Preparation and Properties of MgO-Al2O3-SiO2 Glass–Ceramics with Controllable Crystalline Phases
Abstract
:1. Introduction
2. Materials and Methods
2.1. Glass Preparation
2.2. Nucleation and Crystallisation
2.3. Performance Characterisation
3. Results
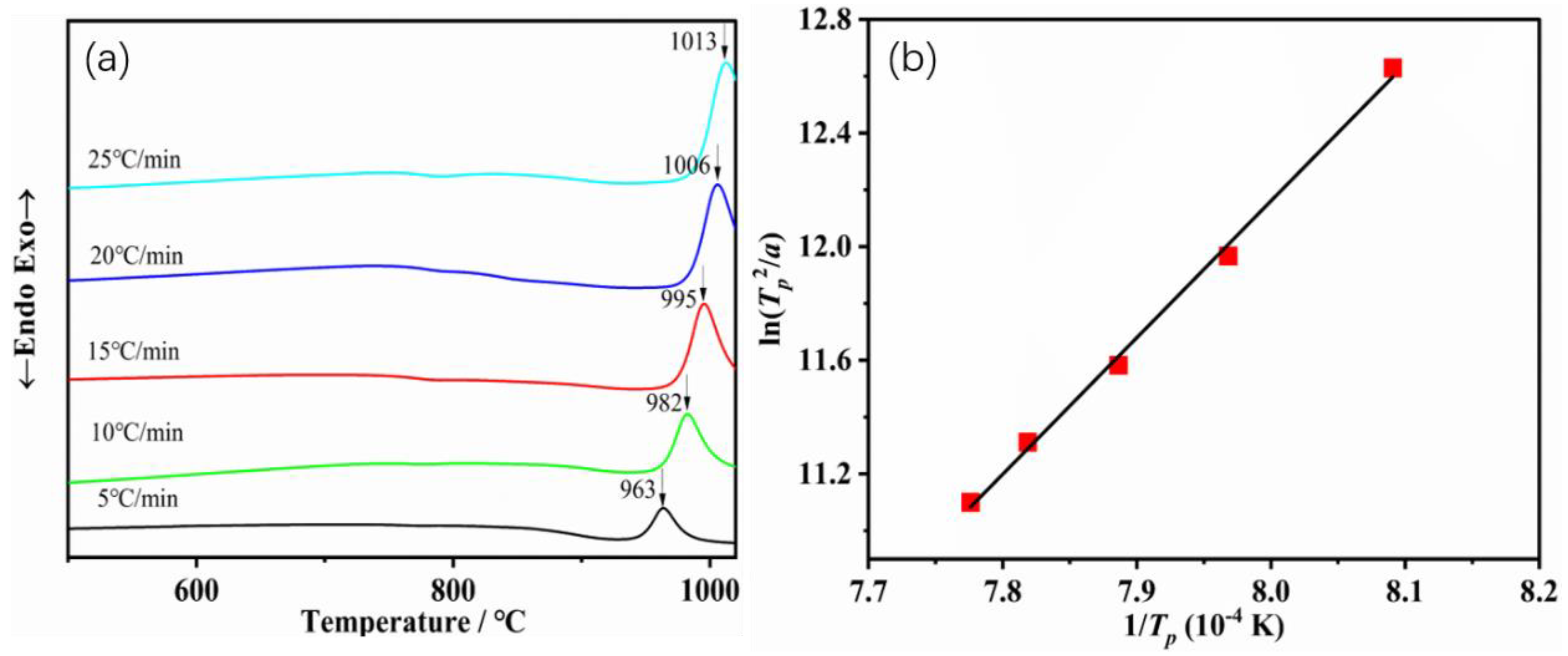
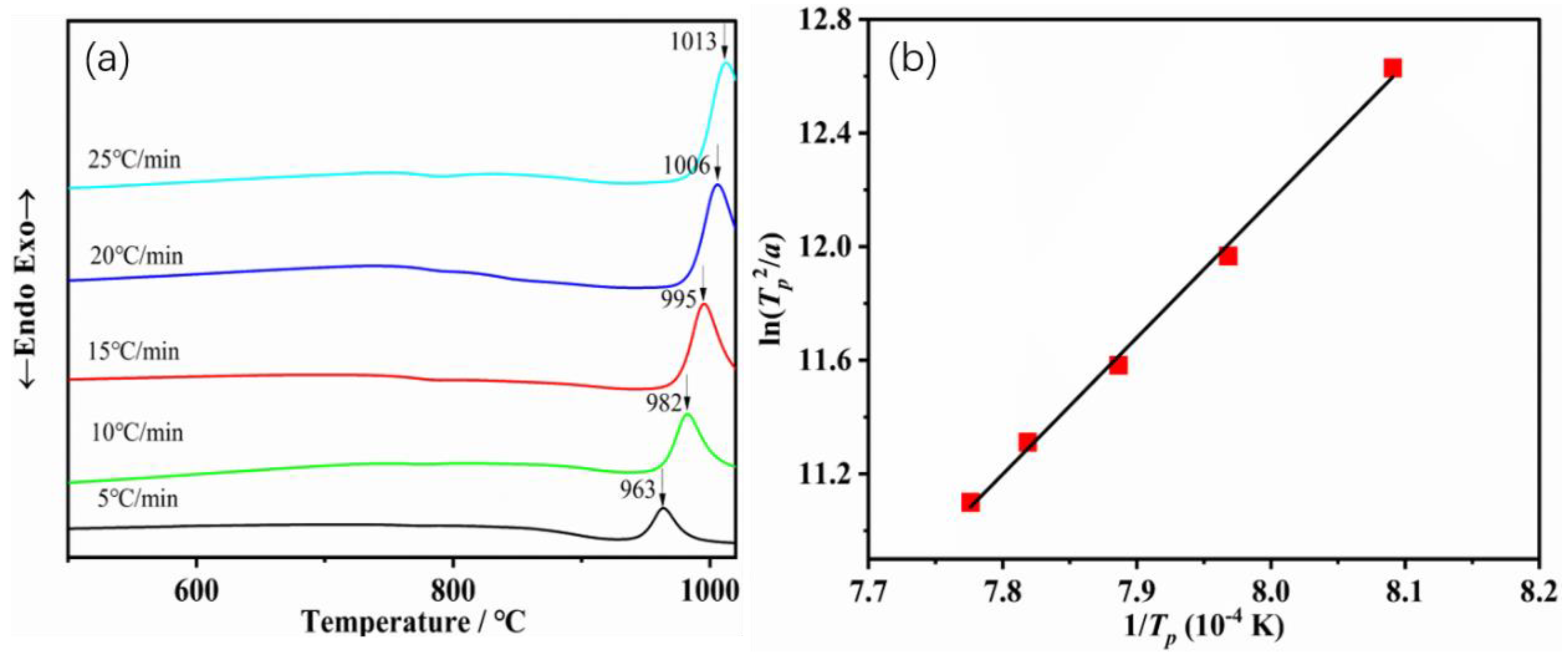
3.1. DSC of MAS Glass and Crystallisation Kinetics
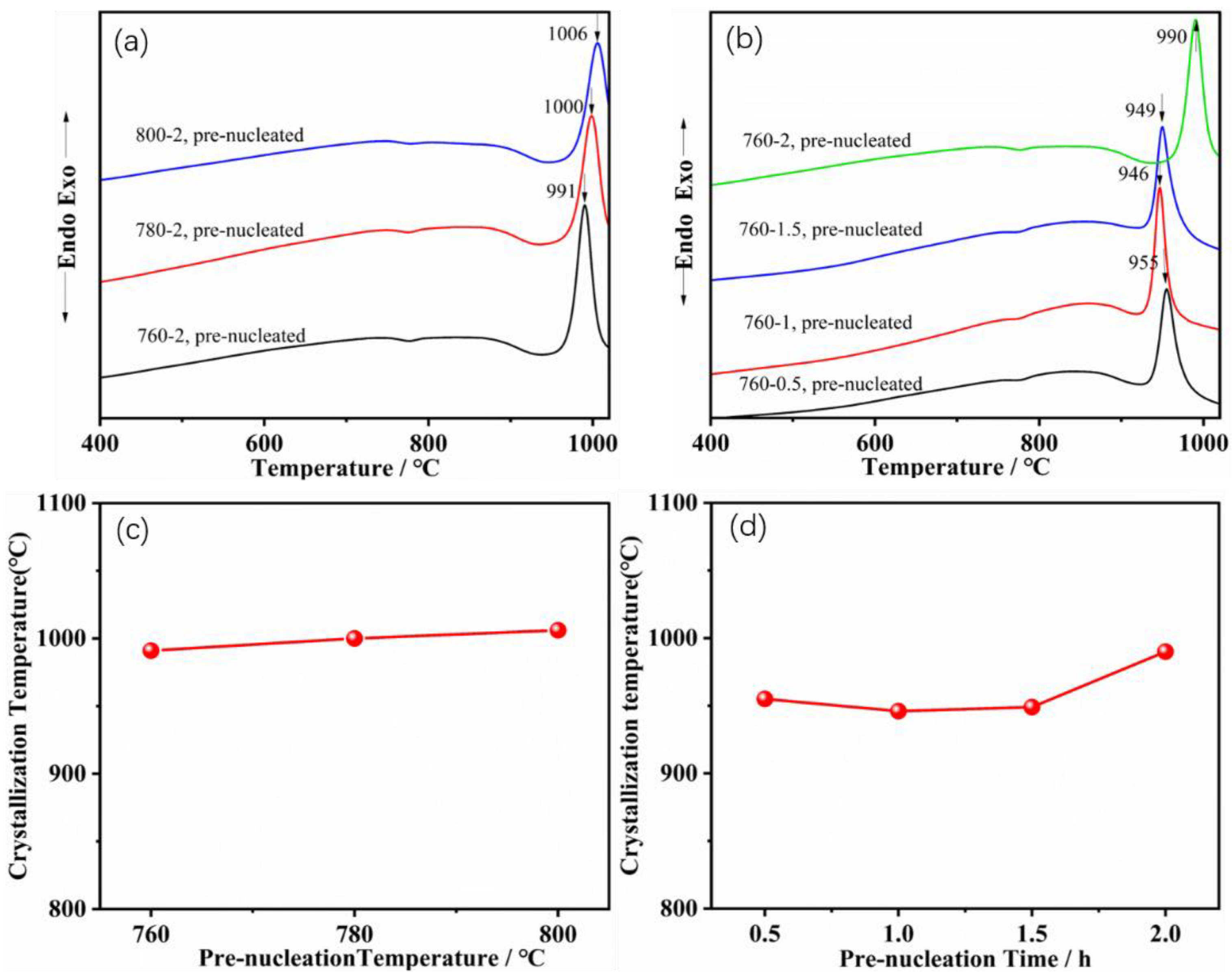
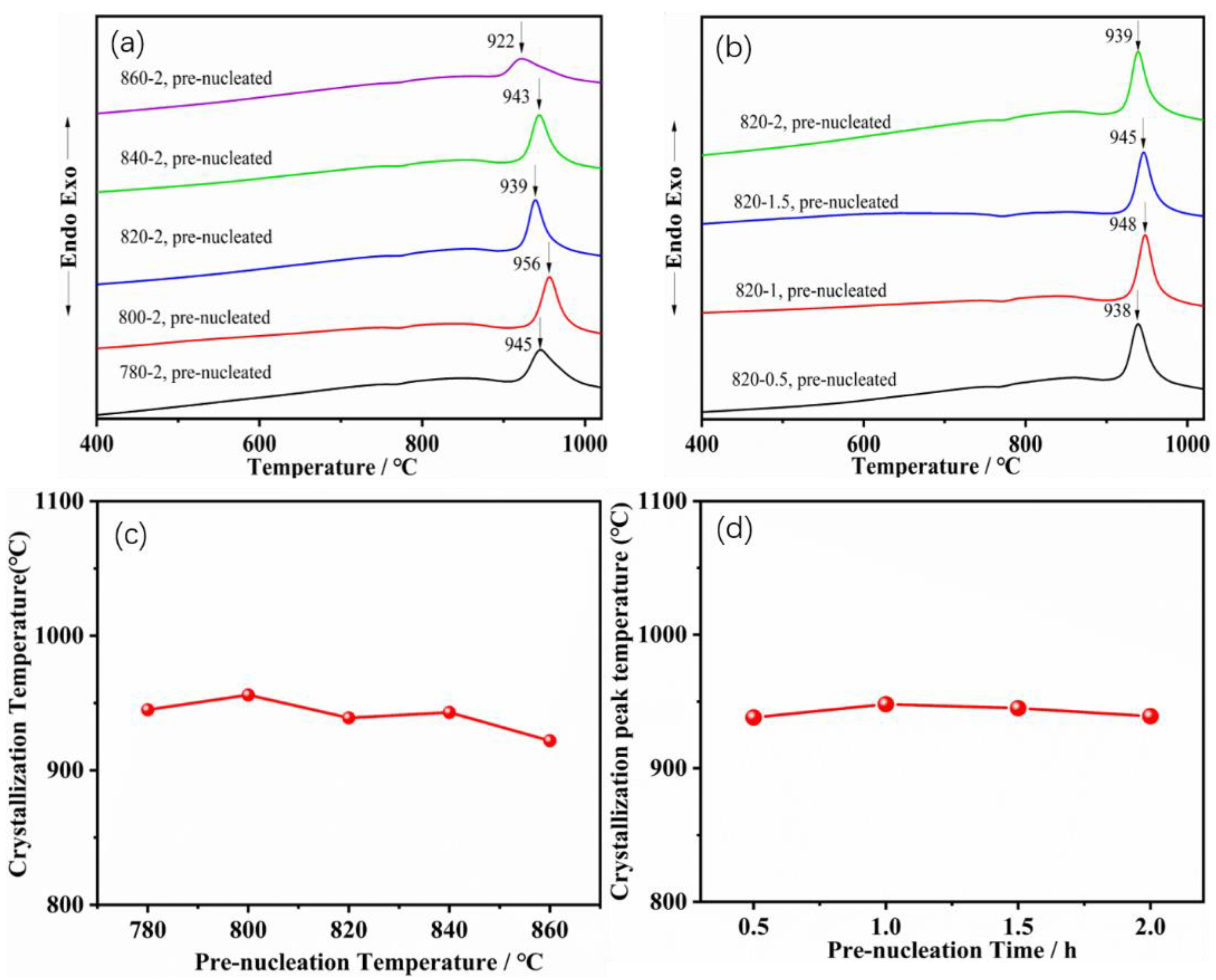
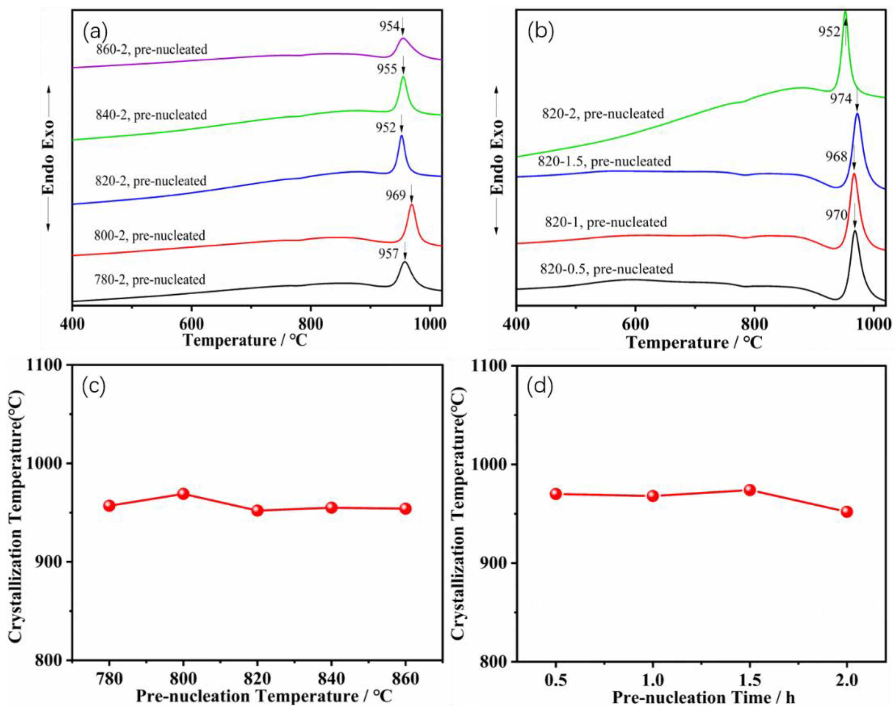
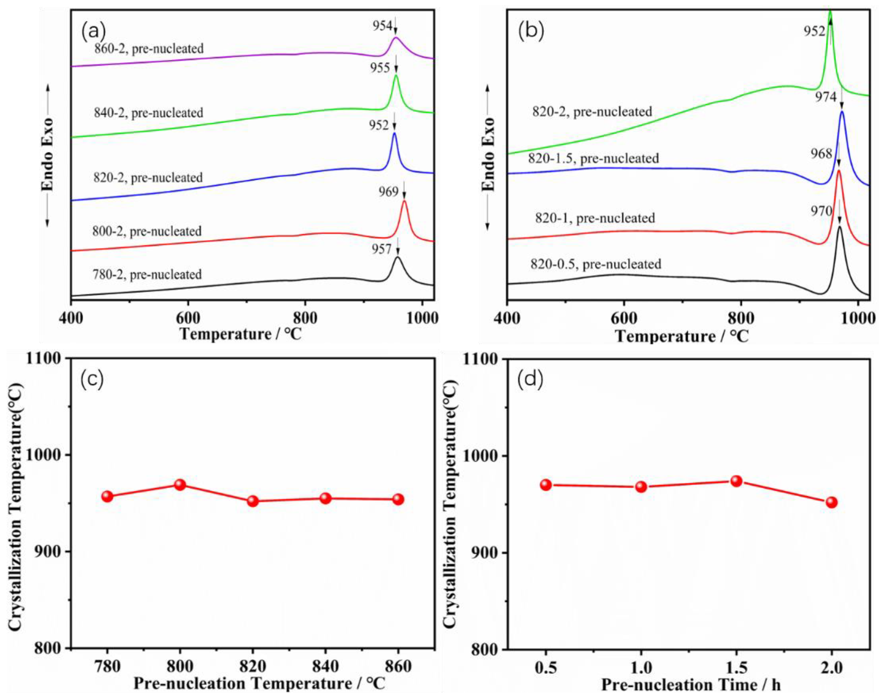
3.2. Nucleation of MAS Glass
3.3. Crystallisation of MAS Glass
3.4. Performance of MAS Glass–Ceramics
4. Conclusions
Supplementary Materials
Author Contributions
Funding
Data Availability Statement
Conflicts of Interest
References
- Si, W.; Sun, M.; Zhang, W. Research Progress in Preparation of Glass-ceramics from Solid Wastes. Mater. Rev. 2014, 28, 37–39+68. [Google Scholar]
- Wang, Q.; Wang, N.; Huang, X.; Wang, T.; Zhou, L.; Bao, Y.; Xie, C.; Hao, H. Research progress on glass-ceramics. Inorg. Chem. Ind. 2022, 54, 1–11. [Google Scholar]
- Xiao, H.; Zhao, Y.; Liufu, S. Current Status and Future Trends of Functional Glass-Ceramics. Mater. Guide 2002, 16, 39–41. [Google Scholar]
- Zhang, Z.; Xiang, W.; Zhong, J.; Liu, B.; Liang, X.; Chen, Z.; Zhao, B. Research Progress of Ce: YAG Glass-Ceramic Phosphor for White LED. Mater. Rev. 2013, 27, 28–33. [Google Scholar]
- Zheng, Z.; Wang, Y.; Guo, Y.; Qi, G. Research Progress on Rare Earth Doped Upconversion Luminescent Oxyfluoride Glass Ceramics. China’s Ceram. 2019, 55, 1–9+23. [Google Scholar]
- Fang, Z.; Zheng, S.; Guan, B.; Qiu, J. Research Progress in Glass Ceramic Fibers. Laser Optoelectron. Prog. 2019, 56, 170611. [Google Scholar]
- Huang, J.; Huang, C.; Liang, Y.; Xu, X. Preparation of Cordierite Glass-ceramic Bonded SiC Composite Ceramics. China’s Ceram. 2018, 54, 15–19. [Google Scholar]
- Li, B.; Xia, Q.; Wang, Z. Effect of MnO on the crystallization, microstructure, and properties of MgO-Al2O3-SiO2 glass-ceramics. J. Aust. Ceram. Soc. 2021, 57, 927–932. [Google Scholar] [CrossRef]
- Salman, M.; Bae, H.-M.; Yoon, D.-H. Joining of alumina using magnesium- or calcium-aluminosilicate glass-ceramic fillers. Ceram. Int. 2022, 48, 21532–21542. [Google Scholar] [CrossRef]
- He, Y.; Guo, J.; Huang, Z.; Liu, G.; Zhai, F.; Xiao, R.; Sun, L.; Zhou, H. Low-Temperature Combustion Synthesis of Cordierite Powder and Its Characteristic. In Proceedings of the Workshop on Synthesis and Characterization of Inorganic Powders, Kunming, China, 20–22 July 2012. 73p. [Google Scholar]
- He, Y.; Guo, J.M.; Zhang, G.W.; Chen, X.L.; Zhang, J.C.; Huang, Z.L.; Liu, G.Y.; Cai, Q. Preparation of glass-ceramics in the MgO-Al2O3-SiO2 system via low-Temperature combustion synthesis technique. J. Ceram. Sci. Technol. 2015, 6, 201–206. [Google Scholar]
- Yu, W.; Liang, X.; Li, S.; Gao, W.; Zhang, Z.; Zhong, B.; Wang, J.; Han, J. Effect of Titanium Dioxide on Crystallization Behavior and Properties of MgO-Al2O3-SiO2 Glass-Ceramics. J. Chin. Ceram. Soc. 2022, 50, 1283–1291. [Google Scholar]
- Kang, J.; Chen, J.; Chen, Z.; Hou, Y.; Qu, Y.; Yue, Y. Crystallization, sinterability, and dielectric properties of MgO-Al2O3-SiO2 glass-ceramics doped with TiO2. J. Mater. Sci.-Mater. Electron. 2020, 31, 5697–5702. [Google Scholar] [CrossRef]
- Li, H.; Qi, J.; Yu, C.; Peng, Z. Influence of Composition on Thermal Conductivity of AlN/MAS Glass-Ceramic Composites. J. Wuhan Univ. Technol. 2010, 32, 25–27, 35. [Google Scholar]
- Lu, A.; Hu, X.; Hao, X. Present Progress in the Research of High Crystallinity and Transparent Glass Ceramics. Mater. China 2016, 35, 927–931. [Google Scholar]
- Yang, G.; Hu, J.; Du, Y.; Lu, Y.; Yang, J.; Wu, J. Study on MAS Series Tape-casting Slurry for LTCC. Electron. Compon. Mater. 2006, 25, 36–39. [Google Scholar]
- Han, J.; Xiang, Y.; Yao, Z.; Zeng, Y.; Bai, P.; Jiang, Y.; Chen, W. Glass structure, crystallization kinetics and dielectric properties of CeO2-added CaO-B2O3-SiO2 glass system. J. Mater. Sci.-Mater. Electron. 2019, 30, 5902–5910. [Google Scholar] [CrossRef]
- Yang, J.; Du, Y.G.; Li, X.D.; Zhou, W.Y. The Influence Factors of the Crystal Separating of MgO-Al2O3-SiO2 Glass-ceramics. J. Mater. Eng. 2007, 10, 42–44. [Google Scholar]
- Cao, J.W.; Li, Y.H.; Liang, K.M. Effect of P2O5 on evolution of microstructure of MgO-Al2O3-SiO2 glass ceramics. Adv. Appl. Ceram. 2009, 108, 352–357. [Google Scholar] [CrossRef]
- Cheng, J.; Zheng, W.; Tang, L.; Lou, X. Influence of Heat-treatments on the Microstructure and Properties of MAS Glass-ceramic. J. Wuhan Univ. Technol. 2004, 26, 29–32. [Google Scholar]
- He, D.; Ma, H.; Zhong, H. Effect of different nucleating agent ratios on the crystallization and properties of MAS glass ceramics. J. Eur. Ceram. Soc. 2021, 41, 342–350. [Google Scholar] [CrossRef]
- Huang, J.; Zhang, J.; Yu, Y.; Bai, H.; Zhang, Z.; Huang, Y. Transparent MgO-Al2O3-SiO2 glass-ceramics prepared with ZrO2 and SnO2 as nucleating agents. J. Non-Cryst. Solids 2022, 588, 121585. [Google Scholar] [CrossRef]
- Li, B.; Jing, K.; Bian, H. Effect of Zn/Zr ratio on mechanical, dielectric, and thermal properties of MgO-Al2O3-SiO2 glass-ceramics. J. Non-Cryst. Solids 2018, 500, 487–492. [Google Scholar] [CrossRef]
- Tang, W.; Zhang, Q.; Luo, Z.; Yu, J.; Gao, X.; Li, Y.; Lu, A. CoO-doped MgO-Al2O3-SiO2-colored transparent glass-ceramics with high crystallinity. Appl. Phys. A-Mater. Sci. Process. 2018, 124, 191. [Google Scholar] [CrossRef]
- Cao, Y.; Yin, W.; Wang, G. New Development of Cordierite-based Glass-Ceramics. Mater. Rev. 2012, 26, 42–45. [Google Scholar]
- Gao, C.; Zhao, X.; Li, B. Influence of Y2O3 on microstructure, crystallization, and properties of MgO-Al2O3-SiO2 glass-ceramics. J. Non-Cryst. Solids 2021, 560, 120728. [Google Scholar] [CrossRef]
- Hu, B.; Yuan, B.; Wang, P.; Wang, J.; Han, J.; Lu, M. Influence of ZnO and Heat Treatment Process on the Physical and Optical Properties of MgO-Al2O3-SiO2 Glass-Ceramics. ECS J. Solid State Sci. Technol. 2018, 7, N42–N45. [Google Scholar] [CrossRef]
- Li, H.; Yin, Z.; Deng, L.; Wang, S.; Fu, Z.; Ma, Y. Effect of SiO2/Al2O3 ratio on the structure and electrical properties of MgO-Al2O3-SiO2 glass-ceramics doped with TiO2. Mater. Chem. Phys. 2020, 256, 123653. [Google Scholar] [CrossRef]
- Wu, Z.; Cheng, Y.; Zhou, W.; Wu, T.; Huang, X. Preparation and properties of cordierite based glass ceramics based on magnesium aluminum silicon system. Silic. Bull. 2014, 33, 191–196. [Google Scholar]
- Liu, T.; Li, C.; Huang, Q.; Liu, C.; Lin, C.; Zhang, Q.; Luo, Z.; Zhu, L.; Lu, A. Characterization of structure and properties of MgO-Al2O3-SiO2-B2O3-Cr2O3 glass-ceramics. J. Non-Cryst. Solids 2020, 543, 120154. [Google Scholar] [CrossRef]
- Sembiring, S.; Simanjuntak, W.; Situmeang, R.; Riyanto, A.; Karo-Karo, P. Effect of alumina addition on the phase transformation and crystallisation properties of refractory cordierite prepared from amorphous rice husk silica. J. Asian Ceram. Soc. 2018, 5, 186–192. [Google Scholar] [CrossRef]
- Liu, T.; Huang, Q.; Liang, H.; Liu, P.; Luo, Z.; Zhu, L.; Lu, A. Effect of Fe2O3 doping on structure, physical-mechanical properties and luminescence performance of magnesium-aluminum-silicon based glass-ceramics. Ceram. Int. 2020, 46, 28851–28859. [Google Scholar] [CrossRef]
- Qing, Z.; Zhou, W.; Xia, W.; Li, H. Crystallization kinetics, sintering, microstructure, and properties of low temperature co-fired magnesium aluminum silicate glass-ceramic. J. Non-Cryst. Solids 2018, 486, 14–18. [Google Scholar] [CrossRef]
- Prasad, A.; Basu, A. Dielectric and impedance properties of sintered magnesium aluminum silicate glass-ceramic. J. Adv. Ceram. 2013, 2, 71–78. [Google Scholar] [CrossRef]
- Guo, X.; Yang, H.; Han, C.; Song, F. Nucleation of lithium aluminosilicate glass containing complex nucleation agent. Ceram. Int. 2007, 33, 1375–1379. [Google Scholar] [CrossRef]
- Wang, S.-M.; Kuang, F.-H.; Yan, Q.-Z.; Ge, C.-C.; Qi, L.-H. Crystallization and infrared radiation properties of iron ion doped cordierite glass-ceramics. J. Alloys Compd. 2011, 509, 2819–2823. [Google Scholar] [CrossRef]
- Guo, B.; Zhang, L.; Cao, L.; Zhang, T.; Jiang, F.; Yan, L. The correction of temperature-dependent Vickers hardness of cemented carbide base on the developed high-temperature hardness tester. J. Mater. Process. Technol. 2018, 255, 426–433. [Google Scholar] [CrossRef]
- Gallo, L.S.A.; Celarie, F.; Bettini, J.; Rodrigues, A.C.M.D.; Rouxel, T.; Zanotto, E.D. Fracture toughness and hardness of transparent MgO-Al2O3-SiO2 glass-ceramics. Ceram. Int. 2022, 48, 9906–9917. [Google Scholar] [CrossRef]
- Cheng, J.; Li, H.; Tang, L.; He, F. Glass Ceramics; Chemical Industry Press: Beijing, China, 2006; 16p. [Google Scholar]
- Basaran, C.; Canikoglu, N.; Toplan, H.O.; Toplan, N. The crystallization kinetics of the MgO-Al2O3-SiO2-TiO2 glass ceramics system produced from industrial waste. J. Therm. Anal. Calorim. 2016, 125, 695–701. [Google Scholar] [CrossRef]
- Cheng, J.-S.; Wang, J.; Tang, L.-Y.; Deng, Z.-L. Crystallization kinetics of MgO-Al2O3-SiO2 transparent glass-ceramics. Key Eng. Mater. 2012, 509, 230–234. [Google Scholar] [CrossRef]
- Zhang, X.; Guo, X.; Zhang, J.; Fan, X.; Chen, M.; Yang, H. Nucleation, crystallization and biological activity of Na2O-CaO-P2O5-SiO2 bioactive glass. J. Non-Cryst. Solids 2021, 568, 120929. [Google Scholar] [CrossRef]
- Guo, X.; Yang, H.; Han, C.; Song, F. Crystallization and microstructure of Li2O–Al2O3–SiO2 glass containing complex nucleating agent. Thermochim. Acta 2006, 444, 201–205. [Google Scholar] [CrossRef]
- Massera, J.; Remond, J.; Musgraves, J.; Davis, M.J.; Misture, S.; Petit, L.; Richardson, K. Nucleation and growth behavior of glasses in the TeO2–Bi2O3–ZnO glass system. J. Non-Cryst. Solids 2010, 356, 2947–2955. [Google Scholar] [CrossRef]










| Compounds | SiO2 | MgO | Al2O3 | Li2O | ZnO | ZrO2 | P2O5 | Na2O | Sb2O3 |
|---|---|---|---|---|---|---|---|---|---|
| MA1 | 39 | 14 | 35 | 0.5 | 0.5 | 4.5 | 3.5 | 2 | 1 |
| MA2 | 37 | 15 | 36 | 0.5 | 0.5 | 4.5 | 3.5 | 2 | 1 |
| MA3 | 35 | 16 | 37 | 0.5 | 0.5 | 4.5 | 3.5 | 2 | 1 |
| MA4 | 37 | 17 | 34 | 0.5 | 0.5 | 4.5 | 3.5 | 2 | 1 |
| MA5 | 37 | 13 | 38 | 0.5 | 0.5 | 4.5 | 3.5 | 2 | 1 |
| MA1 | MA2 | MA3 | MA4 | MA5 | |
|---|---|---|---|---|---|
| Tg/°C | 747 | 754 | 753 | 742 | 764 |
| Tp/°C | 982 | 956 | 950 | 951 | 949 |
| Heat Rate/°C·min−1 | 5 | 10 | 15 | 20 | 25 |
|---|---|---|---|---|---|
| MA1/K | 1236 | 1255 | 1268 | 1279 | 1286 |
| MA3/K | 1201 | 1218 | 1227 | 1237 | 1243 |
| MA5/K | 1222 | 1239 | 1251 | 1260 | 1266 |
| Crystallisation Parameter | MA1 | MA3 | MA5 |
|---|---|---|---|
| E/kJ·mol−1 | 399.90 | 457.05 | 265.92 |
| n (a = 10 °C·min−1) | 3.4 | 2.2 | 3.7 |
| Properties | MA1 | MA3 | MA5 |
|---|---|---|---|
| Density/g·cm−3 | 2.52 | 2.51 | 2.53 |
| Fracture toughness/MPa m1/2 | 2.07 | 2.80 | 3.00 |
| Vickers hardness/Hv | 706 | 715 | 709 |
| Elastic modulus/GPa | 105.92 | 107.20 | 106.40 |
| Thermal expansion coefficient/×10−6 °C−1 | 4.09 | 5.46 | 4.42 |
| Dielectric constant (1 MHz) | 6.499 | 6.618 | 6.510 |
| Dielectric loss (1 MHz) | 0.0064 | 0.0068 | 0.0066 |
| Bending strength/MPa | 217.4 | 244.9 | 225.3 |
Disclaimer/Publisher’s Note: The statements, opinions and data contained in all publications are solely those of the individual author(s) and contributor(s) and not of MDPI and/or the editor(s). MDPI and/or the editor(s) disclaim responsibility for any injury to people or property resulting from any ideas, methods, instructions or products referred to in the content. |
© 2023 by the authors. Licensee MDPI, Basel, Switzerland. This article is an open access article distributed under the terms and conditions of the Creative Commons Attribution (CC BY) license (https://creativecommons.org/licenses/by/4.0/).
Share and Cite
Pei, Z.; Huang, H.; Guo, X.; Zhang, J.; Chen, M. Preparation and Properties of MgO-Al2O3-SiO2 Glass–Ceramics with Controllable Crystalline Phases. Crystals 2023, 13, 1261. https://doi.org/10.3390/cryst13081261
Pei Z, Huang H, Guo X, Zhang J, Chen M. Preparation and Properties of MgO-Al2O3-SiO2 Glass–Ceramics with Controllable Crystalline Phases. Crystals. 2023; 13(8):1261. https://doi.org/10.3390/cryst13081261
Chicago/Turabian StylePei, Zhen, Haixiao Huang, Xingzhong Guo, Jinming Zhang, and Mingxing Chen. 2023. "Preparation and Properties of MgO-Al2O3-SiO2 Glass–Ceramics with Controllable Crystalline Phases" Crystals 13, no. 8: 1261. https://doi.org/10.3390/cryst13081261
APA StylePei, Z., Huang, H., Guo, X., Zhang, J., & Chen, M. (2023). Preparation and Properties of MgO-Al2O3-SiO2 Glass–Ceramics with Controllable Crystalline Phases. Crystals, 13(8), 1261. https://doi.org/10.3390/cryst13081261

