Synthesis and Properties of a Red Na5Zn2Gd1−x(MoO4)6: xEu3+ Phosphor
Abstract
1. Introduction
2. Experimental
2.1. Phosphors Preparation
2.2. Characterizations
3. Results and Discussion
3.1. TG-DTA Analysis of Na5Zn2Gd1−x(MoO4)6: xEu3+
3.2. Structure and Morphology of Na5Zn2Gd1−x(MoO4)6: x Eu3+
3.3. FTIR Spectra of Na5Zn2Gd0.75(MoO4)6: 0.25 Eu3+
3.4. UV–Vis Diffuse Reflectance Spectra of Na5Zn2Gd1−x(MoO4)6: xEu3+
3.5. Luminescent Properties of Na5Zn2Gd(MoO4)6: Eu3+
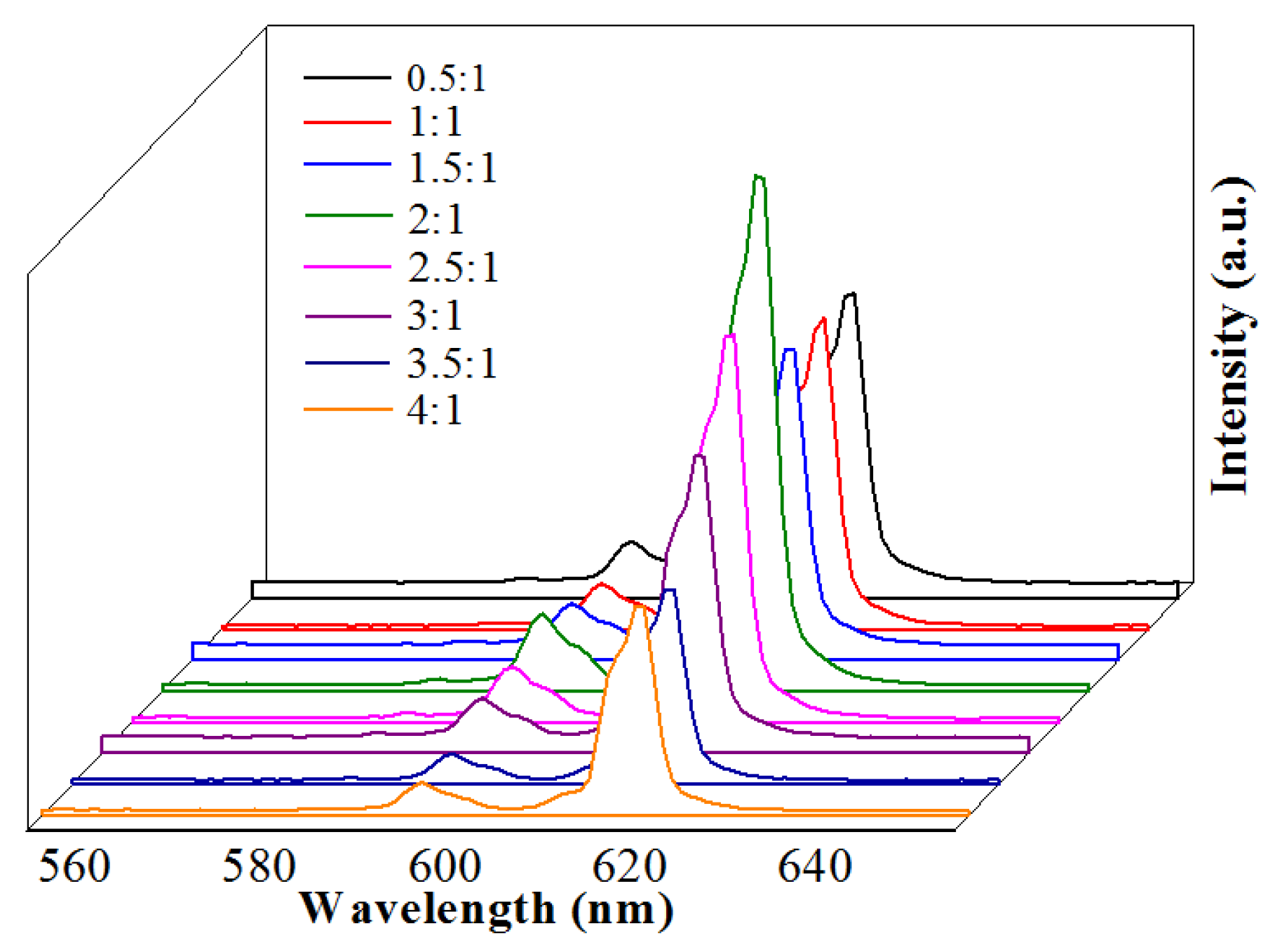
3.6. Effect of Eu3+ Doping Concentration
3.7. Luminescence Decay Lifetimes of Na5Zn2Gd1−x(MoO4)6: xEu3+
3.8. CIE Color Coordinates of Na5Zn2Gd0.75(MoO4)6: 0.25 Eu3+
4. Conclusions
Author Contributions
Funding
Data Availability Statement
Conflicts of Interest
References
- Wang, R.; Xiang, H.; Chen, J.; Li, Y.; Zhou, Y.; Choy, W.C.H.; Fan, Z.; Zeng, H. Energy Regulation in White-Light-Emitting Diodes. ACS Energy Lett. 2022, 7, 2173–2188. [Google Scholar] [CrossRef]
- Park, J.Y.; Yang, H.K. Development of red-emitting La2ZnTiO6: Eu3+ phosphors for WLED and visualization of latent fingerprint applications. Mater. Today Commun. 2022, 31, 103391. [Google Scholar] [CrossRef]
- Dang, P.; Li, G.; Yun, X.; Zhang, Q.; Liu, D.; Lian, H.; Shang, M.; Lin, J. Thermally stable and highly efficient red-emitting Eu3+-doped Cs3GdGe3O9 phosphors for WLEDs: Non-concentration quenching and negative thermal expansion. Light Sci. Appl. 2021, 10, 29. [Google Scholar] [CrossRef] [PubMed]
- Li, J.; Yan, J.; Wen, D.; Khan, W.U.; Shi, J.; Wu, M.; Su, Q.; Tanner, P.A. Advanced red phosphors for white light-emitting diodes. J. Mater. Chem. C 2016, 4, 8611–8623. [Google Scholar] [CrossRef]
- Zhao, H.; Zhang, Y.; Yang, S.; Ye, C.; He, C.; Song, Y.; Wang, Y.; Lin, B.; Yu, J. Spectral tunability of K2Lu(WO4)(PO4): Dy3+, Eu3+ phosphors and remote luminescent layers for high-quality white light. Ceram. Int. 2024, 50, 8429–8438. [Google Scholar] [CrossRef]
- Li, K.; Van Deun, R. Correction: Mutual energy transfer luminescent properties in novel CsGd(MoO4)2:Yb3+, Er3+/Ho3+ phosphors for solid-state lighting and solar cells. Phys. Chem. Chem. Phys. 2019, 21, 5312. [Google Scholar] [CrossRef]
- Qin, L.; Huang, Y.; Tsuboi, T.; Seo, H.J. The red-emitting phosphors of Eu3+-activated MR2(MoO4)4 (M = Ba, Sr, Ca; R = La3+, Gd3+, Y3+) for light emitting diodes. Mater. Res. Bull. 2012, 47, 4498–4502. [Google Scholar] [CrossRef]
- Guo, C.F.; Chen, T.; Luan, L.; Zhang, W.; Huang, D. Luminescent properties of R2(MoO4)3:Eu3+ (R = La, Y, Gd) phosphors prepared by sol-gel method. J. Phys. Chem. Solid 2008, 69, 1905–1911. [Google Scholar] [CrossRef]
- Du, H.; Luan, F.; Li, D.; Sun, L.; He, W.; Zeng, Q.; Guo, D. Blue light induced red phosphors Sr2CeO4:Eu3+ through co-doping with M2+ (Mg, Ba, Ca) and spectroscopic properties applied in WLEDs. Mater. Sci. Eng. B 2023, 294, 116489. [Google Scholar] [CrossRef]
- Du, P.; Yu, J.S. Synthesis and luminescent properties of Eu3+-activated Na0.5Gd0.5MoO4: A strong re-emitting phosphor for LED and FED applications. J. Lumin. 2016, 179, 451–456. [Google Scholar] [CrossRef]
- Yang, Y.; Shi, Y.; Duan, J.; Lu, K.; Cheng, G.; Zhao, Y.; Huang, Z.; Li, P.; Wei, N.; Zhu, X.; et al. Photoluminescence enhancement of Gd2Zr2O7: Eu3+ red phosphor sensitized by co-doped Al3+ ions. Ceram. Int. 2021, 47, 13071–13077. [Google Scholar] [CrossRef]
- Song, M.; Wang, L.; Feng, Y.; Wang, H.; Wang, X.; Li, D. Preparation of a novel red KBaGd(MoO4)3:Eu3+ phosphor by sol-gel method and its luminescent properties. Opt. Mater. 2018, 84, 284–291. [Google Scholar] [CrossRef]
- Wang, Z.L.; Liang, H.B.; Zhou, L.Y.; Wang, J.; Gong, M.; Su, Q. NaEu0.96Sm0.04(MoO4)2 as a promising red-emitting phosphor for LED solid-state lighting prepared by the Pechini process. J. Lumin. 2007, 128, 147–154. [Google Scholar] [CrossRef]
- Gao, F.; Liang, L.; Guo, C. Preparation and luminescence of red light-emitting phosphors based on Li3Ba2Ln(3−x)Eux(MoO4)8 by sol-gel method. Chin. J. Lumin. 2009, 30, 610–616. [Google Scholar] [CrossRef]
- Chen, F.; Akram, M.N.; Chen, X.Y. Improved photoluminescence performance of Eu3+-doped Y2(MoO4)3 red-emitting phosphor via orderly arrangement of the crystal lattice. Molecules 2023, 28, 1014. [Google Scholar] [CrossRef]
- Xie, H.D.; Chen, C.; Li, J.; He, Y.; Wang, N. Sol-gel synthesis and luminescent performance of Eu3+, Lu3+ co-doped Ca0.3Sr0.7Mo1−xWxO4 red-emitting phosphor. Inorg. Nano Met. Chem. 2020, 51, 1297–1305. [Google Scholar] [CrossRef]
- Li, Z.; Cheng, J.-L.; Wang, Y.-N.; Wu, K.; Cao, J. Rapid synthesis of BaMoO4:Eu3+ red phosphors using microwave irradiation. Luminescence 2023, 38, 1414–1421. [Google Scholar] [CrossRef]
- Kong, L.; Sun, H.; Nie, Y.; Yan, Y.; Wang, R.; Ding, Q.; Zhang, S.; Yu, H.; Luan, G. Luminescent Properties and Charge Compensator Effects of SrMo0.5W0.5O4: Eu3+ for White Light LEDs. Molecules 2023, 28, 2681. [Google Scholar] [CrossRef]
- Solodovnikov, S.F.; Khaikina, E.G.; Solodovnikova, Z.A. New families of lithium containing triple molybdates and the stabilizing role of lithium in their structure formation. Dokl. Chem. 2007, 416, 207–212. [Google Scholar] [CrossRef]
- Basovich, O.M.; Khaikina, E.G. Formation Laws for Scheelite-like Triple Molybdates LiMLn2(MoO4)4. Russ. J. Inorg. Chem. 2006, 51, 1082–1086. [Google Scholar] [CrossRef]
- Ji, T.; Ha, E.; Wu, M.; Hu, X.; Wang, J.; Sun, Y.; Li, S.; Hu, J. Controllable hydrothermal synthesis and photocatalytic performance of Bi2MoO6 nano/microstructures. Catalysts 2020, 10, 1161. [Google Scholar] [CrossRef]
- Yang, J.; Liang, Y.; Li, K.; Yang, G.; Zhu, Y.; Liu, S.; Lei, W. New reaction pathway induced by the synergistic effects of Bi plasmon and La3+ doping for efficient visible light photocatalytic reaction on BiOCl. Appl. Surf. Sci. 2018, 458, 769–780. [Google Scholar] [CrossRef]
- Li, Y.; Li, H.; Li, Y.; Liu, D.; Xie, J.; Ma, H.; Qu, H.; Xu, J.; Han, Y.; Wang, L. Structure, properties and application of Eu3+ doped bismuth molybdate red-emitting phosphor synthesized by sol-gel method. Opt. Mater. 2023, 144, 114336. [Google Scholar] [CrossRef]
- Tranquilin, R.L.; Lovisa, L.X.; Almeida, C.R.R.; Paskocimas, C.A.; Li, M.S.; Oliveira, M.C.; Gracia, L.; Andres, J.; Longo, E.; Motta, F.V.; et al. Understanding the whiteemitting CaMoO4 Co-doped Eu3+, Tb3+, and Tm3+ phosphor through experiment and computation. J. Phys. Chem. C 2019, 123, 18536–18550. [Google Scholar] [CrossRef]
- Li, H.; Zhang, S.; Zhou, S.; Cao, X.; Zheng, Y. Crystalline size effect on the energy transfer from Mo-O groups to Eu3+ ions in R2MoO6: Eu (R¼La, Gd, and Y) Crystals. J. Phys. Chem. C 2009, 113, 13115–13120. [Google Scholar] [CrossRef]
- Huang, X.; Wang, S.; Li, B.; Sun, Q.; Guo, H. High-brightness and high-color purity red-emitting Ca3Lu(AlO)3(BO3)4: Eu3+ phosphors with internal quantum efficiency close to unity for near-ultraviolet-based white-light-emitting diodes. Opt. Lett. 2018, 43, 1307–1310. [Google Scholar] [CrossRef]
- Gupta, I.; Singh, S.; Bhagwan, S.; Singh, D. Rare earth (RE) doped phosphors and their emerging applications: A review. Ceram. Int. 2021, 47, 19282–19303. [Google Scholar] [CrossRef]
- Han, B.; Zhang, J.; Li, P.; Li, J.; Bian, Y.; Shi, H. Synthesis and luminescence properties of Eu3+ doped high temperature form of Bi2MoO6. J. Electron. Mater. 2015, 44, 102–103. [Google Scholar] [CrossRef]
- Li, Z.; Wang, Y.; Cao, J.; Jiang, Y.; Zhao, X.; Meng, Z. Hydrothermal synthesis and luminescent properties of BaMoO4: Sm3+ red phosphor. J. Rare Earths 2016, 34, 143–146. [Google Scholar] [CrossRef]










Disclaimer/Publisher’s Note: The statements, opinions and data contained in all publications are solely those of the individual author(s) and contributor(s) and not of MDPI and/or the editor(s). MDPI and/or the editor(s) disclaim responsibility for any injury to people or property resulting from any ideas, methods, instructions or products referred to in the content. |
© 2024 by the authors. Licensee MDPI, Basel, Switzerland. This article is an open access article distributed under the terms and conditions of the Creative Commons Attribution (CC BY) license (https://creativecommons.org/licenses/by/4.0/).
Share and Cite
Gao, W.; Sha, R.; Ai, J. Synthesis and Properties of a Red Na5Zn2Gd1−x(MoO4)6: xEu3+ Phosphor. Crystals 2024, 14, 933. https://doi.org/10.3390/cryst14110933
Gao W, Sha R, Ai J. Synthesis and Properties of a Red Na5Zn2Gd1−x(MoO4)6: xEu3+ Phosphor. Crystals. 2024; 14(11):933. https://doi.org/10.3390/cryst14110933
Chicago/Turabian StyleGao, Wa, Ren Sha, and Jun Ai. 2024. "Synthesis and Properties of a Red Na5Zn2Gd1−x(MoO4)6: xEu3+ Phosphor" Crystals 14, no. 11: 933. https://doi.org/10.3390/cryst14110933
APA StyleGao, W., Sha, R., & Ai, J. (2024). Synthesis and Properties of a Red Na5Zn2Gd1−x(MoO4)6: xEu3+ Phosphor. Crystals, 14(11), 933. https://doi.org/10.3390/cryst14110933

