Anisotropic Tensile Properties of a 14YWT Nanostructured Ferritic Alloy: On the Role of Cleavage Fracture
Abstract
1. Introduction
2. Materials and Methods
3. Results
3.1. P1 Tensile Properties at and Below RT
3.2. P1 Tensile Properties at and above RT
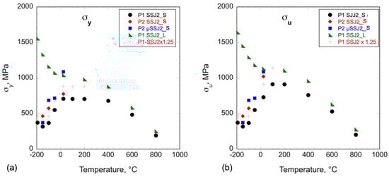
3.3. Specimen Size and NFA-1 Plate Variation for the S-Orientation Tensile Tests
4. Discussion
5. Summary and Closing Remarks
Author Contributions
Funding
Data Availability Statement
Acknowledgments
Conflicts of Interest
References
- Odette, G.R.; Alinger, M.J.; Wirth, B.D. Recent Developments in Irradiation-Resistant Steels. Annu. Rev. Mater. Res. 2008, 38, 471–503. [Google Scholar] [CrossRef]
- Ukai, S. Oxide Dispersion Strengthened Steels. In Comprehensive Nuclear Materials; Konings, R., Ed.; Elsevier: Atlanta, GA, USA, 2012; pp. 241–271. [Google Scholar]
- Zinkle, S.J.; Was, G.S. Materials challenges in nuclear energy. Acta Mater. 2013, 61, 735–758. [Google Scholar] [CrossRef]
- Ukai, S.; Harada, M.; Okada, H.; Inoue, M.; Nomura, S.; Shikakura, S.; Asabe, K.; Nishida, T.; Fujiwara, M. Alloying design of oxide dispersion strengthened ferritic steel for long life FBRs core materials. J. Nucl. Mater. 1993, 204, 65–73. [Google Scholar] [CrossRef]
- Ukai, S.; Ohtsuka, S.; Kaito, T.; de Carlan, Y.; Ribis, J.; Malaplate, J. Oxide dispersion-strengthened/ferrite-martensite steels as core materials for Generation IV nuclear reactors-Ch 10. In Structural Materials for Generation IV Nuclear Reactors; Yvon, P., Ed.; Woodhead Publishing: Sawston, UK; Elsevier: Amsterdam, The Netherlands, 2017; pp. 357–414. ISBN 978-0-08-100906-2. [Google Scholar]
- Odette, G.R.; Cunningham, N.J.; Stan, T.; Alam, M.E.; De Carlan, Y. Chapter 12—Nano-Oxide Dispersion-Strengthened Steels. In Structural Alloys for Nuclear Energy Applications; Elsevier Inc.: Amsterdam, The Netherlands, 2019; pp. 529–583. ISBN 9780123970466. [Google Scholar]
- Alam, M.E.; Pal, S.; Fields, K.; Maloy, S.A.; Hoelzer, D.T.; Odette, G.R. Tensile deformation and fracture properties of a 14YWT nanostructured ferritic alloy. Mater. Sci. Eng. A 2016, 675, 437–448. [Google Scholar] [CrossRef]
- Alam, M.E.; Pal, S.; Maloy, S.A.; Odette, G.R. On delamination toughening of a 14YWT nanostructured ferritic alloy. Acta Mater. 2017, 136, 61–73. [Google Scholar] [CrossRef]
- Odette, G.R. On the status and prospects for nanostructured ferritic alloys for nuclear fission and fusion application with emphasis on the underlying science. Scr. Mater. 2018, 143, 142–148. [Google Scholar] [CrossRef]
- Kasada, R.; Lee, S.G.; Isselin, J.; Lee, J.H.; Omura, T.; Kimura, A.; Okuda, T.; Inoue, M.; Ukai, S.; Ohnuki, S.; et al. Anisotropy in tensile and ductile-brittle transition behavior of ODS ferritic steels. J. Nucl. Mater. 2011, 417, 180–184. [Google Scholar] [CrossRef]
- Pal, S.; Alam, M.E.; Maloy, S.A.; Hoelzer, D.T.; Odette, G.R. Texture evolution and microcracking mechanisms in as-extruded and cross-rolled conditions of a 14YWT nanostructured ferritic alloy. Acta Mater. 2018, 152, 338–357. [Google Scholar] [CrossRef]
- Ukai, S.; Izawa, W.; Oono, N.; Hayashi, S.; Kohno, Y.; Ohtsuka, S.; Kaito, T. Charpy impact property related to {100} cleavage fracture in 15CrODS steel. Mater. Sci. Technol. 2014, 30, 1709–1714. [Google Scholar] [CrossRef]
- Cunningham, N.J.; Wu, Y.; Odette, G.R.; Hoelzer, D.T.; Maloy, S.A. Characterization of a larger best practice heat of 14YWT in annealed powder, HIP consolidated and extruded forms. DOE Fusion React. Mater. Progr. Semiannu. Prog. Rep. 2013, 54, 15–26. [Google Scholar]
- ASTM E8M-15a; Standard Test Methods for Tension Testing of Metallic Materials. ASTM International: West Conshohocken, PA, USA, 2015.
- Kim, J.H.; Byun, T.S.; Hoelzer, D.T.; Park, C.H.; Yeom, J.T.; Hong, J.K. Temperature dependence of strengthening mechanisms in the nanostructured ferritic alloy 14YWT: Part II—Mechanistic models and predictions. Mater. Sci. Eng. A 2013, 559, 111–118. [Google Scholar] [CrossRef]
- Martin, M.L.; Fenske, J.A.; Liu, G.S.; Sofronis, P.; Robertson, I.M. On the formation and nature of quasi-cleavage fracture surfaces in hydrogen embrittled steels. Acta Mater. 2011, 59, 1601–1606. [Google Scholar] [CrossRef]
- Wong, T.F.; Wong, R.H.C.; Chau, K.T.; Tang, C.A. Microcrack statistics, Weibull distribution and micromechanical modeling of compressive failure in rock. Mech. Mater. 2006, 38, 664–681. [Google Scholar] [CrossRef]
- Anderson, T.L. Fracture Mechanics: Fundamentals and Applications, 3rd ed.; Taylor & Francis Group: Boca Raton, FL, USA, 2005. [Google Scholar]
- Rinne, H. The Weibull Distribution: A Handbook; Chapman and Hall/CRC: Boca Raton, FL, USA, 2008. [Google Scholar]
- ASTM E1921-20; Standard Test Method for Determination of Reference Temperature, to, for Ferritic Steels in the Transition Range. ASTM International: West Conshohocken, PA, USA, 2020.
- Odette, G.R.; Rathbun, H.J.; Hribernik, M.; Yamamoto, T.; He, M.; Spätig, P. A Multiscale Approach to Measuring and Modeling Cleavage Fracture Toughness in Structural Steels. In Materials Issues for Generation IV Systems; Ghetta, V., Gorse, D., Mazière, D., Pontikis, V., Eds.; Springer: Dordrecht, The Netherlands, 2008; pp. 203–226. [Google Scholar]
- Hribernik, M.L. Cleavage Oriented Iron Single Crystal Fracture Toughness. Ph.D. Thesis, University of California, Santa Barbara, CA, USA, 2006. [Google Scholar]
- Danzer, R.; Supancic, P.; Pascual, J.; Lube, T. Fracture statistics of ceramics—Weibull statistics and deviations from Weibull statistics. Eng. Fract. Mech. 2007, 74, 2919–2932. [Google Scholar] [CrossRef]












| Test Temp. (°C) | Specimen Orientation | σy or σf, MPa | σu, MPa | εu, % | εt, % | RA, % |
|---|---|---|---|---|---|---|
| 23 | S | 708 ± 57 | 730 ± 92 | 0.2 ± 0.3 | 0.2 ± 0.3 | 4 ± 2 |
| L | 1042 ± 102 | 1133 ± 100 | 3.8 ± 3.7 | 12.9 ± 1.5 | 56 ± 8 | |
| −50 | S | 550 ± 8 | 550 ± 8 | 0 ± 0 | 0 ± 0 | 0 |
| L | 1073 ± 65 | 1183 ± 76 | 6.9 ± 4 | 15.7 ± 0.7 | 50 ± 4 | |
| −100 | S | 368 ± 107 | 368 ± 107 | 0 ± 0 | 0 ± 0 | 0 |
| L | 1162 ± 54 | 1293 ± 62 | 5.7 ± 6 | 14.8 ± 1.8 | 56 ± 14 | |
| −150 | S | 316 ± 43 | 316 ± 43 | 0 ± 0 | 0 ± 0 | 0 |
| L | 1332 ± 69 | 1453 ± 103 | 6 ± 6.5 | 13 ± 5 | 51 ± 3 | |
| −196 | S | 372 ± 23 | 372 ± 23 | 0 ± 0 | 0 ± 0 | 0 |
| L | 1555 ± 121 | 1643 ± 112 | 1.0 ± 0 | 7.9 ± 0.7 | 31 ± 6 |
| Test Temp. (°C) | Specimen Orientation | σy, MPa | σu, MPa | εu, % | εt, % |
|---|---|---|---|---|---|
| 23 | S | 708 ± 57 | 730 ± 92 | 0.2 ± 0.3 | 0.2 ± 0.3 |
| L | 1042 ± 102 | 1133 ± 100 | 3.8 ± 3.7 | 12.9 ± 1.5 | |
| 100 | S | 705 | 912 | 2.3 | 2.3 |
| L | - | - | - | - | |
| 200 | S | 706 ± 9 | 911 ± 8 | 5.4 ± 1.2 | 8.6 ± 1.6 |
| L | 982 ± 25 | 1106 ± 21 | 4.8 ± 1.5 | 10.4 ± 1.5 | |
| 400 | S | 680 | 759 | 3.2 | 10.7 |
| L | 882 ± 21 | 960 ± 34 | 4.5 ± 1.3 | 9.2 ± 1.7 | |
| 600 | S | 484 | 529 | 1.7 | 13.5 |
| L | 584 ± 35 | 630 ± 35 | 2.3 ± 1.0 | 16.5 ± 3.9 | |
| 800 | S | 192 ± 12 | 201 ± 12 | 0.7 ± 0.0 | 16.2 ± 0.3 |
| L | 251 ± 6 | 278 ±1 | 3.4 ± 0 | 17.3 ± 0.4 |
| Test Temp. (°C) | NFA-1 Plate | Specimen Type | Specimen ID | σy, MPa | σu, MPa | εt, % |
|---|---|---|---|---|---|---|
| 23 | P1 | SSJ2 | ST-01 | 765 | 832 | 0.5 |
| SSJ2 | ST-02 | 707 | 707 | 0 | ||
| SSJ2 | ST-13 | 652 | 652 | 0 | ||
| P2 | SSJ2 | ST-14 | 777 | 1020 | 3.6 | |
| µ-SSJ2 | ST-15 | 1074 | 1074 | 0 | ||
| µ-SSJ2 | ST-16 | 1100 | 1100 | 0 | ||
| −50 | P1 | SSJ2 | ST-L1 | 544 | 544 | 0 |
| SSJ2 | ST-L8 | 555 | 555 | 0 | ||
| P2 | µ-SSJ2 | ST-L38 | 717 | 717 | 0 | |
| −100 | P1 | SSJ2 | ST-L2 | 443 | 443 | 0 |
| SSJ2 | ST-L9 | 292 | 292 | 0 | ||
| P2 | SSJ2 | ST-L11 | 551 | 551 | 0 | |
| SSJ2 | ST-L12 | 749 | 749 | 0 | ||
| SSJ2 | ST-L13 | 538 | 538 | 0 | ||
| SSJ2 | ST-L14 | 428 | 428 | 0 | ||
| SSJ2 | ST-L15 | 686 | 686 | 0 | ||
| SSJ2 | ST-L16 | 625 | 625 | 0 | ||
| SSJ2 | ST-L17 | 586 | 586 | 0 | ||
| SSJ2 | ST-L18 | 423 | 423 | 0 | ||
| µ-SSJ2 | ST-L20 | 781 | 781 | 0 | ||
| µ-SSJ2 | ST-L21 | 605 | 605 | 0 | ||
| µ-SSJ2 | ST-L22 | 734 | 898 | 3.2 | ||
| µ-SSJ2 | ST-L23 | 658 | 658 | 0 | ||
| µ-SSJ2 | ST-L24 | 486 | 486 | 0 | ||
| −150 | P1 | SSJ2 | ST-L3 | 285 | 285 | 0 |
| SSJ2 | ST-L10 | 346 | 346 | 0 | ||
| P2 | SSJ2 | ST-L5 | 458 | 458 | 0 | |
| SSJ2 | ST-L6 | 410 | 410 | 0 | ||
| SSJ2 | ST-L19 | 524 | 524 | 0 | ||
| µ-SSJ2 | ST-L25 | 553 | 553 | 0 | ||
| µ-SSJ2 | ST-L26 | 249 | 249 | 0 | ||
| µ-SSJ2 | ST-L27 | 393 | 393 | 0 | ||
| µ-SSJ2 | ST-L29 | 342 | 342 | 0 | ||
| µ-SSJ2 | ST-L30 | 414 | 414 | 0 | ||
| µ-SSJ2 | ST-L3 | 335 | 335 | 0 | ||
| µ-SSJ2 | ST-L32 | 474 | 474 | 0 | ||
| µ-SSJ2 | ST-L33 | 298 | 298 | 0 | ||
| µ-SSJ2 | ST-L34 | 277 | 277 | 0 | ||
| µ-SSJ2 | ST-L35 | 365 | 365 | 0 | ||
| −196 | P1 | SSJ2 | ST-L4 | 388 | 388 | 0 |
| SSJ2 | ST-L7 | 356 | 356 | 0 |
Disclaimer/Publisher’s Note: The statements, opinions and data contained in all publications are solely those of the individual author(s) and contributor(s) and not of MDPI and/or the editor(s). MDPI and/or the editor(s) disclaim responsibility for any injury to people or property resulting from any ideas, methods, instructions or products referred to in the content. |
© 2024 by the authors. Licensee MDPI, Basel, Switzerland. This article is an open access article distributed under the terms and conditions of the Creative Commons Attribution (CC BY) license (https://creativecommons.org/licenses/by/4.0/).
Share and Cite
Alam, M.E.; Odette, G.R. Anisotropic Tensile Properties of a 14YWT Nanostructured Ferritic Alloy: On the Role of Cleavage Fracture. Crystals 2024, 14, 439. https://doi.org/10.3390/cryst14050439
Alam ME, Odette GR. Anisotropic Tensile Properties of a 14YWT Nanostructured Ferritic Alloy: On the Role of Cleavage Fracture. Crystals. 2024; 14(5):439. https://doi.org/10.3390/cryst14050439
Chicago/Turabian StyleAlam, Md Ershadul, and G. Robert Odette. 2024. "Anisotropic Tensile Properties of a 14YWT Nanostructured Ferritic Alloy: On the Role of Cleavage Fracture" Crystals 14, no. 5: 439. https://doi.org/10.3390/cryst14050439
APA StyleAlam, M. E., & Odette, G. R. (2024). Anisotropic Tensile Properties of a 14YWT Nanostructured Ferritic Alloy: On the Role of Cleavage Fracture. Crystals, 14(5), 439. https://doi.org/10.3390/cryst14050439

