Dilute Paramagnetism and Non-Trivial Topology in Quasicrystal Approximant Fe4Al13
Abstract
1. Introduction
2. Materials and Methods
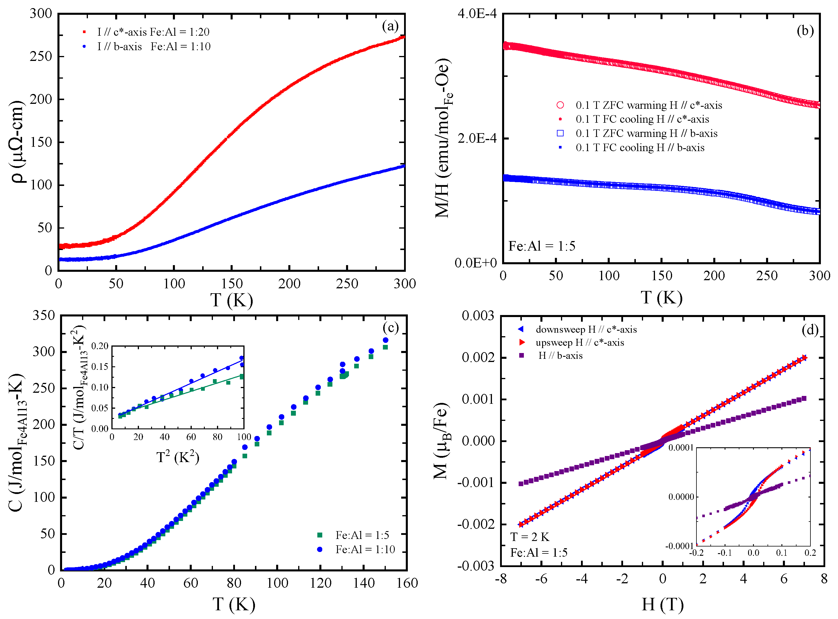
3. Results
4. Density Functional Theory Calculations
5. Discussion
Author Contributions
Funding
Data Availability Statement
Acknowledgments
Conflicts of Interest
Abbreviations
| FQM2024 | Fundamentals of Quantum Materials Winter School |
| Fe | Iron |
| Al | Aluminum |
| Resistivity | |
| H | Magnetic field |
| T | Temperature |
| C | Heat capacity |
| M | Magnetization |
| DFT | Density functional theory |
References
- Khatua, J.; Pregelj, M.; Elghandour, A.; Jagličic, Z.; Klingeler, R.; Zorko, A.; Khuntia, P. Magnetic properties of the triangular-lattice antiferromagnets Ba3RB9O18 (R = Yb, Er). Phys. Rev. B 2022, 106, 104408. [Google Scholar] [CrossRef]
- Avers, K.E.; Maksimov, P.A.; Rosa, P.F.S.; Thomas, S.M.; Thompson, J.D.; Halperin, W.P.; Movshovich, R.; Chernyshev, A.L. Fingerprinting triangular-lattice antiferromagnet by excitation gaps. Phys. Rev. B 2021, 103, L180406. [Google Scholar] [CrossRef]
- Ogunbunmi, M.O.; Strydom, A.M. Physical and magnetic properties of frustrated triangular-lattice antiferromagnets R3Cu (R = Ce, Pr). J. Alloys Compd. 2022, 895, 162545. [Google Scholar] [CrossRef]
- Zhong, R.; Guo, S.; Cava, R.J. Frustrated magnetism in the layered triangular lattice materials K2Co(SeO3)2 and Rb2Co(SeO3)2. Phys. Rev. Mater. 2020, 4, 084406. [Google Scholar] [CrossRef]
- Deswal, S.; Kumar, D.; Rout, D.; Singh, S.; Kumar, P. Quasi-two-dimensional frustrated spin-1 triangular lattice antiferromagnet Ca3NiNb2O9: A proximate spin liquid. Phys. Rev. B 2024, 110, 024430. [Google Scholar] [CrossRef]
- Kumar, A.; Hu, N.C.; MacDonald, A.H.; Potter, A.C. Gate-tunable heavy fermion quantum criticality in a moiré Kondo lattice. Phys. Rev. B 2022, 106, L041116. [Google Scholar] [CrossRef]
- Si, Q.; Steglich, F. Heavy Fermions and Quantum Phase Transitions. Science 2010, 329, 1161–1166. [Google Scholar] [CrossRef]
- Wang, J.; Yang, Y.f. Nonlocal Kondo effect and quantum critical phase in heavy-fermion metals. Phys. Rev. B 2021, 104, 165120. [Google Scholar] [CrossRef]
- Shrestha, K.; Zhang, S.; Greene, L.H.; Lai, Y.; Baumbach, R.E.; Sasmal, K.; Maple, M.B.; Park, W.K. Spectroscopic evidence for the direct involvement of local moments in the pairing process of the heavy-fermion superconductor CeCoIn5. Phys. Rev. B 2021, 103, 224515. [Google Scholar] [CrossRef]
- Asaba, T.; Lee, S.; Seo, S.; Avers, K.E.; Thomas, S.M.; Movshovich, R.; Thompson, J.D.; Rosa, P.F.S.; Bauer, E.D.; Ronning, F. Physical properties of YbFe5P3 with a quasi-one-dimensional crystal structure. Phys. Rev. B 2021, 104, 195140. [Google Scholar] [CrossRef]
- Münzer, W.; Neubauer, A.; Adams, T.; Mühlbauer, S.; Franz, C.; Jonietz, F.; Georgii, R.; Böni, P.; Pedersen, B.; Schmidt, M.; et al. Skyrmion lattice in the doped semiconductor Fe1−xCoxSi. Phys. Rev. B 2010, 81, 041203. [Google Scholar] [CrossRef]
- Brearton, R.; Burn, D.M.; Haghighirad, A.A.; van der Laan, G.; Hesjedal, T. Three-dimensional structure of magnetic skyrmions. Phys. Rev. B 2022, 106, 214404. [Google Scholar] [CrossRef]
- Yang, S.; Zhao, Y.; Zhang, X.; Xing, X.; Du, H.; Li, X.; Mochizuki, M.; Xu, X.; Åkerman, J.; Zhou, Y. Fundamentals and applications of the skyrmion Hall effect. Appl. Phys. Rev. 2024, 11, 041335. [Google Scholar] [CrossRef]
- Divic, S.; Ling, H.; Pereg-Barnea, T.; Paramekanti, A. Magnetic skyrmion crystal at a topological insulator surface. Phys. Rev. B 2022, 105, 035156. [Google Scholar] [CrossRef]
- Mugiraneza, S.; Hallal, A.M. Tutorial: A beginner’s guide to interpreting magnetic susceptibility data with the Curie-Weiss law. Commun. Phys. 2022, 5, 95. [Google Scholar] [CrossRef]
- Liu, C.; Fan, C. Crystal structure of the λ-Al13Fe4-type intermetallic (Al,Cu)13(Fe,Cu)4. IUCrData 2018, 3, x180363. [Google Scholar] [CrossRef]
- Grin, J.; Burkhardt, U.; Ellner, M.; Peters, K. Refinement of the Fe4Al13 structure and its relationship to the quasihomological structure homotypical structures. Z. Krist. 1994, 209, 479–487. [Google Scholar]
- Ding, L.; Sapanathan, T.; Schryvers, D.; Simar, A.; Idrissi, H. On the formation of antiphase boundaries in Fe4Al13 intermetallics during a high temperature treatment. Scr. Mater. 2022, 215, 114726. [Google Scholar] [CrossRef]
- Ellner, M. Polymorphic phase transformation of Fe4Al13 causing multiple twinning with decagonal pseudo-symmetry. Acta Crystallogr. Sect. B 1995, 51, 31–36. [Google Scholar] [CrossRef]
- Zienert, T.; Leineweber, A.; Fabrichnaya, O. Heat capacity of Fe-Al intermetallics: B2-FeAl, FeAl2, Fe2Al5 and Fe4Al13. J. Alloys Compd. 2017, 725, 848–859. [Google Scholar] [CrossRef]
- Tobita, K.; Sato, N.; Kitahara, K.; Takagiwa, Y.; Kimura, K. Effect of Anomalous Crystal Structure of Iron Aluminides Fe2Al5 and Fe4Al13: Low Phonon Thermal Conductivity and Potentiality as Thermoelectric Materials. Mater. Trans. 2016, 57, 1045–1049. [Google Scholar] [CrossRef]
- Mingjian, H.; Chunzhi, L.; Minggao, Y.; Yan, J. The multiple twinning of Fe4Al13 as a heterogeneous phase in commercial AlZnMgCu alloys. Mater. Sci. Eng. 1988, 100, L23–L25. [Google Scholar] [CrossRef]
- Agrosi, G.; Manzari, P.; Mele, D.; Tempesta, G.; Rizzo, F.; Catelani, T.; Bindi, L. A naturally occurring Al-Cu-Fe-Si quasicrystal in a micrometeorite from southern Italy. Commun. Earth Environ. 2024, 5, 67. [Google Scholar] [CrossRef]
- Shechtman, D.; Blech, I.; Gratias, D.; Cahn, J.W. Metallic Phase with Long-Range Orientational Order and No Translational Symmetry. Phys. Rev. Lett. 1984, 53, 1951–1953. [Google Scholar] [CrossRef]
- He, Z.; Ma, H.; Li, H.; Li, X.; Ma, X. New type of Al-based decagonal quasicrystal in Al60Cr20Fe10Si10 alloy. Sci. Rep. 2016, 6, 22337. [Google Scholar] [CrossRef] [PubMed]
- Mihalkovič, M.; Widom, M. Spontaneous formation of thermodynamically stable Al-Cu-Fe icosahedral quasicrystal from realistic atomistic simulations. Phys. Rev. Res. 2020, 2, 013196. [Google Scholar] [CrossRef]
- Sun, B.; Pan, M.; Zhao, D.; Wang, W.; Xi, X.; Sandor, M.; Wu, Y. Aluminum-rich bulk metallic glasses. Scr. Mater. 2008, 59, 1159–1162. [Google Scholar] [CrossRef]
- Dresselhaus, M.; Dresselhaus, G.; Jorio, A. Group Theory: Application to the Physics of Condensed Matter; Springer: Berlin/Heidelberg, Germany, 2007. [Google Scholar]
- Labib, F.; Nawa, K.; Suzuki, S.; Wu, H.C.; Ishikawa, A.; Inagaki, K.; Fujii, T.; Kinjo, K.; Sato, T.J.; Tamura, R. Unveiling exotic magnetic phase diagram of a non-Heisenberg quasicrystal approximant. Mater. Today Phys. 2024, 40, 101321. [Google Scholar] [CrossRef]
- Nawa, K.; Avdeev, M.; Ishikawa, A.; Takakura, H.; Wang, C.W.; Okuyama, D.; Murasaki, R.; Tamura, R.; Sato, T.J. Magnetic properties of the quasicrystal approximant Au65Ga21Tb14. Phys. Rev. Mater. 2023, 7, 054412. [Google Scholar] [CrossRef]
- Deguchi, K.; Matsukawa, S.; Sato, N.K.; Hattori, T.; Ishida, K.; Takakura, H.; Ishimasa, T. Quantum critical state in a magnetic quasicrystal. Nat. Mater. 2012, 11, 1013. [Google Scholar] [CrossRef]
- Paglione, J.; Butch, N.P.; Rodriguez, E.E. Fundamentals of Quantum Materials; World Scientific: Singapore, 2021. [Google Scholar]
- Canfield, P.C.; Fisk, Z. Growth of single crystals from metallic fluxes. Philos. Mag. Part B 1992, 65, 1117–1123. [Google Scholar] [CrossRef]
- Shang, S.; Sun, H.; Pan, B.; Wang, Y.; Krajewski, A.M.; Banu, M.; Li, J.; Liu, Z. Forming mechanism of equilibrium and non-equilibrium metallurgical phases in dissimilar aluminum/steel (Al–Fe) joints. Sci. Rep. 2021, 11, 24251. [Google Scholar] [CrossRef] [PubMed]
- Popčević, P.; Smontara, A.; Ivkov, J.; Wencka, M.; Komelj, M.; Jeglič, P.; Vrtnik, S.; Bobnar, M.; Jagličić, Z.; Bauer, B.; et al. Anisotropic physical properties of the Al13Fe4 complex intermetallic and its ternary derivative Al13(Fe,Ni)4. Phys. Rev. B 2010, 81, 184203. [Google Scholar] [CrossRef]
- Krause, L.; Herbst-Irmer, R.; Sheldrick, G.M.; Stalke, D. Comparison of silver and molybdenum microfocus X-ray sources for single-crystal structure determination. J. Appl. Crystallogr. 2015, 48, 3–10. [Google Scholar] [CrossRef] [PubMed]
- Sheldrick, G.M. SHELXT—Integrated space-group and crystal-structure determination. Acta Crystallogr. Sect. 2015, 71, 3–8. [Google Scholar] [CrossRef]
- Sheldrick, G.M. Crystal structure refinement with SHELXL. Acta Crystallogr. Sect. C 2015, 71, 3–8. [Google Scholar] [CrossRef]
- Ullah, I.; Mehmood, S.; Ali, Z.; Rehman, G.; Khan, I.; Ahmad, I. Theoretical studies of the electronic structure and magnetic properties of aluminum-rich intermetallic alloy Al13Fe4. Int. J. Mod. Phys. B 2018, 32, 1850201. [Google Scholar] [CrossRef]
- Kresse, G.; Furthmüller, J. Efficient iterative schemes for ab initio total-energy calculations using a plane-wave basis set. Phys. Rev. B 1996, 54, 11169–11186. [Google Scholar] [CrossRef]
- Kresse, G.; Hafner, J. Ab initio molecular dynamics for liquid metals. Phys. Rev. B 1993, 47, 558–561. [Google Scholar] [CrossRef]
- Bradlyn, B.; Cano, J.; Wang, Z.; Bernevig, B.A. Topological quantum chemistry. Nature 2017, 547, 298–305. [Google Scholar] [CrossRef]
- Wu, Q.; Zhang, S.; Song, H.F.; Troyer, M.; Soluyanov, A.A. WannierTools: An open-source software package for novel topological materials. Comput. Phys. Commun. 2018, 224, 405–416. [Google Scholar] [CrossRef]
- Gille, P.; Bauer, B. Single crystal growth of Al13Co4 and Al13Fe4 from Al-rich solutions by the Czochralski method. Cryst. Res. Technol. 2008, 43, 1161–1167. [Google Scholar] [CrossRef]
- Liu, Y.; Fan, C.; Xu, Z.; Fu, R.; Wen, B.; Zhang, L. Orientation Relationship of the Intergrowth Al13Fe3 and Al13Fe4 Intermetallics Determined by Single-Crystal X-ray Diffraction. Metals 2024, 14, 463. [Google Scholar] [CrossRef]
- Hewson, A.C. The Kondo Problem to Heavy Fermions; Cambridge Studies in Magnetism; Cambridge University Press: Cambridge, UK, 1993. [Google Scholar]
- Xin, Y.; Stolt, I.; Song, Y.; Dai, P.; Halperin, W.P. RKKY coupled local-moment magnetism in NaFe1−xCuxAs. Phys. Rev. B 2021, 104, 144421. [Google Scholar] [CrossRef]
- Van Vleck, J. χ = C/(T + δ), the most overworked formula in the history of paramagnetism. Physica 1973, 69, 177–192. [Google Scholar] [CrossRef]





| T (K) | 250 | 150 | 100 |
|---|---|---|---|
| a (Å) | 15.4659(9) | 15.440(5) | 15.447(2) |
| b (Å) | 8.0759(5) | 8.067(2) | 8.0677(12) |
| c (Å) | 12.4618(7) | 12.452(4) | 12.4458(18) |
| (°) | 107.7041(9) | 107.728(4) | 107.701(2) |
| V (Å3) | 1482.78(15) | 1477.3(8) | 1477.6(4) |
| (g/cm3) | 3.858 | 3.872 | 3.871 |
| R1 | 0.0217 | 0.0219 | 0.0218 |
| wR2 | 0.0494 | 0.0504 | 0.0490 |
Disclaimer/Publisher’s Note: The statements, opinions and data contained in all publications are solely those of the individual author(s) and contributor(s) and not of MDPI and/or the editor(s). MDPI and/or the editor(s) disclaim responsibility for any injury to people or property resulting from any ideas, methods, instructions or products referred to in the content. |
© 2025 by the authors. Licensee MDPI, Basel, Switzerland. This article is an open access article distributed under the terms and conditions of the Creative Commons Attribution (CC BY) license (https://creativecommons.org/licenses/by/4.0/).
Share and Cite
Avers, K.E.; Horn, J.A.; Kumar, R.; Saha, S.R.; Zavalij, P.; Xu, Y.; Bernevig, B.A.; Paglione, J. Dilute Paramagnetism and Non-Trivial Topology in Quasicrystal Approximant Fe4Al13. Crystals 2025, 15, 485. https://doi.org/10.3390/cryst15050485
Avers KE, Horn JA, Kumar R, Saha SR, Zavalij P, Xu Y, Bernevig BA, Paglione J. Dilute Paramagnetism and Non-Trivial Topology in Quasicrystal Approximant Fe4Al13. Crystals. 2025; 15(5):485. https://doi.org/10.3390/cryst15050485
Chicago/Turabian StyleAvers, Keenan E., Jarryd A. Horn, Ram Kumar, Shanta R. Saha, Peter Zavalij, Yuanfeng Xu, Bogdan Andrei Bernevig, and Johnpierre Paglione. 2025. "Dilute Paramagnetism and Non-Trivial Topology in Quasicrystal Approximant Fe4Al13" Crystals 15, no. 5: 485. https://doi.org/10.3390/cryst15050485
APA StyleAvers, K. E., Horn, J. A., Kumar, R., Saha, S. R., Zavalij, P., Xu, Y., Bernevig, B. A., & Paglione, J. (2025). Dilute Paramagnetism and Non-Trivial Topology in Quasicrystal Approximant Fe4Al13. Crystals, 15(5), 485. https://doi.org/10.3390/cryst15050485

