Abstract
The compound N-(4,6-dichloropyrimidine-2-yl)benzamide (C11H7Cl2N3O) was synthesized and the corresponding structure was confirmed by 1H NMR, 13C NMR, HRMS, IR, and single-crystal X-ray diffraction. The compound crystallized in a monoclinic system with space group P 21/c, where a = 14.9156(6), b = 16.6291(8), c = 14.4740(6) Å, β = 95.160(2)°, V = 3575.5(3) Å3, Z = 12, Dc = 1.494 g∙cm−3, F(000) = 1632, μ(MoKa) = 3.182 mm−1, final R = 0.0870, and wR = 0.2331 with I > 2σ(I). The crystal structure was found to be stabilized by intermolecular hydrogen bonding interactions N–H···O and C–H···Cl. Furthermore, the results from biological assays indicated that the compound showed a similar protective effect on metolachlor injury in rice seedlings compared to fenclorim at a concentration of 4.0 mg∙L−1. Moreover, the compound exhibited an improved antifungal activity compared to pyrimethanil against S. sclerotiorum and F. oxysporum. Potentially, these results lay the foundation for the development of novel herbicide safeners and fungicides.
1. Introduction
Herbicides are frequently used for the control of weeds both in an effort to ensure the adequate production of food crops and to meet increased production requirements. However, when used under field conditions, herbicides often exhibit a negative effect on crop growth and yield, including corn, cereal, and rice [1,2,3,4,5,6,7]. In order to protect crops from potential injuries caused by herbicides, the use of herbicide safeners is the most straightforward and cost-effective method [8,9]. A herbicide safener, which is generally used in combination with herbicides or can be added to seeds by pre-sowing seed treatments, can effectively reduce herbicide-induced toxicity to crop plants and enhance the selectivity of herbicides in crops [9,10]. In 1970, the first commercialized herbicide safener (1,8-naphthalic anhydride, NA) was reported by Hoffman et al. and was designed to protect corn from thiocarbamate herbicide injury [11,12,13]. Since then, a number of synthetic herbicide safeners, e.g., dichlormid, oxime ether, fenchlorazole-ethyl, flurazole, and dymron, have been commercialized for crop protection [14,15,16,17,18].
Fenclorim represents a pyrimidine-type herbicide safener that is mainly used to enhance the tolerance of rice to chloroacetanilide herbicides via improving the expression of glutathione S-transferases (GSTs), which catalyze the conjugation of chloroacetanilide herbicides with glutathione in rice to detoxify herbicides [19,20]. Fenclorim is used in combination with chloroacetanilide herbicides on rice seedlings or by soaking the seeds in pre-sowing applications while maintaining the susceptibility of chloroacetanilide herbicides to target weeds [21,22]. However, only a few structure–activity relationship (SAR) reports on fenclorim or its derivatives can be found in the literature that offer guidance to further identify novel herbicide safeners.
Amide compounds associated with unique pharmacological activities are usually used as drugs or pesticides and exhibit antimicrobial [23], antiviral [24], anticancer [25], insecticide [26,27], fungicide [28], herbicide [29] and even herbicide safener activities [30]. For this reason and to further screen candidates with improved herbicide safener activities, the amide compound (N-(4,6-dichloropyrimidine-2-yl)benzamide) (1) was synthesized via insertion of an amide group between the chlorinated substituted pyrimidine ring and the phenyl ring of fenclorim (cf. Scheme 1). The corresponding compound structure was confirmed by 1H NMR, 13C NMR, HRMS, IR, and single-crystal X-ray diffraction. Furthermore, the herbicide safener activity to protect rice from chloroacetanilide herbicide metolachlor injury was tested. Since some herbicide safeners may also serve as fungicides [4,31], we have also evaluated the antifungal activity of Compound 1.
Scheme 1.
Design strategy of Compound 1.
2. Materials and Methods
2.1. General Techniques
Benzoic acid, 4-methylbenzenesulfonyl chloride, benzyltriethylammonium chloride (TEBAC) and 4,6-dichloropyrimidine-2-amine were purchased from Shanghai Macklin Biochemical Co., Ltd. (Shanghai, China). Potassium carbonate (K2CO3) was purchased from Sinopharm Group Co., Ltd. (Shanghai, China). All other reagents obtained from commercial sources were dried and further purified. The melting point was measured on a Hanon MP100 automatic melting point apparatus (Jinan Hanon Instruments Co., Ltd., Jinan, Shandong, China) using an open capillary tube. 1H and 13C NMR spectra for Compound 1 were obtained on a Bruker Avance-500 spectrometer operating at 500 MHz (1H) and 125 MHz (13C), respectively. Chemical shifts are reported in ppm (δ). High-resolution mass spectral analysis was carried out on an FTICR-MS Varian 7.0 T FTICR-MS instrument (Varian IonSpec, Lake Forest, CA, USA), and infrared spectra (IR) were obtained via ATR-method (attenuated total reflection) on a TENSOR II-Bruker FT-IR spectrometer (Bruker Optics, Ettlingen, BW, Germany). Single-crystal X-ray structure was measured on a Bruker SMART APEX II X-ray single crystal diffractometer (Bruker AXS, Karlsruhe, BW, Germany).
2.2. Synthetic Precedure
A modified procedure based on methods reported in the literature [32,33] was used. The synthetic route of Compound 1 is outlined in Scheme 2. A mixture of benzoic acid (1.00 g, 8.19 mmol), 4-methylbenzenesulfonyl chloride (1.56 g, 8.19 mmol), TEBAC (0.19 g, 8.19 mmol), and K2CO3 (4.53 g, 32.76 mmol) in dry toluene (60 mL) was stirred under reflux for 1 h. Afterwards, 4,6-dichloropyrimidine-2-amine (1.34 g, 8.19 mmol) was added and stirring was continued for 40 min under reflux. The resulting precipitate was filtered off, and the solvent was removed. The solid residue was subjected to column chromatography (petroleum ether/ethyl acetate, 6:1) to obtain 0.95 g (43.24%) of a white solid. m.p. 155–156 °C; 1H NMR (500 MHz, CDCl3) δ [ppm]: 7.15 (s, 1H, PyH), 7.50–7.53 (m, 2H, ArH), 7.60–7.63 (m, 1H, ArH), 7.92–7.94 (m, 2H, ArH), 8.72 (s, 1H, NH). 13C NMR (125 MHz, CDCl3) δ [ppm]: 116.33, 127.55, 128.98, 133.00, 133.28, 157.08, 162.57, 164.07. IR (ATR) ν: 3228(NH), 1693 (C=O) cm−1; MS (ESI+) m/z: 268.0035 ([M + H]+); found: 268.0039.
Scheme 2.
Synthetic route for Compound 1.
2.3. Structure Determination
Single crystals of Compound 1 were obtained by recrystallization from a solution of methanol at room temperature. The crystal dimensions were 0.170 × 0.100 × 0.040 mm3. The reflection data of Compound 1 was collected by using X-radiation (λ = 1.34139 Å) at 296(2) K via a Bruker SMART APEX II X-ray single crystal diffractometer (Bruker AXS, Karlsruhe, BW, Germany). A total of 37,976 reflections were collected by employing an ψ-ω scan mode, 6797 of which were independent with Rint = 0.0675 and 4973 were observed with I > 2σ(I). The structure of Compound 1 was solved via a direct method using SHELXS-97 (University of Gottingen, Gottingen, NI, Germany). The solutions were refined by full-matrix least squares techniques on F2 by SHELXL-2013 program [34]. The final cycle of refinement gave R = 0.0870 and wR = 0.2337 with w = 1/[σ2(Fo2) + (0.1114 P)2 + 6.0571 P], where P = (Fo2 + 2Fc2)/3 included 449 parameters. Selected crystallographic data of the Compound 1 is provided in Table 1.
Table 1.
Selected crystallographic data of Compound 1.
2.4. Herbicide Safener Activity
Herbicide safener activities of Compound 1 and fenclorim were evaluated using a method reported previously [35].
2.5. Antifungal Activity
The antifungal activities of Compound 1, fenclorim and pyrimethanil were tested in vitro. The following four fungal strains were used according to published procedures: Sclerotinia sclerotiorum, Fusarium oxysporum, Fusarium graminearum, and Thanatephorus cucumeris [36,37].
3. Results and Discussion
3.1. Crystal Structure
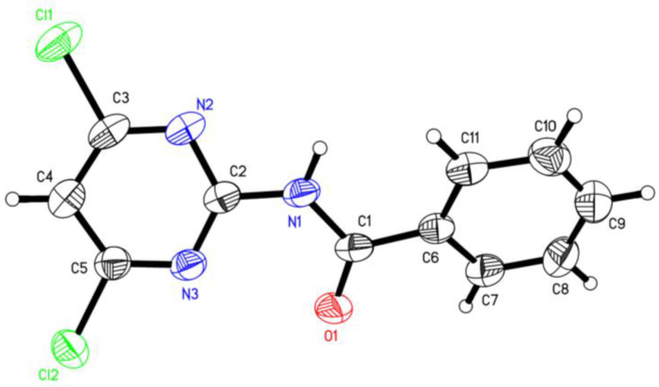
Compound 1 crystallized in the monoclinic system. The P 21/c space group and the molecular structure of Compound 1 are depicted in Figure 1. Selected molecular structure parameters (bond lengths, bond angles, and torsion angles) for Compound 1 can be found summarized in Table 1. The packing arrangement of Compound 1 is shown in Figure 2. The crystal data for Compound 1 was deposited at the Cambridge Crystallographic Data Centre (12 Union Road, Cambridge CB2 1EZ, UK; fax: +44-1223-336033; e-mail: deposit@ccdc.cam.ac.uk) as supplementary publication No. CCDC-1810908. Crystallographic data for this crystal is available free of charge at the following website: http:www.ccdc.cam.ac.uk/data_request/cif or from the Cambridge Crystallographic Data Centre.
Figure 1.
Crystal structure of Compound 1.
Figure 2.
Packing arrangement of Compound 1 in the unit cell.
As shown in Table 2, the bond lengths and bond angles of the aromatic rings (phenyl and pyrimidine) in this crystal structure are in accordance with the general normal ranges [38,39,40,41]. The phenyl ring and pyrimidine ring were both connected by an amide group, and the C(1)=O(1) bond length in this amide group was 1.223(6) Å. The latter is similar to the general C=O double-bond length reported in the literature [42,43,44]. The bond angles of C(1)–N(1)–C(2) and N(1)–C(1)–C(6) were 128.7(4)° and 117.4(4)°, respectively. The secondary amide group adopted a trans-conformation, and the torsion angle of C(2)–N(1)–C(1)–C(6) was −177.2(4)°. The N and O atoms in the amide group were nearly coplanar, with a torsion angle of 3.6(8)° for C(2)–N(1)–C(1)–O(1). The mean plane of the pyrimidine ring, defined as C(2)–N(2)–C(3)–C(4)–C(5)–N(3), and the phenyl ring, defined as C(6)–N(7)–C(8)–C(9)–C(10)–C(11), formed angles of 32.0°, indicating the pyrimidine and phenyl rings were not coplanar.
Table 2.
Selected molecular structure parameters.
The crystal packing characteristics of Compound 1 in the unit cell are described in Figure 2. Three adjacent molecules (cf. Figure 3) in the crystal packing are found to be linked by intermolecular hydrogen bonding interactions (N–H···O and C–H···Cl). The N···O distances between donor (D) and acceptor (A) were 2.981(5) Å for N(7)–H(7A)···O(2), 2.968(5) Å for N(4)–H(4A)···O(1), and 2.851(5) Å for N(1)–H(1)···O(3), respectively. The C···Cl distances between donor (D) and acceptor (A) were 3.874(6) Å for C(26)–H(26)···Cl(1) and 3.893(6) Å for C(15)–H(15)···Cl(2), respectively. Details of hydrogen bonding in this crystal structure are listed in Table 3.
Figure 3.
Structure of hydrogen bond trimer.
Table 3.
Hydrogen bonding interactions in Compound 1.
3.2. Spectroscopic Properties
The structure of Compound 1 was confirmed via melting point, 1H NMR, 13C NMR, IR, and HRMS analysis. Signals corresponding to the C–H proton in the pyrimidine ring and N–H proton in the amide group were observed at δ 7.15 and δ 8.72, respectively. The signals corresponding to the protons on the benzene ring were observed at δ 7.50–7.94. In the IR spectra of Compound 1, a strong absorption band was found at 1693 and 3228 cm−1. The latter was attributed to the presence of the C=O and N–H stretching vibration of amide. The HRMS data of Compound 1 was in good agreement with the theoretical data that was calculated on the basis of the molecular formula.
3.3. Biological Activity
3.3.1. Evaluation of Herbicide Safener Activity
The herbicide safening effect of Compound 1 (C) as well as the positive control fenclorim (F) were measured by shoot height, root length, fresh biomass, and emergence rate correspond to safening [45] on 7-day-old rice seedlings as shown in Table 4. The growth rate of the rice seedlings was significantly suppressed by metolachlor (M) at a concentration of 0.25 μM, with 51.17%, 48.46%, 65.42%, and 57.67% of the non-treated control in shoot height, root length, fresh biomass, and emergence rate, respectively. Furthermore, the rice seedling injury from metolachlor was found to be alleviated by Compound 1 and fenclorim. The recovery rates of the injured rice seedlings after application of Compound 1 were 82.26%, 91.03%, and 78.52% of the non-treated control values in shoot height, root length, and fresh biomass, respectively. The latter was similar to the recovery rates upon using fenclorim. Similar to the above results, the emergence rate (87.47%) during the combined treatment of 4 mg∙L−1 of Compound 1 and 0.25 μM of metolachlor (C + M) was similar to that (94.00%) in the combined treatment of 4 mg∙L−1 fenclorim and 0.25 μM metolachlor (F + M). The data obtained indicated that, compared to fenclorim, Compound 1 exhibited a similar protective effect on metolachlor injured rice seedlings at a concentration of 4.0 mg∙L−1.
Table 4.
Herbicide safening effect of 7-day-old rice seedlings treated with metolachlor. The combined formulations were 4 mg∙L−1 Compound 1/0.25 μM metolachlor (C + M) and 4 mg∙L−1 fenclorim/0.25 μM metolachlor (F + M). The measured parameters were plant height, root length, fresh weight, and emergence rate.1
3.3.2. Evalution of Antifungal Activity
The IC50 value of Compound 1, fenclorim as well as the positive control pyrimethanil against Sclerotinia sclerotiorum, Fusarium oxysporum, Fusarium graminearum, and Thanatephorus cucumeris are illustrated in Table 5. Compound 1 exhibited the highest overall activity with an IC50 of 1.23 mg∙L−1 against Sclerotinia sclerotiorum and 9.97 mg∙L−1 against Fusarium oxysporum. The latter activity values were superior to the commercial agent pyrimethanil (8.39 mg∙L−1 against Sclerotinia sclerotiorum and 23.44 mg∙L−1 against Fusarium oxysporum). Moreover, fenclorim exhibited fungicidal activities, with an IC50 of 18.11 mg∙L−1 against Sclerotinia sclerotiorum, 27.33 mg∙L−1 against Fusarium oxysporum, 39.53 mg∙L−1 against Fusarium graminearum, and 28.46 mg∙L−1 against Thanatephorus cucumeris. These results indicated that fenclorim could be further used as a lead compound to develop novel fungicides.
Table 5.
IC50 values of Compound 1, fenclorim and pyrimethanil against Sclerotinia sclerotiorum, Fusarium oxysporum, Fusarium graminearum, and Thanatephorus cucumeris 1.
4. Conclusions
In summary, the compound N-(4,6-dichloropyrimidine-2-yl)benzamide was synthesized and characterized by 1H NMR, 13C NMR, HRMS, IR, and X-ray diffraction. The synthesis followed a strategy of inserting an amide group between a chlorinated substituent and a phenyl ring of fenclorim. The biological assay results indicated Compound 1 showed a similar protective effect on metolachlor injury in rice seedlings compared to fenclorim at a concentration of 4.0 mg∙L−1 and featured an even better antifungal activity compared to pyrimethanil against S. sclerotiorum and F. oxysporum. Potentially, the results obtained will lay the foundation for the design and development of novel herbicide safeners and fungicides.
Acknowledgments
We are grateful for financial support by the Hunan Agricultural Science and Technology Innovation Fund Project (No. 2017QN45), the National Natural Science Foundation of China (No. 31772182 and No. 31741108), the Innovation Team on the Safe and Effective Control of Cropland Weed (No. 2014TD01), the Hunan Provincial Key Laboratory for Biology and Control of Weeds, and the Hunan Provincial Science and Technology Plan Project (No. 2016RS2012).
Author Contributions
Wen-Na Zheng synthesized the crystalline material, wrote the manuscript, carried out experimental work, and analyzed the crystal data; Zhe-Yuan Zhu, Ya-Nan Deng, Zhong-Chi Wu, and Yong Zhou helped in the bioassay experiments; Xiao-Mao Zhou provided the bioassay materials; Lian-Yang Bai supervised the entire study; Xi-Le Deng helped with the design of the experiments and revised the manuscript.
Conflicts of Interest
The authors declare no conflicts of interest.
References
- Liu, H.J.; Xiong, M.Y.; Tian, B.L. Comparative phytotoxicity of Rac-metolachlor and S-metolachlor on rice seedlings. J. Environ. Sci. Health B 2012, 47, 410–419. [Google Scholar] [CrossRef] [PubMed]
- Coleman, J.O.D.; Frova, C.; Schröder, P.; Tissut, M. Exploiting plant metabolism for the phytoremediation of persistent herbicides. Environ. Sci. Pollut. Res. 2002, 9, 18–28. [Google Scholar] [CrossRef]
- Rosinger, C.; Evans, P.; Hacker, E. Crop Plant-Compatible Herbicidal Compositions Comprising Herbicides and Safeners. U.S. Patent 20070010399A1, 11 January 2007. [Google Scholar]
- Zheng, Y.; Liu, B.; Gou, Z.; Li, Y.; Zhang, X.; Wang, Y.; Yu, S.; Li, Y.; Sun, D. Design of novel CSA analogues as potential safeners and fungicides. Bioorg. Med. Chem. Lett. 2015, 25, 791–794. [Google Scholar] [CrossRef] [PubMed]
- Zhao, L.X.; Qu, H.T.; Fu, Y.; Gao, S.; Ye, F. Alleviation of injury from chlorimuron-ethyl in maize treated with safener 3-dichloroacetyl oxazolidine. Can. J. Plant Sci. 2015, 95, 897–903. [Google Scholar] [CrossRef]
- Mahoney, K.J.; Nurse, R.E.; Everman, W.J.; Sprague, C.L.; Sikkema, P.H. Tolerance of corn (L.) to early and late glyphosate applications. Am. J. Plant Sci. 2014, 5, 2748–2754. [Google Scholar] [CrossRef]
- Satchivi, N.; Schmitzer, P. Safening 6-(Trisubstituted Phenyl)-4-Amino-2-Pyridinecarboxylate Herbicide Injury on Cereal Crops (Wheat and Barley). Patent WO 2010059676A2, 27 May 2010. [Google Scholar]
- Rosinger, C. Herbicide safeners: An overview. Julius Kühn Archiv 2014, 443, 516–525. [Google Scholar]
- Jablonkai, I. Herbicide safeners: Effective tools to improve herbicide selectivity. In Herbicides-Current Research and Case Studies in Use; Andrew, J.P., Jessica, A.K., Eds.; Intech: Rijeka, Coratia, 2013; pp. 589–620. [Google Scholar]
- Parker, C. Herbicide protectants and antidotes—A review. Pans 1976, 22, 65–74. [Google Scholar]
- Hatzios, K.K. Herbicide antidotes: Development, chemistry, and mode of action. Adv. Agron. 1983, 36, 265–316. [Google Scholar]
- Hoffmann, O.L. Herbicide antidotes: From concept to practice. In The Chemistry and Action of Herbicide Antidotes; Pallos, F.M., Casida, J.E., Eds.; Academic Press: London, UK, 1978; pp. 1–13. [Google Scholar]
- Hoffmann, O.L. 1,8-Naphthalic Anhydride Protective Coatings of Cereals against Herbicidal S-ethyl N,N-Dipropylthiocarbamate. Patent DE 1952910A, 25 June 1970. [Google Scholar]
- Fedtke, C.; Strang, R.H. Synergistic activity of the herbicide safener dichlormid with herbicides affecting photosynthesis. Z. Naturforsch. C 1990, 45, 565–568. [Google Scholar]
- Chang, T.S.; Merkle, M.G. Oximes as seed safeners for grain sorghum (Sorghum bicolor) to herbicides. Weed Sci. 1982, 30, 70–73. [Google Scholar]
- Hall, J.C.; Stephenson, G.R. The basis for the synergizing and safening action of fenchlorazole-ethyl on the herbicidal activity of fenoxaprop-ethyl: A review. In Proceedings of the Crop Protection Conference-Weeds, Brington, UK, 20–23 November 1995; British Crop Protection Council: Surrey, UK, 1995; pp. 261–268. [Google Scholar]
- Hatzios, K.K. Interactions of the safener flurazole with chloroacetanilide and thiocarbamate herbicides on maize (Zea mays L.). Can. J. Plant Sci. 1986, 66, 353–359. [Google Scholar] [CrossRef]
- Tsukuda, K.; Ichizen, N.; Konnai, M.; Takematsu, T. Effect of seeding depth on crop injury by pyributicarb in direct-seeded rice plants and evaluation of dymron as a safener. J. Weed Sci. Technol. 2000, 45, 1–6. [Google Scholar] [CrossRef]
- Brazierhicks, M.; Evans, K.M.; Cunningham, O.D.; Hodgson, D.R.; Steel, P.G.; Edwards, R. Catabolism of glutathione conjugates in Arabidopsis thaliana. Role in metabolic reactivation of the herbicide safener fenclorim. J. Biochem. Chem. 2008, 283, 21102–21112. [Google Scholar]
- Deng, F.; Hatzios, K.K. Purification and characterization of two glutathione S-transferase isozymes from indica-type rice involved in herbicide detoxification. Pestic. Biochem. Physiol. 2002, 72, 10–23. [Google Scholar] [CrossRef]
- Chen, Y.; Shen, X.; Fang, Y. Fenclorim effects on rice germination and yield. Can. J. Plant Sci. 2013, 93, 237–241. [Google Scholar] [CrossRef]
- Miyauchi, N.; Kobayashi, K.; Usui, K. Differential safening activity of dymron and fenclorim on pretilachlor injury in rice seedlings in soil. Weed Biol. Manag. 2002, 2, 46–51. [Google Scholar] [CrossRef]
- Montes, R.C.; Freitas, T.S.D.; Costa, M.D.S.; Oliveira, F.D.S.; Campina, F.F.; Ferreira, A.R.; Ferreira, S.D.O.; Melo, H.D.D.; Damião, P.D. Antimicrobial evaluation of cinnamic and benzoic haloamides. J. Chem. Pharm. Res. 2016, 8, 311–320. [Google Scholar]
- Lan, X.; Xie, D.; Yin, L.; Wang, Z.; Chen, J.; Zhang, A.; Song, B.; Hu, D. Novel α,β-unsaturated amide derivatives bearing α-amino phosphonate moiety as potential antiviral agents. Bioorg. Med. Chem. Lett. 2017, 27, 4270–4273. [Google Scholar] [CrossRef] [PubMed]
- Wang, L.; Zhang, Y.M.; Lu, S.; Chen, Y.D.; Lu, T.; Liu, H.C. Molecular docking and 3D-QSAR studies on a series of fused heterocyclic amides as B-Raf inhibitors. Chin. J. Struct. Chem. 2017, 36, 1568–1585. [Google Scholar]
- Deng, X.L.; Xie, J.; Li, Y.Q.; Yuan, D.K.; Zhang, X.P.; Wang, Q.M.; Chi, M.; Yang, X.L. Design, synthesis and biological activity of novel substituted pyrazole amide derivatives targeting EcR/USP receptor. Chin. Chem. Lett. 2016, 27, 566–570. [Google Scholar] [CrossRef]
- Deng, X.L.; Zhang, L.; Hu, X.P.; Yin, B.; Liang, P.; Yang, X.L. Target-based design, synthesis and biological activity of new pyrazole amide derivatives. Chin. Chem. Lett. 2016, 27, 251–255. [Google Scholar] [CrossRef]
- Sun, M.; Yang, H.H.; Tian, L.; Li, J.Q.; Zhao, W.G. Design, synthesis, and fungicidal activities of imino diacid analogs of valine amide fungicides. Bioorg. Med. Chem. Lett. 2015, 25, 5729–5731. [Google Scholar] [CrossRef] [PubMed]
- Gonec, T.; Kos, J.; Zadrazilova, I.; Pesko, M.; Keltosova, S.; Tengler, J. Antibacterial and herbicidal activity of ring-substituted 1-hydroxynaphthalene-2-carboxanilides. Bioorg. Med. Chem. Lett. 2013, 21, 6531–6541. [Google Scholar] [CrossRef] [PubMed]
- Han, S.; Hatzios, K.K. Effects of the herbicide pretilachlor and the safener fenclorim on glutathione content and glutathione-dependent enzyme activity of rice. Z. Naturforsch. C 1991, 46, 861–865. [Google Scholar]
- Hassan, H.M.; Farrag, A.A. Synthesis, and phytopathological application of some novel amino acid, dipeptide and diphenylphosphonic acid derivatives of 2-aminopyrimidine. J. Chem. Pharm. Res. 2011, 3, 776–785. [Google Scholar]
- Agha, K.A.; Abo-Dya, N.E.; Ibrahim, T.S.; Abdel-Aal, E.H. Efficient synthesis of N-acylbenzotriazoles using tosyl chloride: En route to suberoylanilide hydroxamic acid. ARKIVOC 2016, 3, 161–170. [Google Scholar]
- Ananthalakshmi, S.; Nallu, M. Kinetic investigation on the reactions of p-toluenesulfonyl chloride with p-substituted benzoic acid(s) in the presence of triethylamine in aprotic solvents. Int. J. Chem. Kinet. 2010, 2, 303–308. [Google Scholar] [CrossRef]
- Sheldrick, G.M. A short history of SHELX. Acta Cryst. 2008, 64, 112–122. [Google Scholar] [CrossRef] [PubMed]
- Fan, D.; Hatzios, K.K. Characterization and safener induction of multiple glutathione S-transferases in three genetic lines of rice. Pestic. Biochem. Physiol. 2002, 72, 24–39. [Google Scholar]
- Ma, M.; Feng, J.; Li, R.; Chen, S.W.; Xu, H. Synthesis and antifungal activity of ethers, alcohols, and iodohydrin derivatives of sclareol against phytopathogenic fungi in vitro. Bioorg. Med. Chem. Lett. 2015, 25, 2773–2777. [Google Scholar] [CrossRef] [PubMed]
- Thanusu, J.; Kanagarajan, V.; Gopalakrishnan, M. Synthesis, spectral analysis and in vitro microbiological evaluation of 3-(3-Alkyl-2,6-diarylpiperidin-4-ylidene)-2-thioxoimidazolidin-4-ones as a new class of antibacterial and antifungal agents. Bioorg. Med. Chem. Lett. 2010, 20, 713–717. [Google Scholar] [CrossRef] [PubMed]
- Mu, J.X.; Zhai, Z.W.; Yang, M.Y.; Sun, Z.H.; Wu, H.K.; Liu, X.H. Synthesis, crystal structure, DFT study and antifungal activity of 4-(5-((4-bromobenzyl)thio)-4-phenyl-4H-1,2,4-triazol-3-yl)pyridine. Crystals 2016, 6, 4. [Google Scholar] [CrossRef]
- Kwon, E.; Kim, J.; Kang, G.; Kim, T.H. Crystal structure of fenclorim. Acta Cryst. 2015, E71, o714. [Google Scholar] [CrossRef] [PubMed]
- Choudhury, M.; Viswanathan, V.; Timiri, A.K.; Sinha, B.N.; Jayaprakash, V.; Velmurugan, D. Crystal structures of 2-[(4,6-di-amino-pyrimidin-2-yl)sulfan-yl]-N-(2,4-di-methyl-phen-yl)acetamide and 2-[(4,6-di-amino-pyrimidin-2-yl)sulfan-yl]-N-(3-meth-oxy-phen-yl)acetamide. Acta Cryst. 2017, 73, 996–1000. [Google Scholar]
- Weng, J.Q.; Wang, L.; Liu, X.H. Synthesis, crystal structure and herbicidal activity of a 1,2,4-triazol-5-(4H)-one derivative. J. Chem. Soc. Pak. 2012, 34, 1248–1252. [Google Scholar]
- Shen, Z.H.; Shi, Y.X.; Yang, M.Y.; Sun, Z.H.; Weng, J.Q.; Tan, C.X.; Liu, X.H.; Li, B.J.; Zhao, W.G. Synthesis, crystal structure, DFT studies and biological activity of a novel schiff base containing triazolo [4,3-a]pyridine moiety. Chin. J. Struct. Chem. 2016, 35, 457–464. [Google Scholar]
- Löser, R.; Pitzschler, R.; Köckerling, M.; Löser, R.; Pitzschler, R.; Köckerling, M. Synthesis and X-ray crystal structure of N′-cyano-N,N′-dimethyl-4-nitrobenzohydrazide. Crystals 2017, 7, 290. [Google Scholar] [CrossRef]
- Manchado, A.; Salgado, M.M.; Vicente, A.; Díez, D.; Sanz, F.; Garrido, N.M. Crystal structure of methyl (4R)-4-(4-meth-oxy-benzo-yl)-4-{[(1R)-1-phenyl-eth-yl]carbamo-yl}butano-ate. Acta Cryst. 2017, 73, 503–506. [Google Scholar]
- Tang, X.K.; Zhou, X.M.; Wu, J.; Li, J.B.; Bai, L.Y. A novel function of sanshools: The alleviation of injury from metolachlor in rice seedlings. Pestic. Biochem. Physiol. 2014, 110, 44–49. [Google Scholar] [CrossRef] [PubMed]
© 2018 by the authors. Licensee MDPI, Basel, Switzerland. This article is an open access article distributed under the terms and conditions of the Creative Commons Attribution (CC BY) license (http://creativecommons.org/licenses/by/4.0/).




