Ex-Situ Thermal Treatment Effects on the Temperature Dependent Carriers Dynamics in InAs/InGaAs/GaAs Quantum Dots
Abstract
1. Introduction
2. Materials and Methods
3. Low Temperature PL Properties
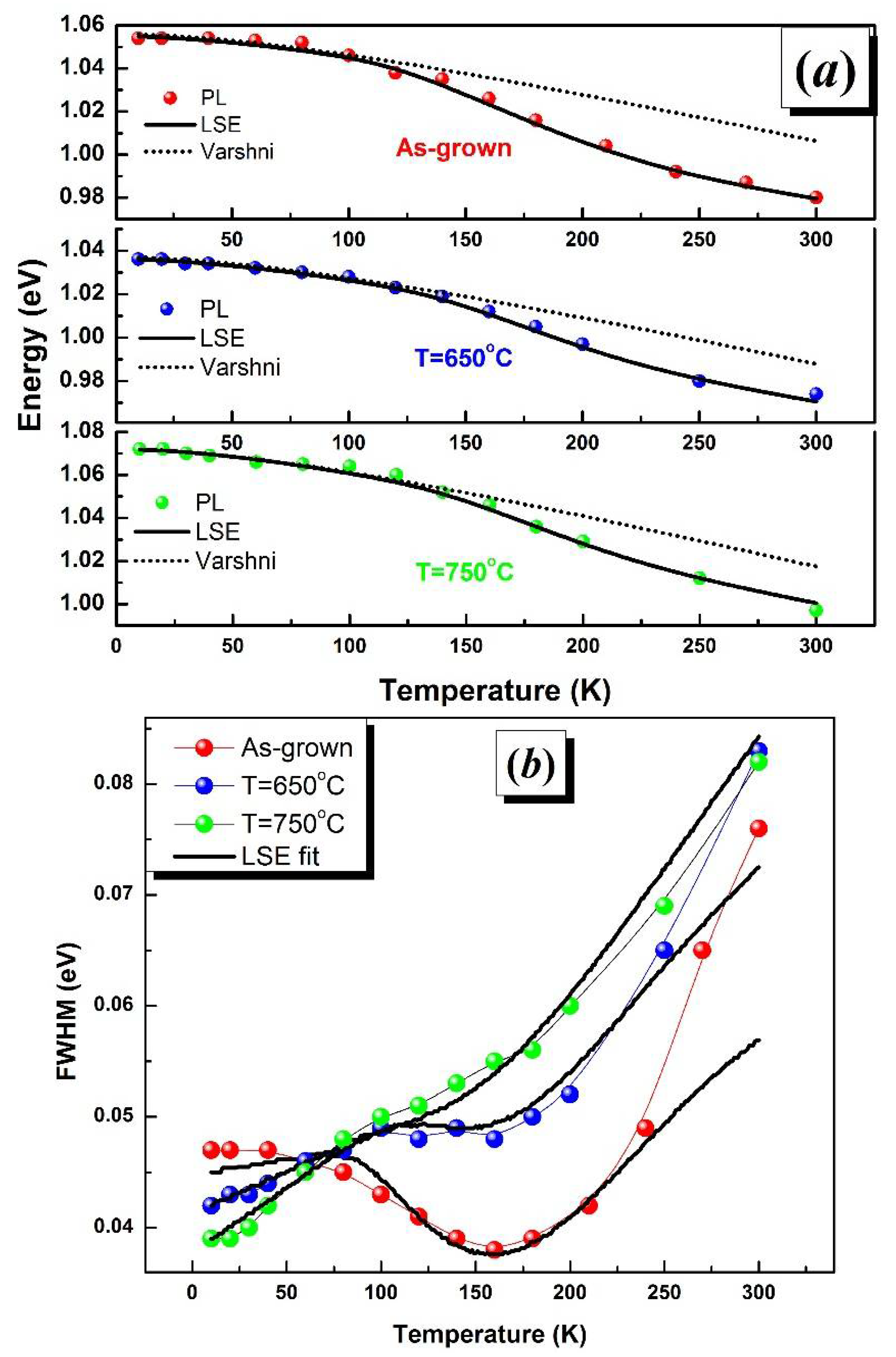
4. Temperature Dependent PL
5. Conclusions
Author Contributions
Funding
Acknowledgments
Conflicts of Interest
Abbreviations
| QD | Quantum Dots |
| QW | Quantum Well |
| MBE | Molecular Beam Epitaxy |
| PL | Photoluminescence |
| FWHM | Full Width at Half Maximum |
| PLE | Photoluminescence of Excitation |
| SRL | Strain Reducing Layer |
| LSE | Localized States Ensemble |
References
- Asryan, L.V.; Grundmann, M.; Ledentsov, N.N.; Stier, O.; Suris, R.A.; Bimberg, D. Maximum modal gain of a self-assembled InAs/GaAs quantum-dot laser. J. Appl. Phys. 2001, 90, 1666–1668. [Google Scholar] [CrossRef]
- Trotta, R.; Atkinson, P.; Plumhof, J.D.; Zallo, E.; Rezaev, R.O.; Kumar, S.; Baunack, S.; Schröter, J.R.; Rastelli, A.; Schmidt, O.G. Nanomembrane Quantum-Light-Emitting Diodes Integrated onto Piezoelectric Actuators. Adv. Mater. 2012, 24, 2668–2672. [Google Scholar] [CrossRef] [PubMed]
- Kita, T.; Suwa, M.; Kaizu, T.; Harada, Y. Polarization-insensitive optical gain characteristics of highly stacked InAs/GaAs quantum dots. J. Appl. Phys. 2014, 115, 233512. [Google Scholar] [CrossRef]
- Maimon, S.; Finkman, E.; Bahir, G.; Schacham, S.E.; Garcia, J.M.; Petroff, P.M. Intersublevel transitions in InAs/GaAs quantum dots infrared photodetectors. Appl. Phys. Lett. 1998, 73, 2003–2005. [Google Scholar] [CrossRef]
- Bailey, C.G.; Forbes, D.V.; Raffaelle, R.P.; Hubbard, S.M. Near 1 V open circuit voltage InAs/GaAs quantum dot solar cells. Appl. Phys. Lett. 2011, 98, 163105. [Google Scholar] [CrossRef]
- Zribi, J.; Ilahi, B.; Paquette, B.; Jaouad, A.; Thériault, O.; Hinzer, K.; Cheriton, R.; Patriarche, G.; Fafard, S.; Aimez, V.; et al. Morris Effect of dot-height truncation on the device performance of multilayer InAs/GaAs quantum dot solar cells. IEEE J. Photovolt. 2016, 6, 584–589. [Google Scholar] [CrossRef]
- Weiner, E.C.; Jakomin, R.; Micha, D.N.; Xie, H.; Su, P.Y.; Pinto, L.D.; Pires, M.P.; Ponce, F.A.; Souza, P.L. Effect of capping procedure on quantum dot morphology: Implications on optical properties and efficiency of InAs/GaAs quantum dot solar cells. Sol. Energy Mater. Sol. Cells 2018, 178, 240–248. [Google Scholar] [CrossRef]
- Ilahi, B.; Sfaxi, L.; Hassen, F.; Maaref, H.; Salem, B.; Guillot, G.; Jbeli, A.; Marie, X. Optical properties of 1.3 μm room temperature emitting InAs quantum dots covered by In0.4Ga0.6As/GaAs hetero-capping layer. Appl. Phys. A 2005, 81, 813–816. [Google Scholar] [CrossRef]
- Ilahi, B.; Nasr, O.; Paquette, B.; Alouane, M.H.H.; Chauvin, N.; Salem, B.; Sfaxi, L.; Bru-Chevalier, C.; Morris, D.; Ares, R.; et al. Thermally activated inter-dots carriers’ transfer in InAs QDs with InGaAs underlying layer: Origin and dependence on the post-growth intermixing. J. Alloys Compd. 2016, 656, 132–137. [Google Scholar] [CrossRef]
- Nedzinskas, R.; Čechavičius, B.; Rimkus, A.; Pozingytė, E.; Kavaliauskas, J.; Valušis, G.; Li, L.H.; Linfield, E.H. Temperature-dependent modulated reflectance of InAs/InGaAs/GaAs quantum dots-in-a-well infrared photodetectors. J. Appl. Phys. 2015, 117, 144304. [Google Scholar] [CrossRef]
- Nasr, O.; Alouane, M.H.H.; Maaref, H.; Hassen, F.; Sfaxi, L.; Ilahi, B. Comprehensive investigation of optical and electronic properties of tunable InAs QDs optically active at O-band telecommunication window with (In)GaAs surrounding material. J. Lumin. 2014, 148, 243–248. [Google Scholar] [CrossRef]
- Lam, P.M.; Wu, J.; Hatch, S.; Kim, D.; Tang, M.; Liu, H.; Wilson, J.; Allison, R. Effect of rapid thermal annealing on InAs/GaAs quantum dot solar cells. IET Optoelectron. 2015, 9, 65–68. [Google Scholar] [CrossRef]
- Su, X.B.; Ding, Y.; Ma, B.; Zhang, K.L.; Chen, Z.S.; Li, J.L.; Cui, X.R.; Xu, Y.Q.; Ni, H.Q.; Niu, Z.C. Elimination of Bimodal Size in InAs/GaAs Quantum Dots for Preparation of 1.3-μm Quantum Dot Lasers. Nanoscale Res. Lett. 2018, 13, 59. [Google Scholar] [CrossRef] [PubMed]
- Mazur, Y.I.; Dorogan, V.G.; Marega, E., Jr.; Guzun, D.; Ware, M.E.; Zhuchenko, Z.Y.; Tarasov, G.G.; Lienau, C.; Salamo, G.J. Effect of tunneling transfer on thermal redistribution of carriers in hybrid dot-well nanostructures. J. Appl. Phys. 2013, 113, 034309. [Google Scholar] [CrossRef]
- Nee, T.E.; Wu, Y.F.; Cheng, C.C.; Shen, H.T. Carrier dynamics study of the temperature and excitation-dependent photoluminescence of InAs/GaAs quantum dots. J. Appl. Phys. 2006, 99, 013506. [Google Scholar] [CrossRef]
- Ilahi, B.; Sfaxi, L.; Maaref, H.; Bremond, G.; Guillot, G. Long wavelength vertically stacked InAs/GaAs (001) quantum dots with a bimodal size distribution: Optical properties and electronic coupling. Superlattices Microstruct. 2004, 36, 55–61. [Google Scholar] [CrossRef]
- Matutano, M.; Suárez, I.; Canet-Ferrer, J.; Alén, B.; Rivas, D. Size dependent carrier thermal escape and transfer in bimodally distributed self assembledInAs/GaAs quantum dots. J. Appl. Phys. 2012, 111, 123522. [Google Scholar] [CrossRef]
- Souaf, M.; Baira, M.; Nasr, O.; Alouane, M.H.H.; Maaref, H.; Sfaxi, L.; Ilahi, B. Investigation of the InAs/GaAs Quantum Dots’ Size: Dependence on the Strain Reducing Layer’s Position. Materials 2015, 8, 4699–4709. [Google Scholar] [CrossRef] [PubMed]
- Ilahi, B.; Sfaxi, L.; Maaref, H. Optical investigation of InGaAs-capped InAs quantum dots: Impact of the strain-driven phase separation and dependence upon post-growth thermal treatment. J. Lumin. 2007, 127, 741–746. [Google Scholar] [CrossRef]
- Li, Q.; Xu, S.J.; Xie, M.H.; Tong, S.Y. A model for steady-state luminescence of localized-state ensemble. Europhys. Lett. 2005, 71, 994. [Google Scholar] [CrossRef]
- Varshni, Y.P. Temperature dependence of the energy gap in semiconductors. Physica 1967, 34, 149. [Google Scholar] [CrossRef]
- Talalaev, V.G.; Novikov, B.V.; Smirnov, M.B.; Kachakanov, V.V.; Gobsch, G.; Golhahhn, R.; Winzer, A.; Cirilin, G.E.; Egorov, V.A.; Ustinov, V.M. Photoluminescence of isolated quantum dots in metastable InAs arrays. Nanotechnology 2002, 13, 143. [Google Scholar] [CrossRef]





| Parameters | As Grown | 650 °C | 750 °C |
|---|---|---|---|
| Ec (meV) | 112 | 125 | 96 |
| σ (meV) | 27 | 24 | 21 |
© 2018 by the authors. Licensee MDPI, Basel, Switzerland. This article is an open access article distributed under the terms and conditions of the Creative Commons Attribution (CC BY) license (http://creativecommons.org/licenses/by/4.0/).
Share and Cite
Ilahi, B.; Sfaxi, L.; Madhar, N.A.; Maaref, H. Ex-Situ Thermal Treatment Effects on the Temperature Dependent Carriers Dynamics in InAs/InGaAs/GaAs Quantum Dots. Crystals 2018, 8, 192. https://doi.org/10.3390/cryst8050192
Ilahi B, Sfaxi L, Madhar NA, Maaref H. Ex-Situ Thermal Treatment Effects on the Temperature Dependent Carriers Dynamics in InAs/InGaAs/GaAs Quantum Dots. Crystals. 2018; 8(5):192. https://doi.org/10.3390/cryst8050192
Chicago/Turabian StyleIlahi, Bouraoui, Larbi Sfaxi, Niyaz Ahamad Madhar, and Hassen Maaref. 2018. "Ex-Situ Thermal Treatment Effects on the Temperature Dependent Carriers Dynamics in InAs/InGaAs/GaAs Quantum Dots" Crystals 8, no. 5: 192. https://doi.org/10.3390/cryst8050192
APA StyleIlahi, B., Sfaxi, L., Madhar, N. A., & Maaref, H. (2018). Ex-Situ Thermal Treatment Effects on the Temperature Dependent Carriers Dynamics in InAs/InGaAs/GaAs Quantum Dots. Crystals, 8(5), 192. https://doi.org/10.3390/cryst8050192

