Change Materials. Polymers, 10(2), 197. https://doi.org/10.3390/polym10020197

