Cell Uptake and Biocompatibility of Nanoparticles Prepared from Poly(benzyl malate) (Co)polymers Obtained through Chemical and Enzymatic Polymerization in Human HepaRG Cells and Primary Macrophages
Abstract
1. Introduction
2. Materials and Methods
2.1. Materials and Apparatus
2.2. Synthesis of Monomers and Polymers
2.3. Formulation of PMLABe-Based Nanoparticles
2.4. In Vitro Assays
3. Results and Discussion
3.1. Synthesis and Characterization of the Monomers.
3.2. Synthesis and Characterization of the Polymers
3.3. Preparation and Characterization of the Nanoparticles
3.4. In Vitro Assays
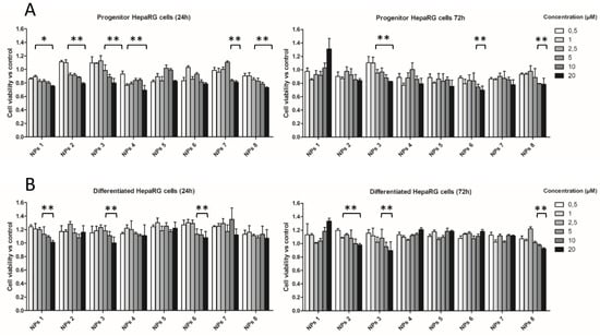
3.4.1. In Vitro Cytotoxicity Assays
3.4.2. In Vitro Cells Uptake Assays
4. Conclusions
Supplementary Materials
Author Contributions
Funding
Conflicts of Interest
References
- Strebhardt, K.; Ullrich, A. Paul Ehrlich’s Magic Bullet Concept: 100 Years of Progress. Nat. Rev. Cancer 2008, 8, 473–480. [Google Scholar] [CrossRef] [PubMed]
- Torchilin, V.P. Recent Advances with Liposomes as Pharmaceutical Carriers. Nat. Rev. Drug Discov. 2005, 4, 145–160. [Google Scholar] [CrossRef] [PubMed]
- Hoffman, A.S. The Origins and Evolution of “Controlled” Drug Delivery Systems. J. Control. Release 2008, 132, 153–163. [Google Scholar] [CrossRef] [PubMed]
- Liu, S.; Maheshwari, R.; Kiick, K.L. Polymer-Based Therapeutics. Macromolecules 2009, 42, 3–13. [Google Scholar] [CrossRef] [PubMed]
- Malam, Y.; Loizidou, M.; Seifalian, A.M. Liposomes and Nanoparticles: Nanosized Vehicles for Drug Delivery in Cancer. Trends Pharmacol. Sci. 2009, 30, 592–599. [Google Scholar] [CrossRef] [PubMed]
- Misra, R.; Acharya, S.; Sahoo, S.K. Cancer Nanotechnology: Application of Nanotechnology in Cancer Therapy. Drug Discov. Today 2010, 15, 842–850. [Google Scholar] [CrossRef] [PubMed]
- Etheridge, M.L.; Campbell, S.A.; Erdman, A.G.; Haynes, C.L.; Wolf, S.M.; McCullough, J. The Big Picture on Nanomedicine: The State of Investigational and Approved Nanomedicine Products. Nanomed. Nanotechnol. Biol. Med. 2013, 9, 1–14. [Google Scholar] [CrossRef] [PubMed]
- Jin, S.E.; Jin, H.E.; Hong, S.S. Targeted Delivery System of Nanobiomaterials in Anticancer Therapy: From Cells to Clinics. BioMed Res. Int. 2014, 2014, 814208. [Google Scholar] [CrossRef] [PubMed]
- Park, J.H.; Lee, S.; Kim, J.H.; Park, K.; Kim, K.; Kwon, I.C. Polymeric Nanomedicine for Cancer Therapy. Prog. Polym. Sci. 2008, 33, 113–137. [Google Scholar] [CrossRef]
- Kumari, A.; Yadav, S.K.; Yadav, S.C. Biodegradable Polymeric Nanoparticles Based Drug Delivery Systems. Colloids Surf. B Biointerfaces 2010, 75, 1–18. [Google Scholar] [CrossRef] [PubMed]
- Ulery, B.D.; Nair, L.S.; Laurencin, C.T. Biomedical Applications of Biodegradable Polymers. J. Polym. Sci. Part B Polym. Phys. 2011, 49, 832–864. [Google Scholar] [CrossRef] [PubMed]
- Tucker, B.S.; Sumerlin, B.S. Poly (N-(2-Hydroxypropyl) Methacrylamide)-Based Nanotherapeutics. Polym. Chem. 2014, 5, 1566–1572. [Google Scholar] [CrossRef]
- El-Say, K.M.; El-Sawy, H.S. Polymeric Nanoparticles: Promising Platform for Drug Delivery. Int. J. Pharm. 2017, 528, 675–691. [Google Scholar] [CrossRef] [PubMed]
- Deshmukh, A.S.; Chauhan, P.N.; Noolvi, M.N.; Chaturvedi, K.; Ganguly, K.; Shukla, S.S.; Nadagouda, M.N.; Aminabhavi, T.M. Polymeric Micelles: Basic Research to Clinical Practice. Int. J. Pharm. 2017, 532, 249–268. [Google Scholar] [CrossRef] [PubMed]
- Marguet, M.; Bonduelle, C.; Lecommandoux, S. Multicompartmentalized Polymeric Systems: Towards Biomimetic Cellular Structure and Function. Chem. Soc. Rev. 2012, 42, 512–529. [Google Scholar] [CrossRef] [PubMed]
- Kale, G.; Kijchavengkul, T.; Auras, R.; Rubino, M.; Selke, S.E.; Singh, S.P. Compostability of Bioplastic Packaging Materials: An Overview. Macromol. Biosci. 2007, 7, 255–277. [Google Scholar] [CrossRef] [PubMed]
- Seyednejad, H.; Ghassemi, A.H.; van Nostrum, C.F.; Vermoden, T.; Hennick, W.E. Functional aliphatic polyesters for biomedical and pharmaceutical applications. J. Control. Release 2011, 152, 168–176. [Google Scholar] [CrossRef] [PubMed]
- Sauer, A.; Kapelski, A.; Fliedel, C.; Dagorne, S.; Kol, M.; Okuda, J. Structurally Well-Defined Group 4 Metal Complexes as Initiators for the Ring-Opening Polymerization of Lactide Monomers. Dalton Trans. 2013, 42, 9007–9023. [Google Scholar] [CrossRef] [PubMed]
- Chaturvedi, D.; Mishra, S.; Tandon, P.; Portilla-Arias, J.A.; Muñoz-Guerra, S. Thermal Degradation and Theoretical Interpretation of Vibrational Spectra of Poly (β,l-Malic Acid). Polymer 2011, 52, 3118–3126. [Google Scholar] [CrossRef]
- Philip, S.; Keshavarz, T.; Roy, I. Polyhydroxyalkanoates: Biodegradable Polymers with a Range of Applications. J. Chem. Technol. Biotechnol. 2007, 82, 233–247. [Google Scholar] [CrossRef]
- Tanzi, M.C.; Verderio, P.; Lampugnani, M.G.; Resnati, M.; Dejana, E.; Sturani, E. Cytotoxicity of Some Catalysts Commonly Used in the Synthesis of Copolymers for Biomedical Use. J. Mater. Sci. Mater. Med. 1994, 5, 393–396. [Google Scholar] [CrossRef]
- Loyer, P.; Cammas-Marion, S. Natural and Synthetic Poly (Malic Acid)-Based Derivates: A Family of Versatile Biopolymers for the Design of Drug Nanocarriers. J. Drug Target. 2014, 22, 556–575. [Google Scholar] [CrossRef] [PubMed]
- Huang, Z.W.; Laurent, V.; Chetouani, G.; Ljubimova, J.Y.; Holler, E.; Benvegnu, T.; Loyer, P.; Cammas-Marion, S. New Functional Degradable and Bio-Compatible Nanoparticles Based on Poly (Malic Acid) Derivatives for Site-Specific Anti-Cancer Drug Delivery. Int. J. Pharm. 2012, 423, 84–92. [Google Scholar] [CrossRef] [PubMed]
- Jaffredo, C.G.; Guillaume, S.M. Benzyl β-Malolactonate Polymers: A Long Story with Recent Advances. Polym. Chem. 2014, 5, 4168–4194. [Google Scholar] [CrossRef]
- Coulembier, O.; Degée, P.; Cammas-Marion, S.; Guérin, P.; Dubois, P. New Amphiphilic Poly [(R,S)-β-Malic Acid-b-ε-Caprolactone] Diblock Copolymers by Combining Anionic and Coordination-Insertion Ring-Opening Polymerization. Macromolecules 2002, 35, 9896–9903. [Google Scholar] [CrossRef]
- Vert, M.; Lenz, R.W. Preparation and Properties of Poly-β-Malic Acid: A Functional Polyester of Potential Biomedical Importance. Polym. Prepr. 1979, 20, 608–611. [Google Scholar]
- Cammas, S.; Béar, M.M.; Moine, L.; Escalup, R.; Ponchel, G.; Kataoka, K.; Guérin, P. Polymers of Malic Acid and 3-Alkylmalic Acid as Synthetic PHAs in the Design of Biocompatible Hydrolyzable Devices. Int. J. Biol. Macromol. 1999, 25, 273–282. [Google Scholar] [CrossRef]
- Cammas-Marion, S.; Guérin, P. Design of Malolactonic Acid Esters with a Large Spectrum of Specified Pendant Groups in the Engineering of Biofunctional and Hydrolyzable Polyesters. Macromol. Symp. 2000, 153, 167–186. [Google Scholar] [CrossRef]
- Venkatraj, N.; Nanjan, M.J.; Loyer, P.; Chandrasekar, M.J.N.; Cammas-Marion, S. Poly (Malic Acid) Bearing Doxorubicin and N-Acetyl Galactosamine as a Site-Specific Prodrug for Targeting Hepatocellular Carcinoma. J. Biomater. Sci. Polym. Ed. 2017, 28, 1140–1157. [Google Scholar] [CrossRef] [PubMed]
- Loyer, P.; Bedhouche, W.; Huang, Z.W.; Cammas-Marion, S. Degradable and Biocompatible Nanoparticles Decorated with Cyclic RGD Peptide for Efficient Drug Delivery to Hepatoma Cells in Vitro. Int. J. Pharm. 2013, 454, 727–737. [Google Scholar] [CrossRef] [PubMed]
- Vene, E.; Jarnouen, K.; Huang, Z.W.; Bedhouche, W.; Montier, T.; Cammas-Marion, S.; Loyer, P. In Vitro Toxicity Evaluation and in Vivo Biodistribution of Polymeric Micelles Derived from Poly (Ethylene Glycol)-b-Poly(Benzyl Malate) Copolymer. Pharm. Nanotechnol. 2016, 4, 24–37. [Google Scholar] [CrossRef]
- Cammas, S.; Renard, I.; Langlois, V.; Guerin, P. Poly (β-Malic Acid): Obtaining High Molecular Weights by Improvement of the Synthesis Route. Polymer 1996, 37, 4215–4220. [Google Scholar] [CrossRef]
- Tetraethylammonium. Available online: https://www.drugbank.ca/drugs/DB08837 (accessed on 2 November 2018).
- Casas-Godoy, L.; Duquesne, S.; Bordes, F.; Sandoval, G.; Marty, A. Lipases: An Overview. In Lipases and Phospholipases; Humana Press: New York, NY, USA, 2012; pp. 3–30. [Google Scholar]
- Rauwerdink, A.; Kazlauskas, R.J. How the Same Core Catalytic Machinery Catalyzes 17 Different Reactions: The Serine-Histidine-Aspartate Catalytic Triad of α/β-Hydrolase Fold Enzymes. ACS Catal. 2015, 5, 6153–6176. [Google Scholar] [CrossRef] [PubMed]
- Shoda, S.; Uyama, H.; Kadokawa, J.; Kimura, S.; Kobayashi, S. Enzymes as Green Catalysts for Precision Macromolecular Synthesis. Chem. Rev. 2016, 116, 2307–2413. [Google Scholar] [CrossRef] [PubMed]
- MacDonald, R.T.; Pulapura, S.K.; Svirkin, Y.Y.; Gross, R.A.; Kaplan, D.L.; Akkara, J.; Swift, G.; Wolk, S. Enzyme-Catalyzed Epsilon.-Caprolactone Ring-Opening Polymerization. Macromolecules 1995, 28, 73–78. [Google Scholar] [CrossRef]
- Henderson, L.A.; Svirkin, Y.Y.; Gross, R.A.; Kaplan, D.L.; Swift, G. Enzyme-Catalyzed Polymerizations of ε-Caprolactone: Effects of Initiator on Product Structure, Propagation Kinetics, and Mechanism. Macromolecules 1996, 29, 7759–7766. [Google Scholar] [CrossRef]
- Johnson, P.M.; Kundu, S.; Beers, K.L. Modeling Enzymatic Kinetic Pathways for Ring-Opening Lactone Polymerization. Biomacromolecules 2011, 12, 3337–3343. [Google Scholar] [CrossRef] [PubMed]
- Kobayashi, S. Enzymatic Polymerization: A New Method of Polymer Synthesis. J. Polym. Sci. Part A Polym. Chem. 1999, 37, 3041–3056. [Google Scholar] [CrossRef]
- Kobayashi, S. Green Polymer Chemistry: New Methods of Polymer Synthesis Using Renewable Starting Materials. Struct. Chem. 2016, 28, 461–474. [Google Scholar] [CrossRef]
- Albertsson, A.C.; Srivastava, R.K. Recent Developments in Enzyme-Catalyzed Ring-Opening Polymerization. Adv. Drug Deliv. Rev. 2008, 60, 1077–1093. [Google Scholar] [CrossRef] [PubMed]
- Casajus, H.; Tranchimand, S.; Wolbert, D.; Nugier-Chauvin, C.; Cammas-Marion, S. Optimization of Lipase-Catalyzed Polymerization of Benzyl Malolactonate through a Design of Experiment Approach. J. Appl. Polym. Sci. 2017, 134, 44604. [Google Scholar] [CrossRef]
- Thioune, O.; Fessi, H.; Devissaguet, J.P.; Puisieux, F. Preparation of Pseudolatex by Nanoprecipitation: Influence of the Solvent Nature on Intrinsic Viscosity and Interaction Constant. Int. J. Pharm. 1997, 146, 233–238. [Google Scholar] [CrossRef]
- Martínez Rivas, C.J.; Tarhini, M.; Badri, W.; Miladi, K.; Greige-Gerges, H.; Nazari, Q.A.; Galindo Rodríguez, S.A.; Román, R.Á.; Fessi, H.; Elaissari, A. Nanoprecipitation Process: From Encapsulation to Drug Delivery. Int. J. Pharm. 2017, 532, 66–81. [Google Scholar] [CrossRef] [PubMed]
- Laurent, V.; Glaise, D.; Nübel, T.; Gilot, D.; Corlu, A.; Loyer, P. Highly Efficient SiRNA and Gene Transfer into Hepatocyte-Like HepaRG Cells and Primary Human Hepatocytes: New Means for Drug Metabolism and Toxicity Studies. In Cytochrome P450 Protocols; Phillips, I.R., Shephard, E.A., Ortiz de Montellano, P.R., Eds.; Humana Press: Totowa, NJ, USA, 2013; Volume 987, pp. 295–314. [Google Scholar]
- Vène, E.; Barouti, G.; Jarnouen, K.; Gicquel, T.; Rauch, C.; Ribault, C.; Guillaume, S.M.; Cammas-Marion, S.; Loyer, P. Opsonisation of nanoparticles prepared from poly (β-hydroxybutyrate) and poly(trimethylene carbonate)-b-poly(malic acid) amphiphilic diblock copolymers: Impact on the in vitro cell uptake by primary human macrophages and HepaRG hepatoma cells. Int. J. Pharm. 2016, 13, 438–452. [Google Scholar] [CrossRef] [PubMed]
- Matsumura, S. Enzymatic Synthesis of Polyesters via Ring-Opening Polymerization. In Enzyme-Catalyzed Synthesis of Polymers; Kobayashi, S., Ritter, H., Kaplan, D., Eds.; Springer: Berlin/Heidelberg, Germany, 2005; Volume 194, pp. 95–132. [Google Scholar]
- Uyama, H.; Takeya, K.; Kobayashi, S. Synthesis of Polyesters by Enzymatic Ring-Opening Copolymerization Using Lipase Catalyst. Proc. Jpn. Acad. Ser. B 1993, 69, 203–207. [Google Scholar] [CrossRef]
- Kikuchi, H.; Uyama, H.; Kobayashi, S. Lipase-Catalyzed Ring-Opening Polymerization of Substituted Lactones. Polym. J. 2002, 34, 835–840. [Google Scholar] [CrossRef]
- Matsumura, S.; Beppu, H.; Nakamura, K.; Osanai, S.; Toshima, K. Preparation of Poly (β-Malic Acid) by Enzymatic Ring-Opening Polymerization of Benzyl β-Malolactonate. Chem. Lett. 1996, 25, 795–796. [Google Scholar] [CrossRef]
- Panova, A.A.; Taktak, S.; Randriamahefa, S.; Cammas-Marion, S.; Guerin, P.; Kaplan, D.L. Polymerization of Propyl Malolactonate in the Presence of Candida Rugosa Lipase. Biomacromolecules 2003, 4, 19–27. [Google Scholar] [CrossRef] [PubMed]
- Guerin, P.; Francillette, J.; Braud, C.; Vert, M. Benzyl esters of optically active malic acid stereocopolymers as obtained by ring-opening polymerization of (R)-(+) and (S)-(-)-benzyl malolactonates. Macromol. Symp. 1986, 6, 305–314. [Google Scholar] [CrossRef]
- Cerec, V.; Glaise, D.; Garnier, D.; Morosan, S.; Turlin, B.; Drenou, B.; Gripon, P.; Kremsdorf, D.; Guguen-Guillouzo, C.; Corlu, A. Transdifferentiation of hepatocyte-like cells from the human hepatoma HepaRG cell line through bipotent progenitor. Hepatology 2007, 45, 957–967. [Google Scholar] [CrossRef] [PubMed]
- Aninat, C.; Piton, A.; Glaise, D.; Le Charpentier, T.; Langouet, S.; Morel, F.; Guguen-Guillouzo, C.; Guillouzo, A. Expression of cytochrome P450, conjugating enzymes and nuclear receptors in human hepatoma HepaRG cells. Drug Metab. Dispos. 2006, 34, 75–83. [Google Scholar] [CrossRef] [PubMed]
- Quesnot, N.; Bucher, S.; Gade, C.; Vlach, M.; Vène, E.; Valenca, S.; Gicquel, T.; Holst, H.; Robin, M.-A.; Loyer, P. Production of chlorzoxazone glucuronides via cytochrome P4502E1 dependent and independent pathways in human hepatocytes. Arch. Toxicol. 2018, 92, 3077–3091. [Google Scholar] [CrossRef] [PubMed]
- Jossé, R.; Aninat, C.; Glaise, D.; Dumont, J.; Fessard, V.; Morel, F.; Poul, JM.; Guguen-Guillouzo, C.; Guillouzo, A. Long-term functional stability of HepaRG hepatocytes and use for chronic toxicity and genotoxicity studies. Drug Metab. Dispos. 2008, 36, 1111–1118. [Google Scholar] [CrossRef] [PubMed]
- Dumont, J.; Jossé, R.; Lambert, C.; Anthérieu, S.; Laurent, V.; Loyer, P.; Robin, M.-A.; Guillouzo, A. Preferential induction of the AhR gene battery in HepaRG cells after a single or repeated exposure to heterocyclic aromatic amines. Toxicol. Appl. Pharmacol. 2010, 249, 91–100. [Google Scholar] [CrossRef] [PubMed]
- Quesnot, N.; Rondel, K.; Martinais, S.; Audebert, M.; Glaise, D.; Morel, F.; Loyer, P.; Robin, M.-A. Evaluation of genotoxicity using automated detection of gammaH2AX in metabolically competent HepaRG cells. Mutagenesis 2016, 31, 43–50. [Google Scholar] [PubMed]
- Barouti, G.; Jarnouen, K.; Cammas-Marion, S.; Loyer, P.; Guillaume, S. Polyhydroxylakanoate-based diblock copolymers: Potential biocompatible nanovectors. Polym. Chem. 2015, 6, 5414–5429. [Google Scholar] [CrossRef]







| Polymers | Mtheoritical g/mol | a g/mol | Đ a | [α]D b |
|---|---|---|---|---|
| RS-PMLABe, P1 | 30,000 | 14,850 | 1.60 | 0 |
| S-PMLABe, P2 | 30,000 | n.d. | n.d. | −10.7 |
| MPEGa g/mol | MPMLABeTheo g/mol | MPMLABe NMR g/mol b | c g/mol | Đ c | |
|---|---|---|---|---|---|
| PEG45-b-PMLABe73, P3 | 2000 | 15,000 | 15,040 | 9600 | 1.30 |
| Polymer | Toluene | a g/mol | Đ a | [a]D c |
|---|---|---|---|---|
| RS-PMLABe, P4 | No | 12,250 | 1.40 | 0 |
| RS-PMLABe, P5 | Yes | 3850 | 1.50 | −3 |
| S-PMLABe, P6 | Yes | 2000 | 1.50 | −11 |
| R-PMLABe, P7 | Yes | 2300 | 1.40 | +18 |
| PEG17-b-PMLABe45, P8 | Yes | 9650 | 1.50 | - |
| Entry | Polymers | Way of Synthesis | Dh nm | PDI | DiR Encapsulation Rate % |
|---|---|---|---|---|---|
| NPs 1 | RS-PMLABe, P1 | Chemical | 195 | 0.19 | 61 |
| NPs 2 | S-PMLABe, P2 | Chemical | 170 | 0.26 | Quantitative |
| NPs 3 | PEG45-b-PMLABe73, P3 | Chemical | 83 | 0.22 | Quantitative |
| NPs 4 | RS-PMLABe, P4 | Enzymatic | 200 | 0.13 | 45 |
| NPs 5 | RS-PMLABe, P5 | Enzymatic | 125 | 0.19 | 83 |
| NPs 6 | S-PMLABe, P6 | Enzymatic | 145 | 0.19 | 95 |
| NPs 7 | R-PMLABe, P7 | Enzymatic | 130 | 0.16 | 94 |
| NPs 8 | PEG17-b-PMLABe45, P8 | Enzymatic | 185 | 0.24 | Quantitative |
| Entry | Polymers | Way of Synthesis | Dh nm | PDI |
|---|---|---|---|---|
| NPs 1 | RS-PMLABe, P1 | Chemical | 72 | 0.18 |
| NPs 2 | S-PMLABe, P2 | Chemical | 122 | 0.32 |
| NPs 3 | PEG45-b-PMLABe73, P3 | Chemical | 51 | 0.16 |
| NPs 4 | RS-PMLABe, P4 | Enzymatic | 113 | 0.28 |
| NPs 5 | RS-PMLABe, P5 | Enzymatic | 96 | 0.17 |
| NPs 6 | S-PMLABe, P6 | Enzymatic | 121 | 0.19 |
| NPs 7 | R-PMLABe, P7 | Enzymatic | 107 | 0.18 |
| NPs 8 | PEG17-b-PMLABe45, P8 | Enzymatic | 83 | 0.17 |
© 2018 by the authors. Licensee MDPI, Basel, Switzerland. This article is an open access article distributed under the terms and conditions of the Creative Commons Attribution (CC BY) license (http://creativecommons.org/licenses/by/4.0/).
Share and Cite
Casajus, H.; Saba, S.; Vlach, M.; Vène, E.; Ribault, C.; Tranchimand, S.; Nugier-Chauvin, C.; Dubreucq, E.; Loyer, P.; Cammas-Marion, S.; et al. Cell Uptake and Biocompatibility of Nanoparticles Prepared from Poly(benzyl malate) (Co)polymers Obtained through Chemical and Enzymatic Polymerization in Human HepaRG Cells and Primary Macrophages. Polymers 2018, 10, 1244. https://doi.org/10.3390/polym10111244
Casajus H, Saba S, Vlach M, Vène E, Ribault C, Tranchimand S, Nugier-Chauvin C, Dubreucq E, Loyer P, Cammas-Marion S, et al. Cell Uptake and Biocompatibility of Nanoparticles Prepared from Poly(benzyl malate) (Co)polymers Obtained through Chemical and Enzymatic Polymerization in Human HepaRG Cells and Primary Macrophages. Polymers. 2018; 10(11):1244. https://doi.org/10.3390/polym10111244
Chicago/Turabian StyleCasajus, Hubert, Saad Saba, Manuel Vlach, Elise Vène, Catherine Ribault, Sylvain Tranchimand, Caroline Nugier-Chauvin, Eric Dubreucq, Pascal Loyer, Sandrine Cammas-Marion, and et al. 2018. "Cell Uptake and Biocompatibility of Nanoparticles Prepared from Poly(benzyl malate) (Co)polymers Obtained through Chemical and Enzymatic Polymerization in Human HepaRG Cells and Primary Macrophages" Polymers 10, no. 11: 1244. https://doi.org/10.3390/polym10111244
APA StyleCasajus, H., Saba, S., Vlach, M., Vène, E., Ribault, C., Tranchimand, S., Nugier-Chauvin, C., Dubreucq, E., Loyer, P., Cammas-Marion, S., & Lepareur, N. (2018). Cell Uptake and Biocompatibility of Nanoparticles Prepared from Poly(benzyl malate) (Co)polymers Obtained through Chemical and Enzymatic Polymerization in Human HepaRG Cells and Primary Macrophages. Polymers, 10(11), 1244. https://doi.org/10.3390/polym10111244

