Polyaspartamide Functionalized Catechol-Based Hydrogels Embedded with Silver Nanoparticles for Antimicrobial Properties
Abstract
1. Introduction
2. Materials and Methods
2.1. Materials and Characterization
2.2. The Polysuccinimide (PSI) Synthesis
2.3. The Poly(AspAm(DOPA/EA)) Synthesis
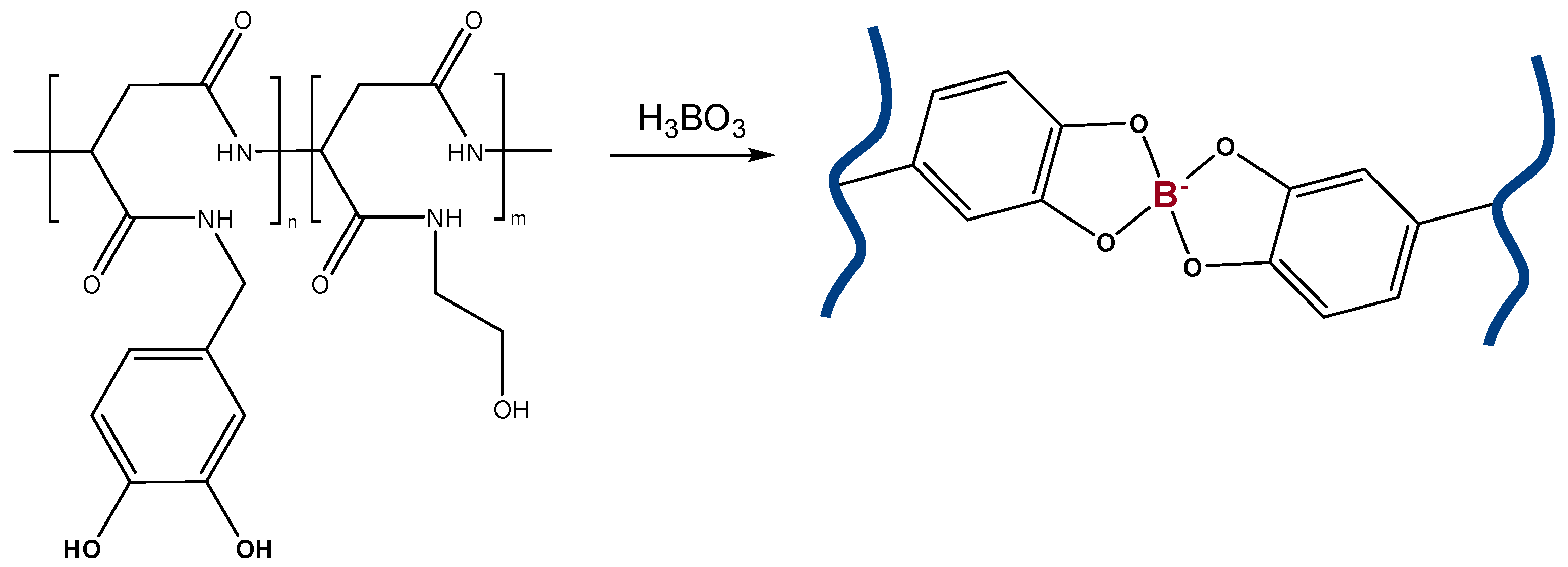
2.4. Hydrogel Synthesis
2.5. Incorporation of AgNPs
2.6. Silver Loading
2.7. Release Kinetics
2.8. Biocompatibility Test
2.9. Antimicrobial Tests: MIC and MBC Determination
3. Results and Discussion
3.1. Synthesis of the Hydrogels
3.2. Preparation of the Hydrogel/Ag Composite and Characterization
3.3. Release Kinetics
3.4. Biocompatibility
3.5. Antimicrobial Properties
4. Conclusions
Supplementary Materials
Author Contributions
Funding
Acknowledgments
Conflicts of Interest
References
- Dickinson, G.M.; Bisno, A.L. Infections associated with indwelling devices: Infections related to extravascular devices. Antimicrob. Agents Chemother. 1989, 33, 602. [Google Scholar] [CrossRef] [PubMed]
- Coad, B.R.; Griesser, H.J.; Peleg, A.Y.; Traven, A. Anti-infective Surface Coatings: Design and Therapeutic Promise against Device-Associated Infections. PLoS Pathog. 2016, 12, e1005598. [Google Scholar] [CrossRef] [PubMed]
- Raphel, J.; Holodniy, M.; Goodman, S.B.; Heilshorn, S.C. Multifunctional coatings to simultaneously promote osseointegration and prevent infection of orthopaedic implants. Biomaterials 2016, 84, 301–314. [Google Scholar] [CrossRef] [PubMed]
- Knetsch, M.L.W.; Koole, L.H. New Strategies in the Development of Antimicrobial Coatings: The Example of Increasing Usage of Silver and Silver Nanoparticles. Polymers 2011, 3, 340–366. [Google Scholar] [CrossRef]
- Ho, C.H.; Odermatt, E.K.; Berndt, I.; Tiller, J.C. Long-term active antimicrobial coatings for surgical sutures based on silver nanoparticles and hyperbranched polylysine. J. Biomater. Sci. Polym. Ed. 2013, 24, 1589–1600. [Google Scholar] [CrossRef] [PubMed]
- Barillo, D.J.; Marx, D.E. Silver in medicine: A brief history BC 335 to present. Burns 2014, 40, S3–S8. [Google Scholar] [CrossRef] [PubMed]
- Silver, S.; Phung, L.T.; Silver, G. Silver as biocides in burn and wound dressings and bacterial resistance to silver compounds. J. Ind. Microbiol. Biotechnol. 2006, 33, 627–634. [Google Scholar] [CrossRef] [PubMed]
- Chaloupka, K.; Malam, Y.; Seifalian, A.M. Nanosilver as a new generation of nanoproduct in biomedical applications. Trends Biotechnol. 2010, 28, 580–588. [Google Scholar] [CrossRef] [PubMed]
- Zheng, K.; Setyawati, M.I.; Leong, D.T.; Xie, J. Antimicrobial silver nanomaterials. Coord. Chem. Rev. 2018, 357, 1–17. [Google Scholar] [CrossRef]
- Chernousova, S.; Epple, M. Silver as antibacterial agent: Ion, nanoparticle, and metal. Angew. Chem. Int. Ed. 2013, 52, 1636–1653. [Google Scholar] [CrossRef] [PubMed]
- Guo, L.; Yuan, W.; Lu, Z.; Li, C.M. Polymer/nanosilver composite coatings for antibacterial applications. Colloids Surf. A Physicochem. Eng. Asp. 2013, 439, 69–83. [Google Scholar] [CrossRef]
- Williams, D.F. The Williams Dictionary of Biomaterials; Liverpool University Press: Liverpool, UK, 1999. [Google Scholar]
- Ahmed, E.M. Hydrogel: Preparation, characterization, and applications: A review. J. Adv. Res. 2015, 6, 105–121. [Google Scholar] [CrossRef] [PubMed]
- Hoffman, A.S. Hydrogels for Biomedical Applications. Ann. N. Y. Acad. Sci. 2006, 944, 62–73. [Google Scholar] [CrossRef]
- Ratner, B.D.; Hoffman, A.S. Synthetic Hydrogels for Biomedical Applications. In Hydrogels for Medical and Related Applications; American Chemical Society: Washington, DC, USA, 1976; Volume 31, pp. 1–36. [Google Scholar]
- González-Díaz, E.; Varghese, S. Hydrogels as Extracellular Matrix Analogs. Gels 2016, 2, 20–38. [Google Scholar] [CrossRef]
- Rizwan, M.; Yahya, R.; Hassan, A.; Yar, M.; Azzahari, A.D.; Selvanathan, V.; Sonsudin, F.; Abouloula, C.N. pH sensitive hydrogels in drug delivery: Brief history, properties, swelling, and release mechanism, material selection and applications. Polymers 2017, 9, 137. [Google Scholar] [CrossRef]
- Schmidt, J.J.; Rowley, J.; Kong, H.J. Hydrogels used for cell-based drug delivery. J. Biomed. Mater. Res. Part A 2008, 87A, 1113–1122. [Google Scholar] [CrossRef] [PubMed]
- Ngo, B.K.D.; Grunlan, M.A. Protein Resistant Polymeric Biomaterials. ACS Macro Lett. 2017, 6, 992–1000. [Google Scholar] [CrossRef]
- Yan, G.-P.; Liu, M.-L.; Li, L.Y. Polyaspartamide Gadolinium Complexes Containing Sulfadiazine Groups as Potential Macromolecular MRI Contrast Agents. Bioconjugate Chem. 2005, 16, 967–971. [Google Scholar] [CrossRef] [PubMed]
- Scialabba, C.; Rocco, F.; Licciardi, M.; Pitarresi, G.; Ceruti, M.; Giammona, G. Amphiphilic polyaspartamide copolymer-based micelles for rivastigmine delivery to neuronal cells. Drug Deliv. 2012, 19, 307–316. [Google Scholar] [CrossRef] [PubMed]
- Lin, J.-J.; Lin, W.-C.; Li, S.-D.; Lin, C.-Y.; Hsu, S.-H. Evaluation of the Antibacterial Activity and Biocompatibility for Silver Nanoparticles Immobilized on Nano Silicate Platelets. ACS Appl. Mater. Interface 2013, 5, 433–443. [Google Scholar] [CrossRef] [PubMed]
- Baron, R.; Zayats, M.; Willner, I. Dopamine-, L-DOPA-, adrenaline-, and noradrenaline-induced growth of Au nanoparticles: Assays for the detection of neurotransmitters and of tyrosinase activity. Anal. Chem. 2005, 77, 1566–1571. [Google Scholar] [CrossRef] [PubMed]
- Black, K.C.L.; Liu, Z.; Messersmith, P.B. Catechol Redox Induced Formation of Metal Core−Polymer Shell Nanoparticles. Chem. Mater. 2011, 23, 1130–1135. [Google Scholar] [CrossRef] [PubMed]
- Fullenkamp, D.E.; Rivera, J.G.; Gong, Y.K.; Lau, K.H.; He, L.; Varshney, R.; Messersmith, P.B. Mussel-inspired silver-releasing antibacterial hydrogels. Biomaterials 2012, 33, 3783–3791. [Google Scholar] [CrossRef] [PubMed]
- Huang, X.; Bao, X.; Liu, Y.; Wang, Z.; Hu, Q. Catechol-Functional Chitosan/Silver Nanoparticle Composite as a Highly Effective Antibacterial Agent with Species-Specific Mechanisms. Sci. Rep. 2017, 7, 1860. [Google Scholar] [CrossRef] [PubMed]
- Wang, B.; Jeon, Y.S.; Park, H.S.; Kim, J.-H. Self-healable mussel-mimetic nanocomposite hydrogel based on catechol-containing polyaspartamide and graphene oxide. Mater. Sci. Eng. C 2016, 69, 160–170. [Google Scholar] [CrossRef] [PubMed]
- Wang, B.; Jeon, Y.; Park, H.; Kim, Y.; Kim, J. Mussel-mimetic self-healing polyaspartamide derivative gel via boron-catechol interactions. eXPRESS Polym. Lett. 2015, 9, 799–808. [Google Scholar] [CrossRef]
- Neri, P.; Antoni, G.; Benvenuti, F.; Cocola, F.; Gazzei, G. Synthesis of α;β-poly [(2-hydroxyethyl)-DL-aspartamide], a newplasma expander. J. Med. Chem. 1973, 16, 893–897. [Google Scholar] [CrossRef] [PubMed]
- Tenover, F.C. Antimicrobial Susceptibility Testing Methods for Bacterial Pathogens. In Antimicrobial Drug Resistance: Clinical and Epidemiological Aspects; Mayers, D.L., Ed.; Humana Press: Totowa, NJ, USA, 2009; pp. 1151–1159. [Google Scholar]
- Vatankhah-Varnoosfaderani, M.; Hashmi, S.; GhavamiNejad, A.; Stadler, F.J. Rapid self-healing and triple stimuli responsiveness of a supramolecular polymer gel based on boron-catechol interactions in a novel water-soluble mussel-inspired copolymer. Polym. Chem. 2014, 5, 512–523. [Google Scholar] [CrossRef]
- Kan, Y.; Danner, E.W.; Israelachvili, J.N.; Chen, Y.; Waite, J.H. Boronate Complex Formation with Dopa Containing Mussel Adhesive Protein Retards pH-Induced Oxidation and Enables Adhesion to Mica. PLoS ONE 2014, 9, e108869. [Google Scholar] [CrossRef] [PubMed]
- Begum, N.A.; Mondal, S.; Basu, S.; Laskar, R.A.; Mandal, D. Biogenic synthesis of Au and Ag nanoparticles using aqueous solutions of Black Tea leaf extracts. Colloids Surf. B Biointerfaces 2009, 71, 113–118. [Google Scholar] [CrossRef] [PubMed]
- Quaresma, P.; Soares, L.; Contar, L.; Miranda, A.; Osorio, I.; Carvalho, P.A.; Franco, R.; Pereira, E. Green photocatalytic synthesis of stable Au and Ag nanoparticles. Green Chem. 2009, 11, 1889–1893. [Google Scholar] [CrossRef]
- Dhand, V.; Soumya, L.; Bharadwaj, S.; Chakra, S.; Bhatt, D.; Sreedhar, B. Green synthesis of silver nanoparticles using Coffea arabica seed extract and its antibacterial activity. Mater. Sci. Eng. C 2016, 58, 36–43. [Google Scholar] [CrossRef] [PubMed]
- Wang, B.; Lee Jae, S.; Jeon, Y.-S.; Kim, J.; Kim, J.-H. Hydrophobicity-enhanced adhesion of novel biomimetic biocompatible polyaspartamide derivative glues. Polym. Int. 2018, 67, 557–565. [Google Scholar] [CrossRef]
- Kikuchi, I.S.; Cardoso Galante, R.S.; Dua, K.; Malipeddi, V.R.; Awasthi, R.; Ghisleni, D.D.; de Jesus Andreoli Pinto, T. Hydrogel Based Drug Delivery Systems: A Review with Special Emphasis on Challenges Associated with Decontamination of Hydrogels and Biomaterials. Curr. Drug. Deliv. 2017, 14, 917–925. [Google Scholar] [CrossRef] [PubMed]
- Hoare, T.R.; Kohane, D.S. Hydrogels in drug delivery: Progress and challenges. Polymer 2008, 49, 1993–2007. [Google Scholar] [CrossRef]
- Murali Mohan, Y.; Vimala, K.; Thomas, V.; Varaprasad, K.; Sreedhar, B.; Bajpai, S.K.; Mohana Raju, K. Controlling of silver nanoparticles structure by hydrogel networks. J. Colloid Interface Sci. 2010, 342, 73–82. [Google Scholar] [CrossRef] [PubMed]
- Garcia-Astrain, C.; Chen, C.; Buron, M.; Palomares, T.; Eceiza, A.; Fruk, L.; Corcuera, M.A.; Gabilondo, N. Biocompatible hydrogel nanocomposite with covalently embedded silver nanoparticles. Biomacromolecules 2015, 16, 1301–1310. [Google Scholar] [CrossRef] [PubMed]
- Varaprasad, K.; Mohan, Y.M.; Ravindra, S.; Reddy, N.N.; Vimala, K.; Monika, K.; Sreedhar, B.; Raju, K.M. Hydrogel-silver nanoparticle composites: A new generation of antimicrobials. J. Appl. Polym. Sci. 2010, 115, 1199–1207. [Google Scholar] [CrossRef]
- Rao, K.M.; Kumar, A.; Krishna Rao, K.S.V.; Haider, A.; Han, S.S. Biodegradable Tragacanth Gum Based Silver Nanocomposite Hydrogels and Their Antibacterial Evaluation. J. Polym. Environ. 2018, 26, 778–788. [Google Scholar] [CrossRef]
- Zhang, X.-F.; Liu, Z.-G.; Shen, W.; Gurunathan, S. Silver Nanoparticles: Synthesis, Characterization, Properties, Applications, and Therapeutic Approaches. Int. J. Mol. Sci. 2016, 17, 1534. [Google Scholar] [CrossRef] [PubMed]
- Muzzalupo, R.; Iemma, F.; Picci, N.; Pitarresi, G.; Cavallaro, G.; Giammona, G. Novel water-swellable beads based on an acryloylated polyaspartamide. Colloid Polym. Sci. 2001, 279, 688–695. [Google Scholar] [CrossRef]
- Jyoti, K.; Baunthiyal, M.; Singh, A. Characterization of silver nanoparticles synthesized using Urtica dioica Linn. leaves and their synergistic effects with antibiotics. J. Radiat. Res. Appl. Sci. 2016, 9, 217–227. [Google Scholar] [CrossRef]
- Prakash, P.; Gnanaprakasam, P.; Emmanuel, R.; Arokiyaraj, S.; Saravanan, M. Green synthesis of silver nanoparticles from leaf extract of Mimusops elengi, Linn. for enhanced antibacterial activity against multi drug resistant clinical isolates. Colloids Surf. B Biointerfaces 2013, 108, 255–259. [Google Scholar] [CrossRef] [PubMed]
- Ngoy, J.M.; Daramola, M.O.; Chitsiga, T.L.; Falcon, R.; Wagner, N. CO2 adsorption using water-soluble polyaspartamide. SAJCE 2017, 23, 139–144. [Google Scholar] [CrossRef]
- Martín, C.; Ronda, J.C.; Cádiz, V. Boron-containing novolac resins as flame retardant materials. Polym. Degrad. Stab. 2006, 91, 747–754. [Google Scholar] [CrossRef]
- Visakh, P.; Yoshihiko, A. Flame Retardants: Polymer Blends, Composites and Nanocomposites; Springer: Berlin, Germany, 2015; p. 287. [Google Scholar]
- Paciorek-Sadowska, J.; Czupryński, B.; Liszkowska, J. Boron-containing fire retardant rigid polyurethane–polyisocyanurate foams: Part I—Polyol precursors based on boric acid and di(hydroxymethyl)urea derivatives. J. Fire Sci. 2014, 33, 37–47. [Google Scholar] [CrossRef]
- Ma, Y.; Jiang, X.; Zhuo, R. Biodegradable and thermosensitive polyaspartamide derivatives bearing aromatic structures. Mater. Lett. 2014, 121, 78–80. [Google Scholar] [CrossRef]
- Truong, V.; Blakey, I.; Whittaker, A.K. Hydrophilic and amphiphilic polyethylene glycol-based hydrogels with tunable degradability prepared by “click” chemistry. Biomacromolecules 2012, 13, 4012–4021. [Google Scholar] [CrossRef] [PubMed]
- Giammona, G.; Pitarresi, G.; Cavallaro, G.; Buscemi, S.; Saiano, F. New biodegradable hydrogels based on a photocrosslinkable modified polyaspartamide: Synthesis and characterization. Biochim. Biophys. Acta 1999, 1428, 29–38. [Google Scholar] [CrossRef]
- Suriano, F.; Coulembier, O.; Hedrick, J.L.; Dubois, P. Functionalized cyclic carbonates: From synthesis and metal-free catalyzed ring-opening polymerization to applications. Polym. Chem. 2011, 2, 528–533. [Google Scholar] [CrossRef]
- Gopferich, A. Mechanisms of polymer degradation and erosion. Biomaterials 1996, 17, 103–114. [Google Scholar] [CrossRef]
- María, V.-R.; Francisco, B.; Daniel, A. Mesoporous Materials for Drug Delivery. Angew. Chem. Int. Ed. 2007, 46, 7548–7558. [Google Scholar] [CrossRef]
- Seo, K.; Kim, D. pH-dependent hemolysis of biocompatible imidazole-grafted polyaspartamide derivatives. Acta Biomater. 2010, 6, 2157–2164. [Google Scholar] [CrossRef] [PubMed]
- Wang, B.; Jeon, Y.S.; Bhang, S.H.; Kim, J.H. Bioinspired dopamine-conjugated polyaspartamide as a novel and versatile adhesive material. Express Polym. Lett. 2017, 11, 601–610. [Google Scholar] [CrossRef]
- Składanowski, M.; Golinska, P.; Rudnicka, K.; Dahm, H.; Rai, M. Evaluation of cytotoxicity, immune compatibility and antibacterial activity of biogenic silver nanoparticles. Med. Microbiol. Immunol. 2016, 205, 603–613. [Google Scholar] [CrossRef] [PubMed]
- Chen, M.; Yang, Z.; Wu, H.; Pan, X.; Xie, X.; Wu, C. Antimicrobial activity and the mechanism of silver nanoparticle thermosensitive gel. Int. J. Nanomed. 2011, 6, 2873–2877. [Google Scholar] [CrossRef]
- Egger, S.; Lehmann, R.P.; Height, M.J.; Loessner, M.J.; Schuppler, M. Antimicrobial properties of a novel silver-silica nanocomposite material. Appl. Environ. Microbiol. 2009, 75, 2973–2976. [Google Scholar] [CrossRef] [PubMed]
- Dakal, T.C.; Kumar, A.; Majumdar, R.S.; Yadav, V. Mechanistic Basis of Antimicrobial Actions of Silver Nanoparticles. Front. Microbiol. 2016, 7, 1831. [Google Scholar] [CrossRef] [PubMed]
















| Sample | Ag Initial (%) | Ag Incorporated (W%) |
|---|---|---|
| Gel | 0 | 0 |
| A | 8% | 2.53% |
| B | 12% | 3.12% |
| Sample | Crystallite Size (nm) |
|---|---|
| A | 18.75 |
| B | 17.97 |
| Bacterial Strain | A (mg/mL) | B (mg/mL) | ||
|---|---|---|---|---|
| MIC | MBC | MIC | MBC | |
| E. coli | 3.42 | 3.6 | 2.66 | 2.78 |
| S. aureus | 4.32 | 4.64 | 4.24 | 4.44 |
© 2018 by the authors. Licensee MDPI, Basel, Switzerland. This article is an open access article distributed under the terms and conditions of the Creative Commons Attribution (CC BY) license (http://creativecommons.org/licenses/by/4.0/).
Share and Cite
Tan, M.; Choi, Y.; Kim, J.; Kim, J.-H.; Fromm, K.M. Polyaspartamide Functionalized Catechol-Based Hydrogels Embedded with Silver Nanoparticles for Antimicrobial Properties. Polymers 2018, 10, 1188. https://doi.org/10.3390/polym10111188
Tan M, Choi Y, Kim J, Kim J-H, Fromm KM. Polyaspartamide Functionalized Catechol-Based Hydrogels Embedded with Silver Nanoparticles for Antimicrobial Properties. Polymers. 2018; 10(11):1188. https://doi.org/10.3390/polym10111188
Chicago/Turabian StyleTan, Milène, Youngjin Choi, Jaeyun Kim, Ji-Heung Kim, and Katharina M. Fromm. 2018. "Polyaspartamide Functionalized Catechol-Based Hydrogels Embedded with Silver Nanoparticles for Antimicrobial Properties" Polymers 10, no. 11: 1188. https://doi.org/10.3390/polym10111188
APA StyleTan, M., Choi, Y., Kim, J., Kim, J.-H., & Fromm, K. M. (2018). Polyaspartamide Functionalized Catechol-Based Hydrogels Embedded with Silver Nanoparticles for Antimicrobial Properties. Polymers, 10(11), 1188. https://doi.org/10.3390/polym10111188

