High-Temperature Tribological Behavior of Fast-Hot-Pressed NiCr/Cr3C2-LaF3 Self-Lubrication Composite
Abstract
1. Introduction
2. Materials and Methods
2.1. Preparation of Composites
2.2. Characterization
3. Results and Discussion
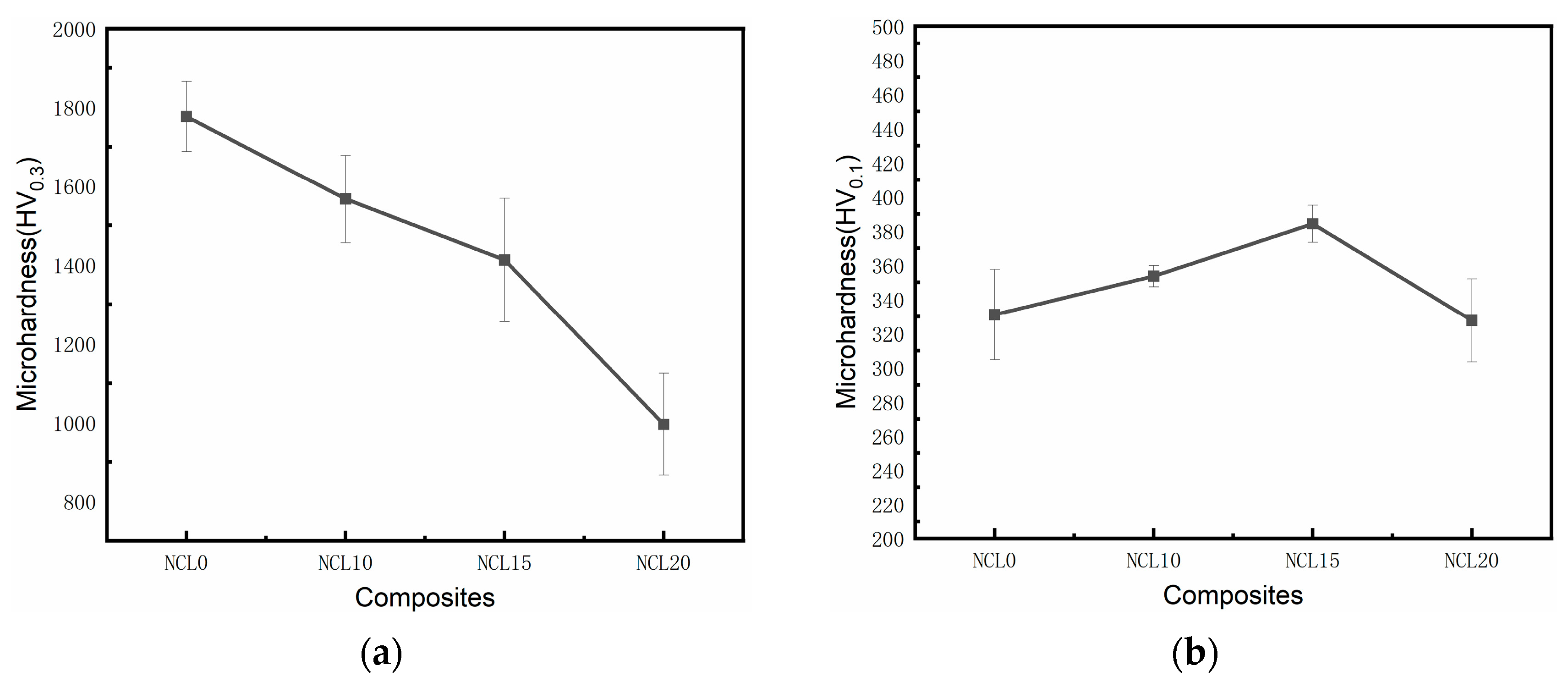
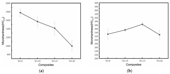
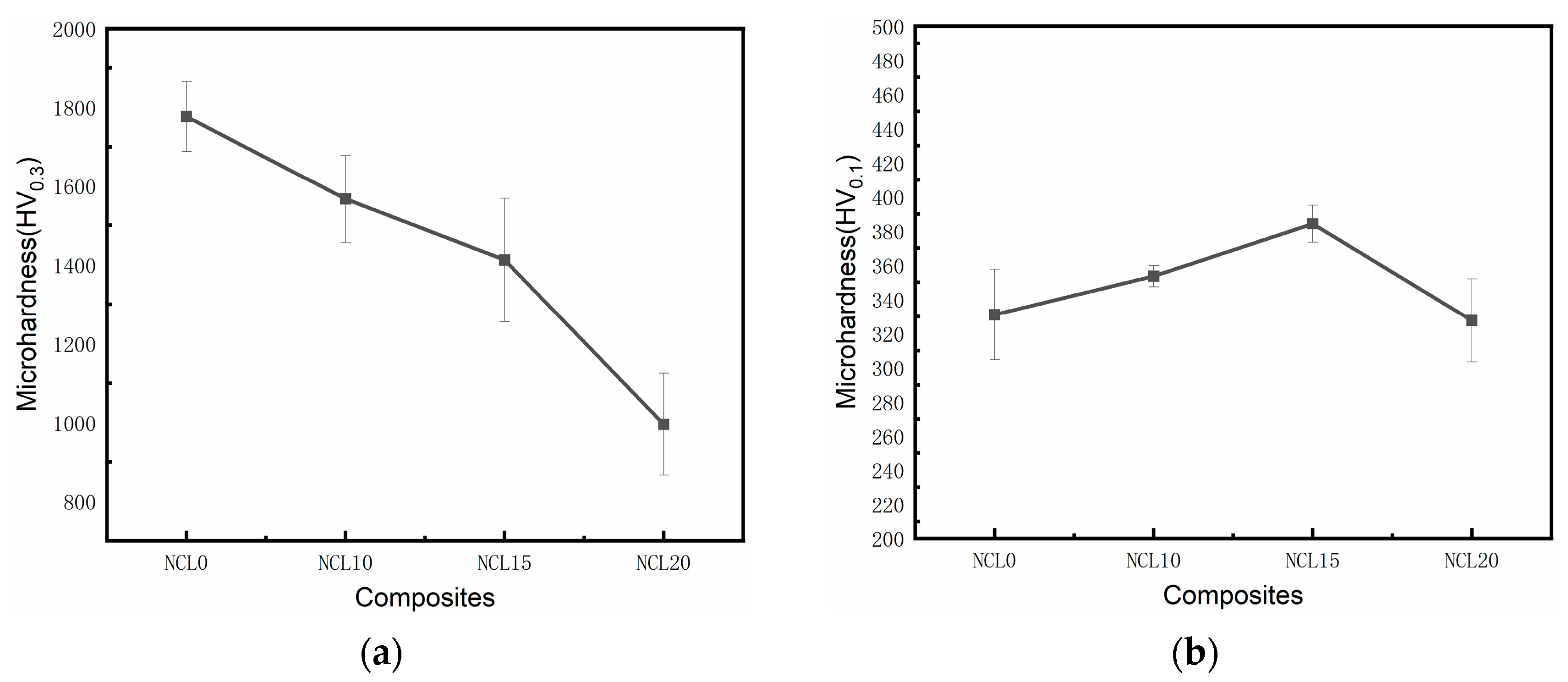
3.1. Microstructure and Mechanical Properties
3.2. Tribological Properties of the Composites
3.3. Morphologies and Constituents of Worn Surfaces
3.4. Lubricating and Wear Mechanism
4. Conclusions
- (1)
- The NiCr/Cr3C2-LaF3 composites were successfully fabricated through fast hot pressing sintering techniques, exhibiting remarkable density and hardness.
- (2)
- These composites demonstrated excellent friction properties across the tested temperature range, with NCL15 exhibiting superior comprehensive properties, including a ceramic phase hardness of 1412 HV, a friction coefficient ranging from 0.74 to 0.4, and wear rates varying from 4.46 × 10−6 to 5.72 × 10−5 mm3N−1m−1.
- (3)
- The friction behavior analysis of the NCL series composites demonstrated that LaF3 effectively lubricates at different temperatures and forms a unique lubricating phase with Cr3O2 at higher temperatures. However, at 600 degrees Celsius, the formation of LaOF from LaF3 results in a deterioration of friction performance.
Author Contributions
Funding
Data Availability Statement
Conflicts of Interest
References
- John, M.; Menezes, P.L. Self-Lubricating Materials for Extreme Condition Applications. Materials 2021, 14, 5588. [Google Scholar] [CrossRef] [PubMed]
- Mazumder, S.; Metselaar, H.S.C.; Sukiman, N.L.; Zulkifli, N.W.M. An overview of fluoride-based solid lubricants in sliding contacts. J. Eur. Ceram. Soc. 2020, 40, 4974–4996. [Google Scholar]
- Torres, H.; Ripoll, M.R.; Prakash, B. Tribological behaviour of self-lubricating materials at high temperatures. Int. Mater. Rev. 2017, 63, 309–340. [Google Scholar] [CrossRef]
- Cui, G.; Liu, H.; Li, S.; Gao, G.; Kou, Z. Design and high-temperature tribological properties of CoCrW with rare earth fluoride composites. J. Mater. Res. Technol. 2020, 9, 2402–2411. [Google Scholar]
- Cui, G.; Qian, Y.; Bian, C.; Gao, G.; Hassani, M.; Liu, Y.; Kou, Z. CoCrNi matrix high-temperature wear resistant composites with micro- and nano-Al2O3 reinforcement. Compos. Commun. 2020, 22, 100461. [Google Scholar] [CrossRef]
- Wang, Y.; Liu, X.-B.; Liu, Y.-F.; Luo, Y.-S.; Meng, Y. Microstructure and tribological performance of Ni60-based composite coatings on Ti6Al4V alloy with different Ti3SiC2 ceramic additions by laser cladding. Ceram. Int. 2020, 46, 28996–29010. [Google Scholar] [CrossRef]
- Xu, J.; Kong, X.; Chen, M.; Wang, Q.; Wang, F. High-entropy FeNiCoCr alloys with improved mechanical and tribological properties by tailoring composition and controlling oxidation. J. Mater. Sci. Technol. 2021, 82, 207–213. [Google Scholar] [CrossRef]
- Duran, C.; Eroglu, S. Liquid phase sintering and properties of Cr3C2/NiCr cermets. J. Mater. Process. Technol. 1998, 74, 69–73. [Google Scholar] [CrossRef]
- Alroy, R.J.; Kamaraj, M.; Lakshmi, D.V.; Praveen, K.; Babu, P.S.; Sivakumar, G. Tailoring microstructural features of Cr3C2-25NiCr coatings through diverse spray variants and understanding the high-temperature erosion behavior. Tribol. Int. 2023, 188, 108810. [Google Scholar] [CrossRef]
- Zhang, C.; Ma, H.; Bao, C. Corrosive Wear Mechanism of Supersonic Atmospheric Plasma Spray Coating of Hydraulic Supports in Industrial Environment. J. Mater. Eng. Perform. 2024, 1–11. [Google Scholar] [CrossRef]
- Hu, G.; Han, Y.; Liu, S.; Yu, B.; Tang, W.; Li, D.; Xing, H.; Liu, X.; Zhang, J.; Sun, B. In-situ crystalline Cr3C2 and amorphous SiO2 dual-particles reinforced NiCr-based composites. Mater. Des. 2023, 230, 111997. [Google Scholar] [CrossRef]
- Yang, X.; Jia, J.; Chen, W.; Yang, G.; Xin, H.; He, N.; Ma, S. Corrosive wear behavior of HVOF-sprayed micro-nano-structured Cr3C2–NiCr cermet coatings under aqueous media. Ceram. Int. 2022, 48, 15144–15151. [Google Scholar] [CrossRef]
- Huang, C.; Du, L.; Zhang, W. Effects of solid lubricant content on the microstructure and properties of NiCr/Cr3C2–BaF2·CaF2 composite coatings. J. Alloys Compd. 2009, 479, 777–784. [Google Scholar] [CrossRef]
- Sliney, H.E.; Strom, T.N.; Allen, G.P. Fluoride solid lubricants for extreme temperatures and corrosive environment in NASA-TM-X-52077. ASLE Trans. 1965, 8, 307–322. [Google Scholar] [CrossRef]
- Deadmore, D.L.; Sliney, H.E. Characterization of the Tribological Coating Composition 77wt% CaF2-23wt% LiF Fused to IN-750 Alloy. In NASA-TM-87342; NASA: Washington, DC, USA, 1986. [Google Scholar]
- Deadmore, D.L.; Sliney, H.E. Hardness of CaF2 and BaF2 Solid Lubricants at 25 to 670 °C. In NASA-TM-88979; NASA: Washington, DC, USA, 1987. [Google Scholar]
- Zhao, H.; Luo, L.; Guo, F.; Zhao, X.; Xiao, P. High-temperature tribological behavior of Mo and BaF2 added Cr3C2-NiCr matrix composite. Ind. Lubr. Tribol. 2019, 72, 136–145. [Google Scholar] [CrossRef]
- Kotkowiak, M.; Piasecki, A. Characterization of Wear Properties of Pure Nickel Modified by Ni-Cr Composite and CaF2 Solid Lubricant Addition. Materials 2022, 15, 7511. [Google Scholar] [CrossRef] [PubMed]
- Su, W.; Zhang, J.; Zhang, J.; Zhou, K.; Niu, S.; Liu, M.; Dai, H.; Deng, C. Microstructure of HVOF-sprayed Ag–BaF2·CaF2–Cr3C2–NiCr coating and its tribological behavior in a wide temperature range (25 °C to 800 °C). Ceram. Int. 2021, 47, 865–876. [Google Scholar] [CrossRef]
- Sliney, H.E. Rare Earth Fluorides and Oxides: An Exploratory Study of Their Use as Solid Lubricants at Temperature to 1800 °F (1000 °C). In NASA-TN-D-5301; NASA: Washington, DC, USA, 1969. [Google Scholar]
- Lu, J.; Xue, Q.; Wang, J.; Ouyang, J. The effect of CeF3 on the mechanical and tribological properties of Ni-based alloy. Tribol. Nternational 1997, 30, 659–662. [Google Scholar] [CrossRef]
- Ren, Q.; Cui, G.; Li, T.; Hassani, M.; Liu, Y.; Kou, Z. High-Temperature Wear Behavior of Cobalt Matrix Composites Reinforced by LaF3 and CeO2. Tribol. Lett. 2021, 69, 149. [Google Scholar] [CrossRef]
- Jia, Y.; Wan, H.; Chen, L.; Zhou, H.; Chen, J. Effects of nano-LaF3 on the friction and wear behaviors of PTFE-based bonded solid lubricating coatings under different lubrication conditions. Appl. Surf. Sci. 2016, 382, 73–79. [Google Scholar] [CrossRef]
- Xie, T.; Shi, Y. Effects of LaF3/CeF3 on the friction transfer of PTFE-based composites. Tribol. Int. 2021, 161, 107069. [Google Scholar] [CrossRef]
- Hahn, K.H.; Vedula, K. Room temperature tensile ductility in polycrystalline B2 NiAl. Scr. Metall. 1989, 23, 7–12. [Google Scholar] [CrossRef]
- Liao, X.; Zhao, L.; Zhang, J.; Ahmed, G.; Khan, A.; Zeng, H.; Yu, H.; Zhong, X.; Liu, Z.; Zhang, G. Clarifying the basic phase structure and magnetic behavior of directly quenched (Ce,La)2Fe14B alloys with various Ce/La ratios. Curr. Appl. Phys. 2019, 19, 733–738. [Google Scholar] [CrossRef]
- Chu, R.; Fan, Y.; Li, Z.; Liu, J.; Yin, N.; Hao, N. Study on the Control of Rare Earth Metals and Their Behaviors in the Industrial Practical Production of Q420q Structural Bridge Steel Plate. Metals 2018, 8, 240. [Google Scholar] [CrossRef]
- Li, J.; Lu, W. Effects of AlN and rare earth fluorides on the thermal conductivity of SiC ceramics with impedance spectroscopy analysis. J. Phys. Conf. Ser. 2021, 2011, 012054. [Google Scholar] [CrossRef]
- Wu, R.; Huang, C.; Zhang, H.; Lv, H.; Sun, X.; Lan, H.; Zhang, W. Microstructure and High-Temperature Ablation Behaviour of Hafnium-Doped Tungsten-Yttrium Alloys. Materials 2023, 16, 2529. [Google Scholar] [CrossRef]
- Li, H.; Zhou, M.; Tian, B.; Zhang, Y.; Ma, Z.; Li, X.; Zou, J.; Hu, H.; Jing, K.; Liu, Y.; et al. Microstructure and electrical contact properties of Al2O3-Cu/(Cr, Zr) composites. Mater. Today Commun. 2024, 38, 107747. [Google Scholar] [CrossRef]
- Zhu, H.; Zhou, M.; Jing, K.; Tian, B.; Zhang, Y.; Li, X.; Li, Y.; Zheng, X.; Li, H.; Ma, Z.; et al. Hot deformation behavior of 0.5Y2O3/AlO2-Cu/30Mo3SiC composites doped with reduced graphene oxide. J. Mater. Res. Technol. 2023, 26, 7444–7459. [Google Scholar] [CrossRef]
- Zhu, B.; Chen, N.; Zhu, D.; Li, Y.; Sun, W.; Liu, G.; Du, G. Thermal annealing of LaF3:Eu3+ nanocrystals synthesized by a solvothermal method and their luminescence properties. J. Sol-Gel Sci. Technol. 2013, 66, 126–132. [Google Scholar] [CrossRef]
- Tan, X.; Zhao, Z.; Wang, N.; Zhang, Z.; Wang, X.; Feng, Z.; Zheng, Y.; Yang, J.; Huang, X. Phase transition process and mechanism of LaOF in air: From experiment to theory. Ceram. Int. 2023, 49, 40659–40667. [Google Scholar] [CrossRef]
- Inman, I.; Datta, S.; Du, H.; Burnell-Gray, J.; Luo, Q. Microscopy of glazed layers formed during high temperature sliding wear at 750 °C. Wear 2003, 254, 461–467. [Google Scholar] [CrossRef]














| Material | Composition(wt%) | Density (g·cm−3) | Porosity (%) | ||
|---|---|---|---|---|---|
| 80Ni-20Cr | Cr3C2 | LaF3 | |||
| NCL0 | 25.00 | 75.00 | 0.00 | 6.93 ± 0.02 | 0.30 ± 0.15 |
| NCL10 | 21.82 | 68.18 | 10.00 | 6.71 ± 0.08 | 0.16 ± 0.15 |
| NCL15 | 19.78 | 65.22 | 15.00 | 6.74 ± 0.01 | 0.10 ± 0.13 |
| NCL20 | 17.50 | 62.50 | 20.00 | 6.67 ± 0.02 | 0.56 ± 0.26 |
Disclaimer/Publisher’s Note: The statements, opinions and data contained in all publications are solely those of the individual author(s) and contributor(s) and not of MDPI and/or the editor(s). MDPI and/or the editor(s) disclaim responsibility for any injury to people or property resulting from any ideas, methods, instructions or products referred to in the content. |
© 2024 by the authors. Licensee MDPI, Basel, Switzerland. This article is an open access article distributed under the terms and conditions of the Creative Commons Attribution (CC BY) license (https://creativecommons.org/licenses/by/4.0/).
Share and Cite
Yang, H.; Huang, C.; Lv, H.; Liu, Y.; Sun, Y.; Zhang, H.; Lan, H.; Wu, Y.; Zhang, W. High-Temperature Tribological Behavior of Fast-Hot-Pressed NiCr/Cr3C2-LaF3 Self-Lubrication Composite. Crystals 2024, 14, 365. https://doi.org/10.3390/cryst14040365
Yang H, Huang C, Lv H, Liu Y, Sun Y, Zhang H, Lan H, Wu Y, Zhang W. High-Temperature Tribological Behavior of Fast-Hot-Pressed NiCr/Cr3C2-LaF3 Self-Lubrication Composite. Crystals. 2024; 14(4):365. https://doi.org/10.3390/cryst14040365
Chicago/Turabian StyleYang, Hao, Chuanbing Huang, Haozhong Lv, Yongjun Liu, Yonghui Sun, Huifeng Zhang, Hao Lan, Yang Wu, and Weigang Zhang. 2024. "High-Temperature Tribological Behavior of Fast-Hot-Pressed NiCr/Cr3C2-LaF3 Self-Lubrication Composite" Crystals 14, no. 4: 365. https://doi.org/10.3390/cryst14040365
APA StyleYang, H., Huang, C., Lv, H., Liu, Y., Sun, Y., Zhang, H., Lan, H., Wu, Y., & Zhang, W. (2024). High-Temperature Tribological Behavior of Fast-Hot-Pressed NiCr/Cr3C2-LaF3 Self-Lubrication Composite. Crystals, 14(4), 365. https://doi.org/10.3390/cryst14040365
