Next Article in Journal
Machine-Learning-Driven Analysis of Wear Loss and Frictional Behavior in Magnesium Hybrid Composites
Previous Article in Journal
Shape-Engineering and Mechanism Investigation of AgCl Microcrystals
 
 
Font Type:
Arial Georgia Verdana
Font Size:
Aa Aa Aa
Line Spacing:
Column Width:
Background:
Article

Numerical Insights into Wide-Angle, Phase-Controlled Optical Absorption in a Single-Layer Vanadium Dioxide Structure

1
Key Laboratory of Optoelectronic Devices and Systems of Ministry of Education and Guangdong Province, College of Physics and Optoelectronic Engineering, Shenzhen University, Shenzhen 518060, China
2
THz Technology Laboratory, Shenzhen Key Laboratory of Micro-Nano Photonic Information Technology, Shenzhen University, Shenzhen 518060, China
3
Department of Physics, University of Poonch Rawalakot, Rawalakot 12350, Pakistan
4
Department of Electrical Engineering, University of Poonch Rawalakot, Rawalakot 12350, Pakistan
*
Authors to whom correspondence should be addressed.
Crystals 2025, 15(5), 450; https://doi.org/10.3390/cryst15050450
Submission received: 16 March 2025 / Revised: 2 May 2025 / Accepted: 7 May 2025 / Published: 10 May 2025
(This article belongs to the Section Inorganic Crystalline Materials)

Abstract

Vanadium dioxide (VO2) is a well-known phase-change material that exhibits a thermally driven insulator-to-metal transition (IMT) near 68 °C, leading to significant changes in its electrical and optical properties. This transition is governed by structural modifications in the VO2 crystal lattice, enabling dynamic control over absorption, reflection, and transmission. Despite its promising tunability, VO2-based optical absorbers face challenges such as a narrow IMT temperature window, intrinsic optical losses, and fabrication complexities associated with multilayer designs. In this work, we propose and numerically investigate a single-layer VO2-based optical absorber for the visible spectrum using full-wave electromagnetic simulations. The proposed absorber achieves nearly 95% absorption at 25 °C (insulating phase), which drops below 5% at 80 °C (metallic phase), demonstrating exceptional optical tunability. This behavior is attributed to VO2’s high refractive index in the insulating state, which enhances resonant light trapping. Unlike conventional multilayer absorbers, our single-layer VO2 design eliminates structural complexity, simplifying fabrication and reducing material costs. These findings highlight the potential of VO2-based crystalline materials for tunable and energy-efficient optical absorption, making them suitable for adaptive optics, smart windows, and optical switching applications. The numerical results presented in this study contribute to the ongoing development of crystal-based phase-transition materials for next-generation reconfigurable photonic and optoelectronic devices.

1. Introduction

Vanadium dioxide (VO2) is a widely studied phase-change material that undergoes a thermally driven insulator-to-metal transition (IMT) at approximately 68 °C, making it highly suitable for tunable thermal sensors, memory devices, and other energy storage applications [1,2,3,4,5]. These properties are driven by structural changes in the VO2 crystal lattice, specifically the shift from a monoclinic insulating phase to a rutile metallic phase [6,7]. This phase transition leads to dramatic shifts in the optical properties of VO2, which have enabled the development of tunable metamaterial devices, particularly in the near-infrared regime [8]. These phase-driven changes also significantly impact conductivity and other physical properties, allowing real-time control over light absorption, reflection, and transmission across various wavelength ranges [9,10]. The capability of VO2 to dynamically alter its optical properties has driven significant exploration into its use in adaptive coatings, tunable photonic systems, thermochromic windows, and advanced optoelectronic technologies [11,12,13,14].
Despite these advantages, traditional VO2-based optical absorbers face several challenges. Numerous designs depend on bulk films or multilayered architectures, which introduce challenges such as intricate fabrication processes, higher material expenses, and limited scalability [15,16]. Additionally, achieving precise control over the phase transition demands sophisticated thermal management, which hinders practical implementation. Intrinsic optical losses in both the insulating and metallic phases further diminish absorption efficiency, impacting overall device performance [17,18]. Furthermore, the narrow temperature range of the insulator-to-metal transition (IMT) at 68 °C restricts operational flexibility, requiring meticulous tuning for real-world applications. Recent progress in thin-film and nanostructured VO2 materials has unlocked new opportunities for monolayer VO2 absorbers, enabling substrate-independent functionality and improved tunability [19,20]. In this work, we present a detailed numerical study of the optical performance of a monolayer VO2 absorber, employing full-wave simulations to analyze its tunability in the visible spectrum. By leveraging the intrinsic phase-transition characteristics of the VO2 crystal lattice, monolayer VO2 can function as an efficient, energy-responsive optical absorber in the visible spectrum (400–700 nm) [9,21]. Additionally, the substrate-free design of the proposed absorber improves its versatility, enabling seamless integration into various optical systems without compromising performance [11]. The numerical results provide substrate independent insight into absorption behavior under varying thermal conditions, supporting the design of efficient, reconfigurable optical devices. These advancements contribute to ongoing efforts in developing tunable, energy-efficient optical materials, paving the way for future experimental validation and practical applications in fields such as thermal camouflage, optical modulation, and high-speed photonic switching [13,22,23]. The primary contributions of this work include.
  • Development of a Monolayer VO2-Based Optical Absorber for the Visible Spectrum: This study introduces a simplified, single-layer VO2 optical absorber that eliminates the need for intricate structural designs while delivering high-contrast optical switching performance. The absorber achieves an impressive 95% absorption in the insulating phase at 25 °C and drops to less than 20% absorption in the metallic phase at 80 °C, showcasing remarkable tunability across the visible spectrum. These findings are supported by full-wave numerical simulations that model the thermally induced optical behavior of VO2.
  • The substrate-independent design enhances its flexibility, making it adaptable to diverse environments and simplifying substrate independent integration into various systems. Built on bulk film technology, the design is scalable, allowing it to be tailored for a wide range of application-specific solutions. The numerical framework also enables predictive modeling across a variety of structural and environmental conditions.
  • The design leverages the intrinsic phase-transition properties of VO2, enabling dynamic optical modulation with high efficiency. As a simplified single-layer structure, it offers ease of fabrication and reduced production costs, making it highly suitable for applications in catalysis, energy storage, thermoelectric devices, and high-speed optical switching. Simulation results confirm consistent modulation performance across the target wavelength range, validating the absorber’s application potential.
In summary, our work presents several distinguishing features that set it apart from existing studies on phase-change optical absorbers. While many prior efforts have focused on conventional multilayer structures or GST-based platforms, our approach centers on a simplified, tunable, and scalable design. The novelty of our work lies in both the material configuration and performance-driven design methodology, as outlined below:
  • We focus on substrate-independent, monolayer VO2 designs for minimal-cost, scalable fabrication.
  • Unlike many prior studies relying on GST or bulk VO2 films, our design emphasizes thin-film, patterned monolayers, enhancing field confinement and device responsiveness.
  • We compare multiple geometric patterns (rectangular, circular, Y-splitter, and cross-shaped), demonstrating design versatility and performance tunability—an aspect not systematically analyzed in previous works.
  • The absorption contrast and extinction ratio achieved in our work (9.7 and 37.45 dB, respectively) surpass many reported values for similar devices [24,25].
  • Simulations conducted across various incident and polarization angles, revealing that the absorption remains nearly unchanged. This angular and polarization insensitivity highlights the robustness and versatility of the proposed optical switch for practical applications.
The next section gives a good overview of the design of phase-drive optical absorption in monolayer VO2. Section 3 presents the simulation and performance analysis of the design and Section 4 concludes the paper.

2. Device Design and Simulation

In simulation, we measured absorption at various temperatures to see its impact on optical response. The final analysis of the results shows how VO2’s absorption changes as the device changes from insulating to the metallic state, a necessary condition for the design of energy devices. The two main components i.e., the optical response and phase transitions are analyzed for their use in various applications. In this section, the device design and some of the initial simulation setup are discussed to help the study of temperature variation-based absorption in VO2. In next, we briefly discuss simulation methodology and device design for phase-drive optical absorption in monolayer VO2.

2.1. Simulation Methodology

The numerical simulations in this study were conducted using Lumerical FDTD Solutions, a finite-difference time-domain based software widely used for nanophotonic device modeling [26]. The aim was to investigate the absorption characteristics of a monolayer vanadium dioxide (VO2) absorber operating in the visible spectrum (400–700 nm) at different temperatures corresponding to its insulating and metallic phases.

2.1.1. Simulation Setup

A plane wave source was used to illuminate the structure from the top along the z-direction, propagating perpendicular to the VO2 monolayer. The simulation domain was defined to match the physical dimensions of the monolayer structure. Periodic boundary conditions were applied along the x and y directions to simulate an infinite metasurface, while Perfectly Matched Layers (PML) were used along the z-direction to absorb outgoing waves. A fine mesh size of 0.001 μ m was used throughout the domain to ensure accurate field resolution. A frequency-domain field and power monitor was placed above and below the VO2 monolayer to collect reflection (R) and transmission (T) data. Absorption (A) was calculated using the following formula:
A ( λ ) = 1 R ( λ ) T ( λ ) .
A non-uniform mesh override was used in the VO2 layer region with a minimum mesh step size of 1 nm to accurately capture the steep spatial variations in the electromagnetic field. The simulation time was automatically determined by the software to ensure full decay of the fields, and convergence was verified by ensuring that results did not vary with finer meshing.

2.1.2. Optical Modeling of VO2

VO2 was modeled as a temperature-dependent dispersive material. At 25 °C (insulating state) and 80 °C (metallic state), the real (n) and imaginary (k) parts of the refractive index were assigned using experimental data reported by Verleur et al. [27]. These complex optical constants were imported as a material data file and fitted using multi-coefficient models within Lumerical to ensure accurate dispersion across the visible range. To simulate the IMT, the material properties of VO2 were switched between the insulating and metallic datasets. A variety of bifunctional metasurfaces leveraging this phase-dependent behavior of VO2, such as polarization control and diode-like transmission—have also been proposed using grid-based configurations that do not require metallic inclusions [28], further demonstrating the versatility of VO2 in tunable photonic applications. No substrate or encapsulation layer was used in this design to highlight the independent optical response of the freestanding VO2 monolayer.

2.2. Device Design, Simulation, and Performance Analysis

The design consists of a thickness of 0.1 μ m single layer VO2 with a same width and length of 8 μ m. The full-wave field solver FDTD is used with a plane wave source to excite the VO2 layer. The plane wave excitation helps in uniform excitation of the device. The absorption is calculated using (1). This design helps to directly evaluate the phase transition and its effect on the optical absorption of the monolayer. Overall, in the simulation, we measured absorption at various temperatures to evaluate its impact on the optical response. The final analysis highlights how VO2’s absorption evolves as the material transitions from the insulating to the metallic state, a critical characteristic for the design of energy-efficient devices. Recent work has demonstrated that nanometer-thick patterned VO2 films can support frequency-tunable absorption while maintaining visible-infrared transparency, further supporting their potential in a broad range of photonic applications [29].

3. Phase-Driven Optical Absorption: Simulation and Performance Analysis

To evaluate the performance of the proposed single-layer VO2 absorber, we analyze its structural design and optical response. The absorber’s functionality relies on the insulator-to-metal transition (IMT) of VO2, which enables dynamic modulation of light absorption. By leveraging VO2’s high refractive index in the insulating phase, the design maximizes light trapping and absorption, making it highly efficient in the visible spectrum. The following section presents a detailed examination of the absorber’s structure and optical properties, illustrating its tunable absorption behavior across different temperatures. Figure 1a,b provide a three-dimensional schematic of the single-layer VO2 absorber. The VO2 layer, with a thickness of 0.1 μ m, is the active component responsible for absorption. The design does not include a substrate to illustrate its optical independence. The schematic highlights the absorber’s simplicity compared to multilayer structures while emphasizing VO2’s unique properties. The physics behind this design lies in VO2’s high refractive index and phase transition. In its insulating state, VO2 traps light via resonances within the thin layer, maximizing absorption. This visualization aids in understanding the physical configuration of the absorber and its feasibility for fabrication. This Figure 1c highlights the tunable optical absorption of the VO2 absorber across the visible wavelength range (400–800 nm) at two key temperatures: 25 °C (insulating phase) and 80 °C (metallic phase). At 25 °C, the material’s insulating state exhibits a high refractive index and significant optical losses due to strong light-matter interactions, resulting in nearly 95% absorption in the visible range. At 80 °C, the phase transition to the metallic state significantly reduces optical losses, and the material becomes highly reflective, reducing average absorption around 20%. The physics underpinning this behavior is the thermally driven IMT, where the electronic structure of VO2 changes, altering its optical constants. This figure highlights the absorber’s ability to dynamically modulate light absorption, demonstrating its potential for applications like optical switches.
Figure 2a presents the effect of VO2 layer thickness on absorption efficiency across the visible spectrum at 25 °C (insulating phase). The simulation results for thicknesses ranging from 0.05 μ m to 0.10 μ m demonstrate a gradual increase in absorption with layer thickness, with a notable rise observed at 0.09 μ m and 0.10 μ m, where absorption exceeds 80%. This highlights the strong influence of thickness on optical performance. For thinner layers (0.05 μ m to 0.08 μ m), overlapping absorption peaks are observed, indicating similar spectral behavior within this range. The VO2 exhibits high optical conductivity, leading to no variation in absorption with increasing thickness. This behavior can be attributed to the material’s strong free-electron response, which results in a shallow skin depth, typically in the range of a few nanometers. Once the VO2 layer exceeds this certain thicknesses, additional thickness does not contribute significantly to absorption, as most incident light is transmitted through structure within the initial few nanometers. Figure 2b illustrates the absorption spectra of the VO2 absorber in its metallic state at 80 °C. The results reveal a relatively constant absorption level across all tested thicknesses, indicating that, in the metallic phase, variations in layer thickness have minimal impact on the absorber’s performance in this design. Moreover, the high negative real permittivity in the metallic phase enhances reflectivity, further suppressing absorption variations. Unlike the insulating phase, where interference effects influence absorption, the metallic phase exhibits strong reflection, leading to absorption saturation beyond a certain thickness threshold. This phenomenon indicates that for tunable absorption control, alternative approaches such as structural engineering, doping, or metasurface integration may be required to achieve a more pronounced thickness-dependent response in the metallic state.
The proposed structure was also simulated using VO2 on a silver (Ag) substrate, and VO2 on a gallium arsenide (GaAs) substrate as shown in Figure 3. The results show minimal variation in the absorption response across all cases, confirming that the device operates independently of the underlying substrate. This confirms the substrate-independent nature of the proposed design, enabling seamless integration with diverse platforms while maintaining optical performance. However, there are indeed physical scenarios where the substrate or spacer material can significantly influence absorption efficiency. Factors such as substrate thickness, refractive index contrast, and resonance conditions in multilayer structures can lead to substantial variations in optical response.
To study the Effect of geometric variation on absorption performance. The proposed VO2-based absorber was simulated using three different geometries: (i) Original rectangular structure, (ii) Circular ring, and (iii) Y-splitter. The circular ring geometry exhibits nearly identical absorption behavior compared to the original structure, demonstrating geometric robustness. The Y-splitter configuration results in a slightly reduced absorption (≈78%) due to altered field confinement and interaction area. These results shown in Figure 4 confirm that the absorber maintains effective performance across multiple structural designs, enhancing its versatility and design flexibility.
When varying the incident angle from 20° to 80°, the absorption behavior of the monolayer VO2-based optical absorber exhibits distinct characteristics. Initially, at lower angles, the absorption remains 85% across the 0.4 μ m to 8 μ m wavelength range as shown in Figure 5a. As the incident angle increases to 40° and 60°, there is a slight decrease of about 5%, yet the absorption does not drop below 80%. However, at 80°, the absorption remains consistently 85% from 0.4 μ m to 0.74 μ m, but a sharp dip near zero absorption appears at 0.75 μ m to 0.8 μ m. This phenomenon is attributed to the angular dependence of the optical path length and interference effects. At smaller angles, the interaction between the incident light and the VO2 monolayer remains strong due to efficient coupling. As the angle increases, slight deviations in the absorption occur due to changes in the effective optical path and reflectance. However, at 80°, the significant reduction in absorption near 0.75–0.8 μ m suggests the presence of an angle-dependent Brewster-like effect or destructive interference, where the incident light undergoes phase cancellation due to reflection-dominated losses at specific wavelengths. This behavior highlights the critical role of angular tuning in optimizing the performance of phase-driven optical absorbers.
The absorption remains nearly angle-independent up to an incident angle of 70°, demonstrating the robustness of the designed structure against angular variations. However, at 80°, the significant reduction in absorption near 0.75–0.8 μ m suggests the presence of an angle-dependent Brewster-like effect or destructive interference, where the incident light undergoes phase cancellation due to reflection-dominated losses at specific wavelengths. This behavior highlights the critical role of angular tuning in optimizing the performance of phase-driven optical absorbers.
The absorption characteristics of the VO2 monolayer remain unchanged with variations in polarization angle, indicating the system’s polarization insensitivity as shown in Figure 5b. This behavior arises due to the intrinsic symmetry and homogeneous nature of the monolayer structure, which ensures that both TE (Transverse Electric) and TM (Transverse Magnetic) modes interact similarly with the material. In conventional optical absorbers, polarization sensitivity is often observed in anisotropic or structured metamaterials, where the electromagnetic response varies with the electric field orientation. However, in this case, the monolayer VO2 absorber exhibits an isotropic response, meaning that regardless of the polarization state, the effective absorption remains stable across the wavelength range. This robustness to polarization variations makes the design highly practical for real-world applications, ensuring consistent performance under un-polarized or randomly polarized light sources.
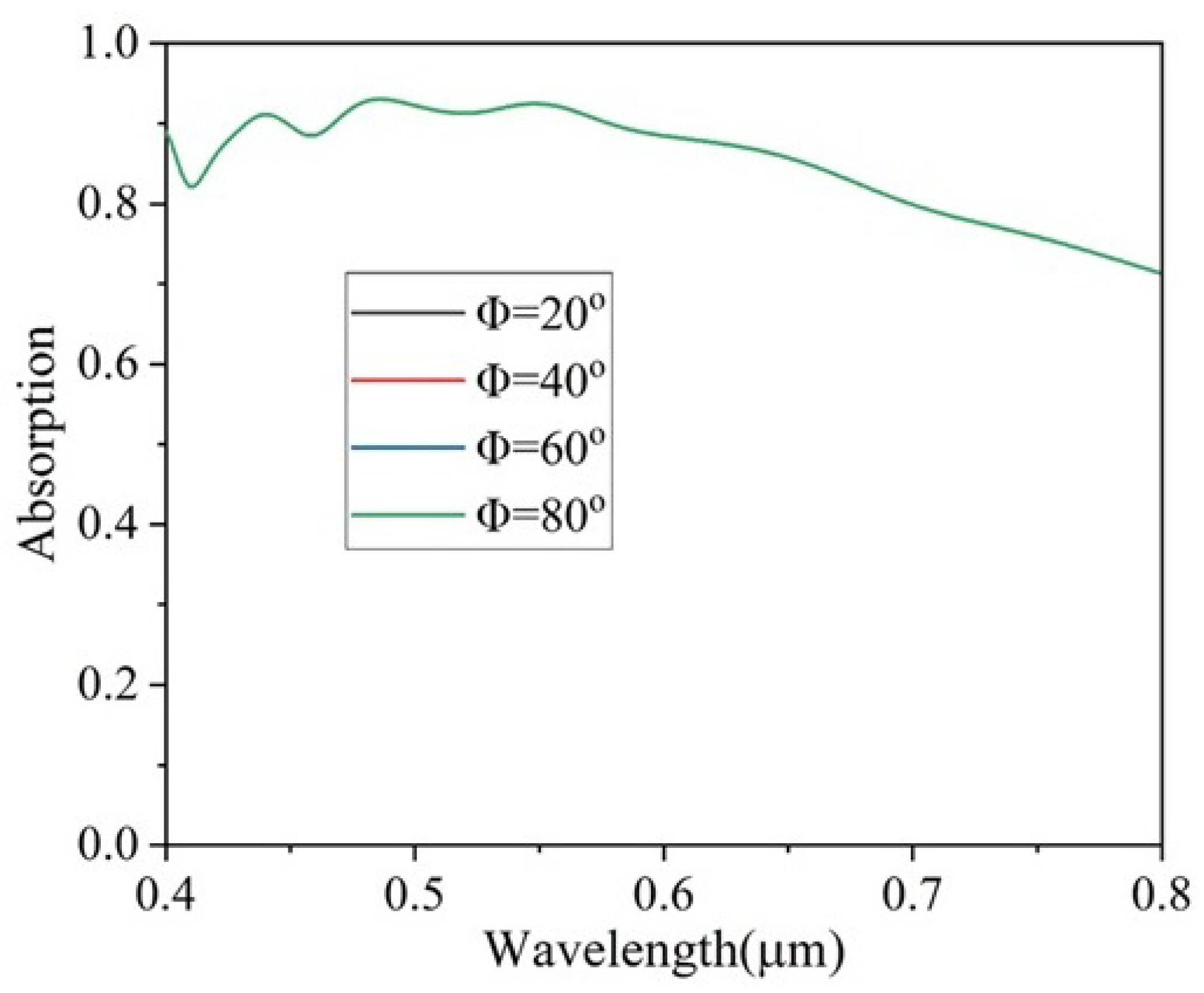
The absorption characteristics of the VO2 monolayer also remain unchanged with variations in the azimuthal angle ( Φ ), confirming its angular isotropy as shown in Figure 6. This behavior is expected for a uniform and continuous monolayer structure, where the optical response is independent of in-plane rotational changes. In structured or anisotropic metamaterials, absorption can vary with Φ due to asymmetry in the material pattern or periodicity. However, in this case, since the VO2 monolayer lacks any structural anisotropy in the plane, the incident light experiences the same interaction regardless of Φ . This isotropic absorption ensures stable performance for various light incidence directions, making the absorber highly effective for practical applications where random or varying light orientations are encountered. Now the absorption spectra with respect to temperature has been discussed. As the temperature increases, the absorption of the VO2 monolayer gradually decreases, exhibiting a significant drop as the phase transition progresses as shown in Figure 7. In the lower-temperature regime, where VO2 remains in its insulating state, the material supports strong optical absorption due to its high dielectric permittivity and minimal free carrier contribution. However, as the temperature approaches the phase transition threshold, VO2 begins to exhibit a mixed-phase behavior, where both insulating and metallic domains coexist, leading to a moderate reduction in absorption. At higher temperatures, when VO2 fully transitions into its metallic state, the material develops a plasmonic response, significantly increasing reflection and transmission while suppressing absorption. This transition results in a drastic drop in absorption, particularly near the critical temperature, where the material effectively behaves as a low-loss metal, preventing efficient energy dissipation. This phase-driven absorption control is a key feature of VO2-based tunable optical devices, enabling temperature-dependent modulation of light absorption for reconfigurable photonic applications. The temperature dependence of VO2 dielectric permittivity is expressed as [30]:
ε V O 2 ( T ) = f ( T ) ε ins + [ 1 f ( T ) ] ε metal .
Here, ε ins and ε metal denote the dielectric permittivities corresponding to the insulating and metallic phases of VO2, respectively. Note that the real part of the permittivity of VO2 is indeed positive in both phases in the visible range, while in the mid-infrared range, the real part of the permittivity becomes negative in the metallic phase, reflecting its plasmonic behavior. The f ( T ) in (2) represents a temperature-dependent weighting function that governs the gradual transition between these two optical states [22]. The function f ( T ) is defined as follows:
f ( T ) = 1 exp T T c B · T c + 1 .
In this expression, T represents the instantaneous temperature, T c is the critical temperature at which the phase transition occurs, and B is a parameter that determines the sharpness or breadth of the transition region. Note that the function has a Fermi–Dirac-like distribution that governs the energy states in thermodynamic distributions.
In comparing with other published work on absorption, while Currie et al. [22] demonstrated tunable optical properties of ultrathin VO2 films deposited via atomic layer deposition (ALD) on sapphire, their design mainly focused on characterizing refractive index transitions and showed moderate absorptance variations, primarily in the infrared range using a passive substrate-backed configuration. In contrast, the proposed monolayer VO2-based absorber operates without a substrate and leverages the phase transition of VO2 to achieve dynamic and broadband absorption switching in the visible spectrum (400–700 nm). Specifically, the structure achieves a high absorption state of 95% at room temperature and drops below 20% at elevated temperatures (80 °C). This enhanced absorption control in a simpler, more compact geometry demonstrates superior efficiency, design flexibility, and integration potential for nanoscale photonic systems. Furthermore, the absence of a substrate in the proposed design avoids parasitic reflections and substrate-mode interactions, offering cleaner and more controllable optical responses features that are limited in substrate-supported designs [22].
Figure 8a,b plot the refractive indices of VO2 at different temperatures computed at normal incidence ( θ = 0 ) . One can see that when the temperature is well below the phase transition point T c , VO2 behaves consistently as a low-loss dielectric, while as the temperature reaches T c and beyond, VO2 transforms gradually into a highly lossy metal. The refractive index data of VO2 as a function of temperature, shown in Figure 8, provides critical insight into the phase-dependent optical response of the material. The refractive index real part increases significantly with temperature, particularly at longer wavelengths, indicating a shift from a dielectric to a metallic-like behavior. Simultaneously, the imaginary part (k) rises, especially beyond 2000 nm, confirming enhanced free carrier absorption in the metallic phase. At lower temperatures, VO2 remains in its insulating state, characterized by moderate n and low k, enabling strong absorption. However, as the temperature increases, the transition towards the metallic phase leads to higher reflection and reduced absorption, which is consistent with the observed decrease in absorption in our designed optical absorber. The substantial increase in k at 70 °C and 80 °C demonstrates the dominance of free carrier effects, leading to suppressed absorption due to reflection losses. This temperature-dependent modulation of the refractive index further validates the phase-driven tunability of VO2-based absorbers, making them suitable for adaptive photonic applications.
Figure 9 illustrates the electric field (E-field) and magnetic field (H-field) distributions at two different temperatures, 25 °C (left) and 80 °C (right). At 25 °C, when VO2 is in its insulating state, the E and H-fields exhibit a uniformly strong distribution, indicating efficient coupling and absorption of incident light. The high field intensity, as shown by the red regions, confirms that electromagnetic energy is effectively confined within the structure, resulting in strong absorption. However, at 80 °C, when VO2 transitions into its metallic phase, the field distributions change significantly as displayed in Figure 9b,d. The presence of layered interference patterns in both the E-field and H-field indicates increased reflection and reduced absorption due to the metallic nature of VO2. This transformation occurs because, in the metallic phase, VO2 exhibits a higher free carrier concentration, leading to enhanced optical reflection and a decrease in field penetration. The formation of standing wave patterns further confirms that incident light is primarily reflected rather than absorbed. This analysis directly correlates with the absorption spectra, demonstrating that as temperature increases, the material shifts from a high-absorption state to a low-absorption state. The observed field behavior reinforces the temperature-driven tunability of VO2, making it a promising material for adaptive photonic applications, including tunable absorbers and thermal control devices.
Figure 9 visualizes the spatial distribution of the E and H fields within the VO2 layer at both temperature states. At 25 °C, the insulating phase supports strong field localization within the VO2 layer, indicative of resonant absorption due to constructive interference and light trapping as shown in Figure 9a,c. This behavior stems from VO2’s high refractive index, which enhances the interaction between the incident light and the material. At 80 °C, the metallic phase suppresses field localization due to increased reflectivity and lower optical losses, consistent with reduced absorption. The E- and H-field maps provide a physical understanding of the absorber’s performance by showing how the phase transition affects light-matter interactions.

4. Conclusions

VO2-based optical absorber is designed and analyzed that controls the IMT to achieve active control over light absorption in the visible spectrum. We demonstrated through simulations that in the insulating state, the device demonstrates high absorption (95%) at 25 °C and in its metallic state, low absorption (<20%) at 80 °C, confirming its exceptional tunability. This single-layer design, unlike conventional multilayer absorbers, eliminates structural complexity, simplifying manufacture and reducing material costs, making it more suitable for various photonic applications. The findings of this work highlight the potential of VO2 crystalline materials for tunable optical absorption, with promising applications in adaptive optics, smart windows, and optical switching technologies. Future research will focus on the experimental validation of these designs, particularly examining how oxidation conditions, material morphology, and deposition methods affect performance. Additionally, strain engineering, elemental doping, and nano-structuring will be explored to further enhance optical control, broaden operational bandwidth, and introduce tunable or multi-state switching functionalities. By overcoming fabrication challenges and demonstrating efficient phase-driven absorption control, this study contributes to the advancement of next-generation reconfigurable photonic and optoelectronic devices.

Author Contributions

Conceptualization, A.P. and A.I.; methodology, M.A.; software, A.P.; validation, A.P., A.I. and M.A.; formal analysis, D.T. and S.A.; data curation, Z.O.; supervision, K.T. and Z.O. All authors have read and agreed to the published version of the manuscript.

Funding

This research was funded by the National Natural Science Foundation of China [Grant Nos. 61275043, 61107049]. Moreover, it was partially funded by the Natural Science Foundation of Guangdong Province [Grant No. 2020A1515011154]; and the Natural Science Foundation of Shenzhen City [Grant Nos. JCYJ20170302151033006, JCYJ20190808151017218].

Data Availability Statement

Data will be availiable upon request.

Conflicts of Interest

The authors declare no conflict of interest.

References

  1. Ke, Y.; Wang, S.; Liu, G.; Li, M.; White, T.J.; Long, Y. Vanadium dioxide: The multistimuli responsive material and its applications. Small 2018, 14, 1802025. [Google Scholar] [CrossRef]
  2. Morin, F. Oxides which show a metal-to-insulator transition at the Neel temperature. Phys. Rev. Lett. 1959, 3, 34. [Google Scholar] [CrossRef]
  3. Goodenough, J.B. The two components of the crystallographic transition in VO2. J. Solid State Chem. 1971, 3, 490–500. [Google Scholar] [CrossRef]
  4. Zhang, Y.; Xiong, W.; Chen, W.; Zheng, Y. Recent progress on vanadium dioxide nanostructures and devices: Fabrication, properties, applications and perspectives. Nanomaterials 2021, 11, 338. [Google Scholar] [CrossRef]
  5. Shin, S.; Suga, S.; Taniguchi, M.; Fujisawa, M.; Kanzaki, H.; Fujimori, A.; Daimon, H.; Ueda, Y.; Kosuge, K.; Kachi, S. Vacuum-ultraviolet reflectance and photoemission study of the metal-insulator phase transitions in VO2, V6O13, and V2O3. Phys. Rev. B 1990, 41, 4993. [Google Scholar] [CrossRef]
  6. Lee, S.; Hippalgaonkar, K.; Yang, F.; Hong, J.; Ko, C.; Suh, J.; Liu, K.; Wang, K.; Urban, J.J.; Zhang, X.; et al. Anomalously low electronic thermal conductivity in metallic vanadium dioxide. Science 2017, 355, 371–374. [Google Scholar] [CrossRef]
  7. Manning, T.D.; Parkin, I.P.; Pemble, M.E.; Sheel, D.; Vernardou, D. Intelligent window coatings: Atmospheric pressure chemical vapor deposition of tungsten-doped vanadium dioxide. Chem. Mater. 2004, 16, 744–749. [Google Scholar] [CrossRef]
  8. Dicken, M.J.; Aydin, K.; Pryce, I.M.; Sweatlock, L.A.; Boyd, E.M.; Walavalkar, S.; Ma, J.; Atwater, H.A. Frequency tunable near-infrared metamaterials based on VO2 phase transition. Opt. Express 2009, 17, 18330–18339. [Google Scholar] [CrossRef]
  9. Chen, M.; Pang, D.; Chen, X.; Yan, H.; Yang, Y. Passive daytime radiative cooling: Fundamentals, material designs, and applications. EcoMat 2022, 4, e12153. [Google Scholar] [CrossRef]
  10. Wang, Z.; Kim, S.K.; Hu, R. Self-switchable radiative cooling. Matter 2022, 5, 780–782. [Google Scholar] [CrossRef]
  11. Kim, J.; Ko, C.; Frenzel, A.; Ramanathan, S.; Hoffman, J.E. Nanoscale imaging and control of resistance switching in VO2 at room temperature. Appl. Phys. Lett. 2010, 96, 213106. [Google Scholar] [CrossRef]
  12. Zhou, Y.; Ramanathan, S. Mott memory and neuromorphic devices. Proc. IEEE 2015, 103, 1289–1310. [Google Scholar] [CrossRef]
  13. Samizadeh Nikoo, M.; Soleimanzadeh, R.; Krammer, A.; Migliato Marega, G.; Park, Y.; Son, J.; Schueler, A.; Kis, A.; Moll, P.J.; Matioli, E. Electrical control of glass-like dynamics in vanadium dioxide for data storage and processing. Nat. Electron. 2022, 5, 596–603. [Google Scholar] [CrossRef]
  14. Parveen, A.; Tyagi, D.; Laxmi, V.; Ahmad, F.; Anwar, S.; Tao, K.; Ouyang, Z. Tunable mid-infrared broadband absorption in the atmospheric window of wavelength in 3–5 μm using VO2 phase transition in a three-layer metamaterial. Opt. Mater. 2024, 153, 115590. [Google Scholar] [CrossRef]
  15. Wei, H.; Yan, X.; Gu, J.; Ren, F.; Dong, X.; Guan, H.; Geng, C.; Liang, S.; Fan, Q.; Li, L.; et al. A universal approach to fabricating infrared-shielding smart coatings based on vanadium dioxide. Sol. Energy Mater. Sol. Cells 2022, 241, 111728. [Google Scholar] [CrossRef]
  16. Hong, X.; Yang, Y.; Chen, H.; Tao, Q. Design, fabrication and energy-saving evaluation of five-layer structure based transparent heat mirror coatings for windows application. In Proceedings of the Building Simulation; Springer: Berlin/Heidelberg, Germany, 2023; Volume 16, pp. 2333–2342. [Google Scholar]
  17. Zhong, M. A multi-band metamaterial absorber based on VO2 layer. Opt. Laser Technol. 2021, 139, 106930. [Google Scholar] [CrossRef]
  18. Liu, Z.M.; Li, Y.; Zhang, J.; Huang, Y.Q.; Li, Z.P.; Pei, J.H.; Fang, B.Y.; Wang, X.H.; Xiao, H. Design and fabrication of a tunable infrared metamaterial absorber based on VO2 films. J. Phys. D Appl. Phys. 2017, 50, 385104. [Google Scholar] [CrossRef]
  19. Houska, J. Design and reactive magnetron sputtering of thermochromic coatings. J. Appl. Phys. 2022, 131, 110901. [Google Scholar] [CrossRef]
  20. Rezek, J.; Szelwicka, J.; Vlček, J.; Čerstvỳ, R.; Houška, J.; Fahland, M.; Fahlteich, J. Transfer of the sputter technique for deposition of strongly thermochromic VO2-based coatings on ultrathin flexible glass to large-scale roll-to-roll device. Surf. Coat. Technol. 2022, 442, 128273. [Google Scholar] [CrossRef]
  21. Mellan, T.A.; Grau-Crespo, R. Density functional theory study of rutile VO2 surfaces. J. Chem. Phys. 2012, 137, 154706. [Google Scholar] [CrossRef]
  22. Currie, M.; Mastro, M.A.; Wheeler, V.D. Characterizing the tunable refractive index of vanadium dioxide. Opt. Mater. Express 2017, 7, 1697–1707. [Google Scholar] [CrossRef]
  23. Tyagi, D.; Laxmi, V.; Irshad, A.; Parveen, A.; Alam, M.; Tian, Y.; Ouyang, Z. Near-Infrared to T-Ray Frequency Conversion Using Kagome Photonic Crystal Resonators. Nanomaterials 2025, 15, 663. [Google Scholar] [CrossRef]
  24. He, J.; Zhang, M.; Shu, S.; Yan, Y.; Wang, M. VO2 based dynamic tunable absorber and its application in switchable control and real-time color display in the visible region. Opt. Express 2020, 28, 37590–37599. [Google Scholar] [CrossRef] [PubMed]
  25. Liang, J.; Hou, L.; Li, J. Frequency tunable perfect absorber in visible and near-infrared regimes based on VO2 phase transition using planar layered thin films. J. Opt. Soc. Am. B 2016, 33, 1075–1080. [Google Scholar] [CrossRef]
  26. Taflove, A. The Finite Difference Time Domain Method; Artech House: Boston, MA, USA, 1995. [Google Scholar]
  27. Verleur, H.W.; Barker Jr, A.; Berglund, C. Optical properties of VO2 between 0.25 and 5 eV. Phys. Rev. 1968, 172, 788. [Google Scholar] [CrossRef]
  28. Zhang, Y.; Lu, Z.; Tan, J. Visible–infrared transparent ultra-thin frequency-tunable microwave absorber based on a nanometer-thick patterned VO2 film. ACS Appl. Nano Mater. 2023, 6, 15741–15748. [Google Scholar] [CrossRef]
  29. Serebryannikov, A.E.; Lakhtakia, A.; Ozbay, E. Thermally switchable, bifunctional, scalable, mid-infrared metasurfaces with VO2 grids capable of versatile polarization manipulation and asymmetric transmission. Opt. Mater. Express 2022, 12, 4594–4605. [Google Scholar] [CrossRef]
  30. Kepic, P.; Ligmajer, F.; Hrton, M.; Ren, H.; Menezes, L.d.S.; Maier, S.A.; Sikola, T. Optically tunable Mie resonance VO2 nanoantennas for metasurfaces in the visible. ACS Photonics 2021, 8, 1048–1057. [Google Scholar] [CrossRef]
  31. Lei, L.; Lou, F.; Tao, K.; Huang, H.; Cheng, X.; Xu, P. Tunable and scalable broadband metamaterial absorber involving VO2-based phase transition. Photonics Res. 2019, 7, 734–741. [Google Scholar] [CrossRef]
Figure 1. Crystal structure of VO2 in the monoclinic (insulating) phase (a) and rutile (metallic) phase (b) at temperatures below 68 °C and 80 °C respectively. (c) Optical repose of VO2 monolayer absorber showing insulating and metallic phase.
Figure 1. Crystal structure of VO2 in the monoclinic (insulating) phase (a) and rutile (metallic) phase (b) at temperatures below 68 °C and 80 °C respectively. (c) Optical repose of VO2 monolayer absorber showing insulating and metallic phase.
Crystals 15 00450 g001
Figure 2. Absorption spectra of the single-layer VO2 absorber for different thicknesses in the visible to near-infrared range (0.4–0.8 μ m). (a) Absorption variation at 25 °C (insulating state) for VO2 layer thicknesses ranging from 0.05 μ m to 0.10 μ m. (b) Absorption variation when temperature is 80 ° (insulating state) for V O 2 layer thicknesses ranging from 0.05 μ m to 0.10 μ m.
Figure 2. Absorption spectra of the single-layer VO2 absorber for different thicknesses in the visible to near-infrared range (0.4–0.8 μ m). (a) Absorption variation at 25 °C (insulating state) for VO2 layer thicknesses ranging from 0.05 μ m to 0.10 μ m. (b) Absorption variation when temperature is 80 ° (insulating state) for V O 2 layer thicknesses ranging from 0.05 μ m to 0.10 μ m.
Crystals 15 00450 g002
Figure 3. Absorption spectra of Silver (Ag) and Gallium Arsenide (GaAs) as a function of wavelength ( μ m), showing no effect of substrate. However, physical scenarios such as substrate thickness, refractive index contrast, and resonance conditions in multilayer structures can lead to substantial variations in optical response.
Figure 3. Absorption spectra of Silver (Ag) and Gallium Arsenide (GaAs) as a function of wavelength ( μ m), showing no effect of substrate. However, physical scenarios such as substrate thickness, refractive index contrast, and resonance conditions in multilayer structures can lead to substantial variations in optical response.
Crystals 15 00450 g003
Figure 4. Comparison of absorption spectra for three different geometries Original rectangular structure (black), Circular ring (red), and Y-splitter (blue) in the wavelength range of 0.4–0.8 μ m.
Figure 4. Comparison of absorption spectra for three different geometries Original rectangular structure (black), Circular ring (red), and Y-splitter (blue) in the wavelength range of 0.4–0.8 μ m.
Crystals 15 00450 g004
Figure 5. Temperature -dependent absorption spectra of the single-layer VO2 absorber in the visible to near-infrared wavelength range (0.4–0.8 μ m). (a) Absorption behavior for different incidence angles ( θ = 20°, 40°, 60°, and 80°). (b) Absorption spectra for different polarization angles ( θ p = 0°, 30°, 60°, and 90°) illustrating the angular robustness of the absorber’s performance across polarization states.
Figure 5. Temperature -dependent absorption spectra of the single-layer VO2 absorber in the visible to near-infrared wavelength range (0.4–0.8 μ m). (a) Absorption behavior for different incidence angles ( θ = 20°, 40°, 60°, and 80°). (b) Absorption spectra for different polarization angles ( θ p = 0°, 30°, 60°, and 90°) illustrating the angular robustness of the absorber’s performance across polarization states.
Crystals 15 00450 g005
Figure 6. Simulated optical absorption of the monolayer VO2 absorber at different azimuthal angles ( Φ = 20°, 40°, 60°, and 80°). The results for all angles overlap, confirming the absorber’s insensitivity to azimuthal variations. Only one representative curve is shown to avoid redundancy.
Figure 6. Simulated optical absorption of the monolayer VO2 absorber at different azimuthal angles ( Φ = 20°, 40°, 60°, and 80°). The results for all angles overlap, confirming the absorber’s insensitivity to azimuthal variations. Only one representative curve is shown to avoid redundancy.
Crystals 15 00450 g006
Figure 7. Absorption spectra of the monolayer VO2 absorber at normal incidence ( θ = 0°) for different temperatures (40 °C, 50 °C, 60 °C, and 70 °C). A sharp drop in absorption is observed between 60 °C and 70 °C due to the insulator-to-metal phase transition of VO2 around its critical temperature (≈ 68 °C).
Figure 7. Absorption spectra of the monolayer VO2 absorber at normal incidence ( θ = 0°) for different temperatures (40 °C, 50 °C, 60 °C, and 70 °C). A sharp drop in absorption is observed between 60 °C and 70 °C due to the insulator-to-metal phase transition of VO2 around its critical temperature (≈ 68 °C).
Crystals 15 00450 g007
Figure 8. Temperature-dependent optical properties of VO2 computed at normal incidence ( θ = 0 ) . (a) Real part of the refractive index (n) as a function of wavelength for different temperatures (25 °C to 80 °C). The refractive index increases significantly with temperature, particularly beyond 2000 nm, indicating a phase transition effect. (b) The imaginary part of the refractive index (n), representing optical losses, also varies with temperature, with higher losses observed in the metallic state (above 68 °C). These trends illustrate the thermally driven IMT in VO2 [31].
Figure 8. Temperature-dependent optical properties of VO2 computed at normal incidence ( θ = 0 ) . (a) Real part of the refractive index (n) as a function of wavelength for different temperatures (25 °C to 80 °C). The refractive index increases significantly with temperature, particularly beyond 2000 nm, indicating a phase transition effect. (b) The imaginary part of the refractive index (n), representing optical losses, also varies with temperature, with higher losses observed in the metallic state (above 68 °C). These trends illustrate the thermally driven IMT in VO2 [31].
Crystals 15 00450 g008
Figure 9. (a) E field map of the device at 25 °C. (b) E field map of the device at 80 °C. (c) H field map of the device at 25 °C. (d) H field map of the device at 80 °C. At 25 °C, the field remains uniform, however, at 80 °C, it shows an oscillatory response showing the change in the material properties. The red and blue colors show maximum and minimum intensity of field respectively.
Figure 9. (a) E field map of the device at 25 °C. (b) E field map of the device at 80 °C. (c) H field map of the device at 25 °C. (d) H field map of the device at 80 °C. At 25 °C, the field remains uniform, however, at 80 °C, it shows an oscillatory response showing the change in the material properties. The red and blue colors show maximum and minimum intensity of field respectively.
Crystals 15 00450 g009
Disclaimer/Publisher’s Note: The statements, opinions and data contained in all publications are solely those of the individual author(s) and contributor(s) and not of MDPI and/or the editor(s). MDPI and/or the editor(s) disclaim responsibility for any injury to people or property resulting from any ideas, methods, instructions or products referred to in the content.

Share and Cite

MDPI and ACS Style

Parveen, A.; Irshad, A.; Tyagi, D.; Alam, M.; Ahmed, S.; Tao, K.; Ouyang, Z. Numerical Insights into Wide-Angle, Phase-Controlled Optical Absorption in a Single-Layer Vanadium Dioxide Structure. Crystals 2025, 15, 450. https://doi.org/10.3390/cryst15050450

AMA Style

Parveen A, Irshad A, Tyagi D, Alam M, Ahmed S, Tao K, Ouyang Z. Numerical Insights into Wide-Angle, Phase-Controlled Optical Absorption in a Single-Layer Vanadium Dioxide Structure. Crystals. 2025; 15(5):450. https://doi.org/10.3390/cryst15050450

Chicago/Turabian Style

Parveen, Abida, Ahsan Irshad, Deepika Tyagi, Mehboob Alam, Shakeel Ahmed, Keyu Tao, and Zhengbiao Ouyang. 2025. "Numerical Insights into Wide-Angle, Phase-Controlled Optical Absorption in a Single-Layer Vanadium Dioxide Structure" Crystals 15, no. 5: 450. https://doi.org/10.3390/cryst15050450

APA Style

Parveen, A., Irshad, A., Tyagi, D., Alam, M., Ahmed, S., Tao, K., & Ouyang, Z. (2025). Numerical Insights into Wide-Angle, Phase-Controlled Optical Absorption in a Single-Layer Vanadium Dioxide Structure. Crystals, 15(5), 450. https://doi.org/10.3390/cryst15050450

Note that from the first issue of 2016, this journal uses article numbers instead of page numbers. See further details here.

Article Metrics

Back to TopTop